| FDS7_0324
GAL# 300 FDS DWARF CAT r_mag= 19.76 re(")= 5.90 class=e | Decomp (sersic+nuc): M*= 6.66 Re(kpc)= 0.56 n= 0.60 fnuc= 0.000 g-r= 0.555 |
|
|
|
|
|
|
|
|
|
|
|
|
r_D_final |
| Qflags: star background fds_is_nuc= 0.0 main |
|
|
|
|
|
|
|
|
|
|
|
| FDS5_0140
GAL# 301 FDS DWARF CAT r_mag= 19.13 re(")= 8.16 class=e | Decomp (sersic+nuc): M*= 6.76 Re(kpc)= 0.79 n= 0.87 fnuc= 0.000 g-r= 0.602 |
|
|
|
|
|
|
|
|
|
|
|
|
r_D_final |
| Qflags: star fds_is_nuc= 0.0 main |
|
|
|
|
|
|
|
|
|
|
|
| FDS28_0176
GAL# 302 FDS DWARF CAT r_mag= 18.16 re(")= 3.74 class=l | Decomp (sersic+nuc): M*= 6.98 Re(kpc)= 0.33 n= 0.67 fnuc= 0.002 g-r= 0.308 |
|
|
|
|
|
|
|
|
|
|
|
|
r_D_final |
| Qflags: fds_is_nuc= 0.0 main |
|
|
|
|
|
|
|
|
|
|
|
| FDS10_0326
GAL# 303 FDS DWARF CAT r_mag= 18.80 re(")= 4.57 class=e | Decomp (sersic+nuc): M*= 6.94 Re(kpc)= 0.39 n= 0.86 fnuc= 0.000 g-r= 0.535 |
|
|
|
|
|
|
|
|
|
|
|
|
r_D_final |
| Qflags: star background skyplane fds_is_nuc= 0.0 main |
|
|
|
|
|
|
|
|
|
|
|
| FDS9_0357
GAL# 304 FDS DWARF CAT r_mag= 18.15 re(")= 5.36 class=l | Decomp (sersic+nuc): M*= 6.92 Re(kpc)= 0.50 n= 0.83 fnuc= 0.009 g-r= 0.394 |
|
|
|
|
|
|
|
|
|
|
|
|
r_D_final |
| Qflags: uncertain offcen fds_is_nuc= 0.0 main |
|
|
|
|
|
|
|
|
|
|
|
| FDS17_0226
GAL# 305 FDS DWARF CAT r_mag= 18.60 re(")= 5.91 class=e | Decomp (sersic+nuc): M*= 7.02 Re(kpc)= 0.53 n= 0.81 fnuc= 0.000 g-r= 0.543 |
|
|
|
|
|
|
|
|
|
|
|
|
r_D_final |
| Qflags: star obscured uncertain fds_is_nuc= 0.0 FCC138 main |
|
|
|
|
|
|
|
|
|
|
|
| FDS10_0004
GAL# 306 FDS DWARF CAT r_mag= 18.80 re(")= 7.61 class=e | Decomp (sersic+nuc): M*= 6.97 Re(kpc)= 0.71 n= 0.66 fnuc= 0.000 g-r= 0.668 |
|
|
|
|
|
|
|
|
|
|
|
|
r_D_final |
| Qflags: star fds_is_nuc= 0.0 FCCB1444 main |
|
|
|
|
|
|
|
|
|
|
|
| FDS16_0072
GAL# 307 FDS DWARF CAT r_mag= 18.73 re(")= 9.43 class=e | Decomp (sersic+nuc): M*= 6.83 Re(kpc)= 0.88 n= 0.89 fnuc= 0.000 g-r= 0.600 |
|
|
|
|
|
|
|
|
|
|
|
|
r_D_final |
| Qflags: fds_is_nuc= 0.0 FCC103 main |
|
|
|
|
|
|
|
|
|
|
|
| FDS11_0306
GAL# 308 FDS DWARF CAT r_mag= 18.32 re(")= 11.38 class=e* | Decomp (sersic+nuc): M*= 7.06 Re(kpc)= 1.09 n= 0.86 fnuc= 0.039 g-r= 0.618 |
|
|
|
|
|
|
|
|
|
|
|
|
r_ND_final |
| Qflags: fds_is_nuc= 1.0 main |
|
|
|
|
|
|
|
|
|
|
|
| FDS9_0489
GAL# 309 FDS DWARF CAT r_mag= 19.00 re(")= 7.69 class=e | Decomp (sersic+nuc): M*= 6.82 Re(kpc)= 0.74 n= 0.70 fnuc= 0.001 g-r= 0.597 |
|
|
|
|
|
|
|
|
|
|
|
|
r_D_final |
| Qflags: fds_is_nuc= 0.0 FCCB1205 main |
|
|
|
|
|
|
|
|
|
|
|
| FDS2_0445
GAL# 310 FDS DWARF CAT r_mag= 19.85 re(")= 4.71 class=e | Decomp (sersic+nuc): M*= 6.71 Re(kpc)= 0.43 n= 0.65 fnuc= 0.008 g-r= 0.639 |
|
|
|
|
|
|
|
|
|
|
|
|
r_D_final |
| Qflags: fds_is_nuc= 0.0 main |
|
|
|
|
|
|
|
|
|
|
|
| FDS25_0043
GAL# 311 FDS DWARF CAT r_mag= 20.38 re(")= 5.57 class=e | Decomp (sersic+nuc): M*= 6.50 Re(kpc)= 0.59 n= 0.66 fnuc= 0.001 g-r= 0.483 |
|
|
|
|
|
|
|
|
|
|
|
|
r_D_final |
| Qflags: snr fds_is_nuc= 0.0 main |
|
|
|
|
|
|
|
|
|
|
|
| FDS16_0472
GAL# 312 FDS DWARF CAT r_mag= 18.71 re(")= 8.14 class=e | Decomp (sersic+nuc): M*= 6.89 Re(kpc)= 0.76 n= 0.73 fnuc= 0.000 g-r= 0.611 |
|
|
|
|
|
|
|
|
|
|
|
|
r_D_final |
| Qflags: fds_is_nuc= 0.0 FCC94 main |
|
|
|
|
|
|
|
|
|
|
|
| FDS12_0176
GAL# 313 FDS DWARF CAT r_mag= 18.62 re(")= 7.62 class=e | Decomp (sersic+nuc): M*= 6.90 Re(kpc)= 0.72 n= 0.68 fnuc= 0.000 g-r= 0.618 |
|
|
|
|
|
|
|
|
|
|
|
|
r_D_final |
| Qflags: star background skyplane fds_is_nuc= 0.0 FCC216 main |
|
|
|
|
|
|
|
|
|
|
|
| FDS7_0529
GAL# 314 FDS DWARF CAT r_mag= 18.14 re(")= 8.10 class=e | Decomp (sersic+nuc): M*= 7.05 Re(kpc)= 0.78 n= 0.71 fnuc= 0.001 g-r= 0.596 |
|
|
|
|
|
|
|
|
|
|
|
|
r_D_final |
| Qflags: fds_is_nuc= 0.0 FCC280 main |
|
|
|
|
|
|
|
|
|
|
|
| FDS17_0127
GAL# 315 FDS DWARF CAT r_mag= 19.82 re(")= 7.69 class=e | Decomp (sersic+nuc): M*= 6.71 Re(kpc)= 0.71 n= 0.76 fnuc= 0.000 g-r= 0.531 |
|
|
|
|
|
|
|
|
|
|
|
|
r_D_final |
| Qflags: fds_is_nuc= 0.0 main |
|
|
|
|
|
|
|
|
|
|
|
| FDS12_0366
GAL# 316 FDS DWARF CAT r_mag= 17.81 re(")= 18.09 class=e | Decomp (sersic+nuc): M*= 6.83 Re(kpc)= 1.67 n= 0.82 fnuc= 0.006 g-r= 0.752 |
|
|
|
|
|
|
|
|
|
|
|
|
r_ND_final |
| Qflags: fds_is_nuc= 1.0 main |
|
|
|
|
|
|
|
|
|
|
|
| FDS17_0316
GAL# 317 FDS DWARF CAT r_mag= 19.01 re(")= 8.36 class=e* | Decomp (sersic+nuc): M*= 6.92 Re(kpc)= 0.87 n= 0.82 fnuc= 0.029 g-r= 0.572 |
|
|
|
|
|
|
|
|
|
|
|
|
r_ND_final |
| Qflags: fds_is_nuc= 1.0 FCC129 main |
|
|
|
|
|
|
|
|
|
|
|
| FDS11_0075
GAL# 318 FDS DWARF CAT r_mag= 18.62 re(")= 9.14 class=e* | Decomp (sersic+nuc): M*= 6.96 Re(kpc)= 0.90 n= 0.83 fnuc= 0.054 g-r= 0.588 |
|
|
|
|
|
|
|
|
|
|
|
|
r_ND_final |
| Qflags: fds_is_nuc= 1.0 FCC215 main |
|
|
|
|
|
|
|
|
|
|
|
| FDS12_0190
GAL# 319 FDS DWARF CAT r_mag= 18.99 re(")= 5.03 class=e | Decomp (sersic+nuc): M*= 6.80 Re(kpc)= 0.44 n= 0.81 fnuc= 0.000 g-r= 0.542 |
|
|
|
|
|
|
|
|
|
|
|
|
r_D_final |
| Qflags: fds_is_nuc= 0.0 FCCB1168 main |
|
|
|
|
|
|
|
|
|
|
|
| FDS6_0216
GAL# 320 FDS DWARF CAT r_mag= 18.39 re(")= 8.30 class=e | Decomp (sersic+nuc): M*= 6.94 Re(kpc)= 0.82 n= 0.72 fnuc= 0.001 g-r= 0.648 |
|
|
|
|
|
|
|
|
|
|
|
|
r_D_final |
| Qflags: star background skyplane fds_is_nuc= 0.0 FCC275 main |
|
|
|
|
|
|
|
|
|
|
|
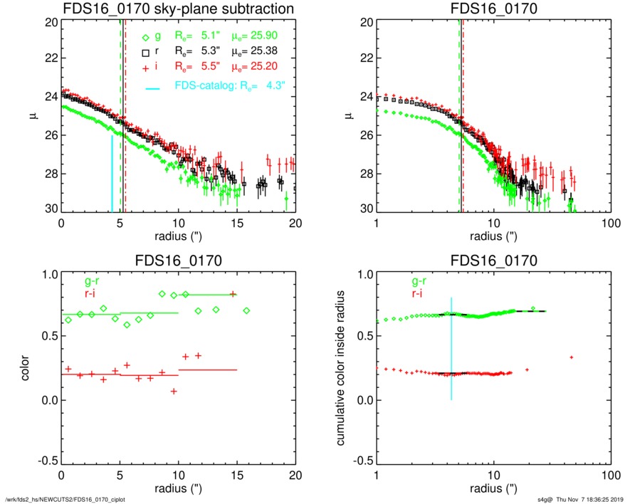
| FDS16_0170
GAL# 321 FDS DWARF CAT r_mag= 19.26 re(")= 5.27 class=e | Decomp (sersic+nuc): M*= 6.75 Re(kpc)= 0.48 n= 0.94 fnuc= 0.000 g-r= 0.678 |
|
|
|
|
|
|
|
|
|
|
|
|
r_D_final |
| Qflags: star fds_is_nuc= 0.0 main |
|
|
|
|
|
|
|
|
|
|
|
| FDS16_0003
GAL# 322 FDS DWARF CAT r_mag= 18.82 re(")= 7.05 class=e | Decomp (sersic+nuc): M*= 6.85 Re(kpc)= 0.66 n= 0.70 fnuc= 0.000 g-r= 0.624 |
|
|
|
|
|
|
|
|
|
|
|
|
r_D_final |
| Qflags: fds_is_nuc= 0.0 FCCB814 main |
|
|
|
|
|
|
|
|
|
|
|
| FDS15_0039
GAL# 323 FDS DWARF CAT r_mag= 19.30 re(")= 7.93 class=e | Decomp (sersic+nuc): M*= 6.77 Re(kpc)= 0.74 n= 0.67 fnuc= 0.000 g-r= 0.504 |
|
|
|
|
|
|
|
|
|
|
|
|
r_D_final |
| Qflags: fds_is_nuc= 0.0 main |
|
|
|
|
|
|
|
|
|
|
|
| FDS21_0192
GAL# 324 FDS DWARF CAT r_mag= 19.49 re(")= 7.60 class=e | Decomp (sersic+nuc): M*= 6.74 Re(kpc)= 0.68 n= 0.64 fnuc= 0.000 g-r= 0.484 |
|
|
|
|
|
|
|
|
|
|
|
|
r_D_final |
| Qflags: fds_is_nuc= 0.0 main |
|
|
|
|
|
|
|
|
|
|
|
| FDS16_0280
GAL# 325 FDS DWARF CAT r_mag= 18.82 re(")= 6.32 class=e | Decomp (sersic+nuc): M*= 6.86 Re(kpc)= 0.59 n= 0.85 fnuc= 0.000 g-r= 0.588 |
|
|
|
|
|
|
|
|
|
|
|
|
r_D_final |
| Qflags: fds_is_nuc= 0.0 FCC144 main |
|
|
|
|
|
|
|
|
|
|
|
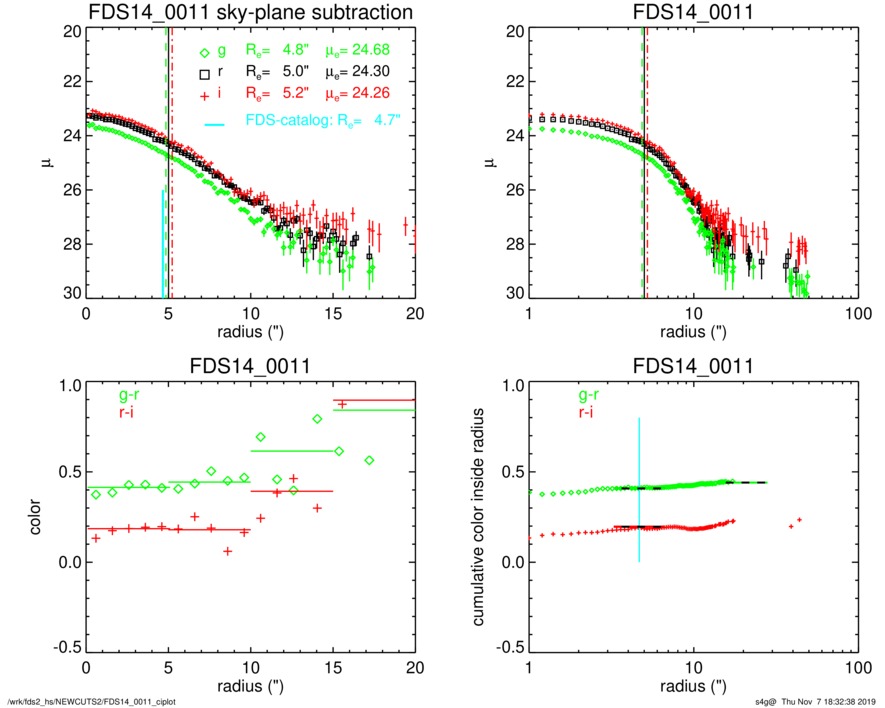
| FDS14_0011
GAL# 326 FDS DWARF CAT r_mag= 18.78 re(")= 5.01 class=e | Decomp (sersic+nuc): M*= 6.70 Re(kpc)= 0.47 n= 0.67 fnuc= 0.000 g-r= 0.384 |
|
|
|
|
|
|
|
|
|
|
|
|
r_D_final |
| Qflags: fds_is_nuc= 0.0 main |
|
|
|
|
|
|
|
|
|
|
|
| FDS16_0330
GAL# 327 FDS DWARF CAT r_mag= 18.69 re(")= 5.55 class=e | Decomp (sersic+nuc): M*= 6.88 Re(kpc)= 0.53 n= 0.85 fnuc= 0.000 g-r= 0.557 |
|
|
|
|
|
|
|
|
|
|
|
|
r_D_final |
| Qflags: background skyplane fds_is_nuc= 0.0 FCC145 main |
|
|
|
|
|
|
|
|
|
|
|
| FDS22_0182
GAL# 328 FDS DWARF CAT r_mag= 19.99 re(")= 4.96 class=e | Decomp (sersic+nuc): M*= 6.47 Re(kpc)= 0.45 n= 0.68 fnuc= 0.000 g-r= 0.601 |
|
|
|
|
|
|
|
|
|
|
|
|
r_D_final |
| Qflags: fds_is_nuc= 0.0 main |
|
|
|
|
|
|
|
|
|
|
|
| FDS6_0118
GAL# 329 FDS DWARF CAT r_mag= 19.72 re(")= 5.54 class=e* | Decomp (sersic+nuc): M*= 6.78 Re(kpc)= 0.53 n= 0.58 fnuc= 0.054 g-r= 0.566 |
|
|
|
|
|
|
|
|
|
|
|
|
r_ND_final |
| Qflags: fds_is_nuc= 1.0 main |
|
|
|
|
|
|
|
|
|
|
|
| FDS12_0178
GAL# 330 FDS DWARF CAT r_mag= 17.97 re(")= 10.55 class=e* | Decomp (sersic+nuc): M*= 7.14 Re(kpc)= 1.07 n= 0.96 fnuc= 0.031 g-r= 0.593 |
|
|
|
|
|
|
|
|
|
|
|
|
r_ND_final |
| Qflags: fds_is_nuc= 1.0 FCC238 main |
|
|
|
|
|
|
|
|
|
|
|
| FDS11_0330
GAL# 331 FDS DWARF CAT r_mag= 18.51 re(")= 6.72 class=e | Decomp (sersic+nuc): M*= 6.95 Re(kpc)= 0.63 n= 0.93 fnuc= 0.000 g-r= 0.599 |
|
|
|
|
|
|
|
|
|
|
|
|
r_D_final |
| Qflags: fds_is_nuc= 0.0 FCC197 main |
|
|
|
|
|
|
|
|
|
|
|
| FDS20_0296
GAL# 332 FDS DWARF CAT r_mag= 19.24 re(")= 2.76 class=e | Decomp (sersic+nuc): M*= 6.79 Re(kpc)= 0.25 n= 0.68 fnuc= 0.006 g-r= 0.532 |
|
|
|
|
|
|
|
|
|
|
|
|
r_D_final |
| Qflags: star background fds_is_nuc= 0.0 main |
|
|
|
|
|
|
|
|
|
|
|
| FDS25_0141
GAL# 333 FDS DWARF CAT r_mag= 19.51 re(")= 3.90 class=e | Decomp (sersic+nuc): M*= 6.76 Re(kpc)= 0.33 n= 0.80 fnuc= 0.001 g-r= 0.633 |
|
|
|
|
|
|
|
|
|
|
|
|
r_D_final |
| Qflags: fds_is_nuc= 0.0 main |
|
|
|
|
|
|
|
|
|
|
|
| FDS6_0115
GAL# 334 FDS DWARF CAT r_mag= 19.49 re(")= 6.06 class=e | Decomp (sersic+nuc): M*= 6.77 Re(kpc)= 0.59 n= 0.60 fnuc= 0.002 g-r= 0.534 |
|
|
|
|
|
|
|
|
|
|
|
|
r_D_final |
| Qflags: fds_is_nuc= 0.0 FCC258 main |
|
|
|
|
|
|
|
|
|
|
|
| FDS20_0100
GAL# 335 FDS DWARF CAT r_mag= 18.27 re(")= 5.54 class=l | Decomp (sersic+nuc): M*= 6.85 Re(kpc)= 0.54 n= 0.83 fnuc= 0.000 g-r= 0.287 |
|
|
|
|
|
|
|
|
|
|
|
|
r_D_final |
| Qflags: star fds_is_nuc= 0.0 main |
|
|
|
|
|
|
|
|
|
|
|
| FDS16_0232
GAL# 336 FDS DWARF CAT r_mag= 18.50 re(")= 6.26 class=e* | Decomp (sersic+nuc): M*= 7.00 Re(kpc)= 0.64 n= 0.91 fnuc= 0.019 g-r= 0.716 |
|
|
|
|
|
|
|
|
|
|
|
|
r_ND_final |
| Qflags: fds_is_nuc= 1.0 FCCB770 main |
|
|
|
|
|
|
|
|
|
|
|
| FDS25_0117
GAL# 337 FDS DWARF CAT r_mag= 19.29 re(")= 6.08 class=e | Decomp (sersic+nuc): M*= 6.75 Re(kpc)= 0.61 n= 0.78 fnuc= 0.004 g-r= 0.544 |
|
|
|
|
|
|
|
|
|
|
|
|
r_D_final |
| Qflags: star background fds_is_nuc= 0.0 main |
|
|
|
|
|
|
|
|
|
|
|
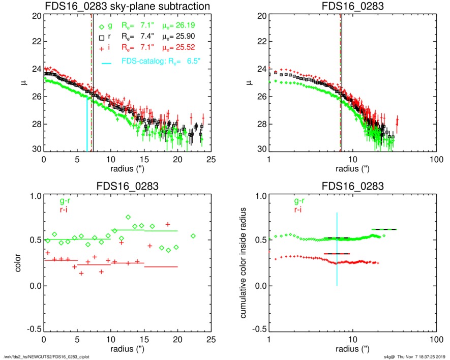
| FDS16_0283
GAL# 338 FDS DWARF CAT r_mag= 18.97 re(")= 7.39 class=e | Decomp (sersic+nuc): M*= 6.83 Re(kpc)= 0.71 n= 1.01 fnuc= 0.000 g-r= 0.520 |
|
|
|
|
|
|
|
|
|
|
|
|
r_D_final |
| Qflags: star fds_is_nuc= 0.0 FCC127 main |
|
|
|
|
|
|
|
|
|
|
|
| FDS2_0012
GAL# 339 FDS DWARF CAT r_mag= 18.61 re(")= 6.17 class=e | Decomp (sersic+nuc): M*= 6.91 Re(kpc)= 0.57 n= 1.00 fnuc= 0.000 g-r= 0.554 |
|
|
|
|
|
|
|
|
|
|
|
|
r_D_final |
| Qflags: star background fds_is_nuc= 0.0 FCC330 main |
|
|
|
|
|
|
|
|
|
|
|
| FDS7_0520b
GAL# 340 FDS DWARF CAT r_mag= 18.96 re(")= 7.91 class=e | Decomp (sersic+nuc): M*= 6.87 Re(kpc)= 0.72 n= 0.73 fnuc= 0.000 g-r= 0.641 |
|
|
|
|
|
|
|
|
|
|
|
|
r_D_final |
| Qflags: fds_is_nuc= 0.0 main |
|
|
|
|
|
|
|
|
|
|
|
| FDS11_0296
GAL# 341 FDS DWARF CAT r_mag= 18.84 re(")= 5.50 class=e* | Decomp (sersic+nuc): M*= 6.82 Re(kpc)= 0.51 n= 0.61 fnuc= 0.013 g-r= 0.626 |
|
|
|
|
|
|
|
|
|
|
|
|
r_ND_final |
| Qflags: fds_is_nuc= 1.0 FCC191 main |
|
|
|
|
|
|
|
|
|
|
|
| FDS16_0307
GAL# 342 FDS DWARF CAT r_mag= 19.08 re(")= 11.48 class=e | Decomp (sersic+nuc): M*= 6.74 Re(kpc)= 1.08 n= 0.90 fnuc= 0.000 g-r= 0.595 |
|
|
|
|
|
|
|
|
|
|
|
|
r_D_final |
| Qflags: star fds_is_nuc= 0.0 main |
|
|
|
|
|
|
|
|
|
|
|
| FDS21_0084
GAL# 343 FDS DWARF CAT r_mag= 18.99 re(")= 2.61 class=l | Decomp (sersic+nuc): M*= 6.69 Re(kpc)= 0.23 n= 0.85 fnuc= 0.000 g-r= 0.336 |
|
|
|
|
|
|
|
|
|
|
|
|
r_D_final |
| Qflags: fds_is_nuc= 0.0 main |
|
|
|
|
|
|
|
|
|
|
|
| FDS10_0109
GAL# 344 FDS DWARF CAT r_mag= 19.78 re(")= 7.22 class=e* | Decomp (sersic+nuc): M*= 6.55 Re(kpc)= 0.79 n= 1.72 fnuc= 0.034 g-r= 0.738 |
|
|
|
|
|
|
|
|
|
|
|
|
r_ND_final |
| Qflags: fds_is_nuc= 1.0 main |
|
|
|
|
|
|
|
|
|
|
|
| FDS10_0423
GAL# 345 FDS DWARF CAT r_mag= 18.94 re(")= 6.20 class=e* | Decomp (sersic+nuc): M*= 6.84 Re(kpc)= 0.60 n= 0.84 fnuc= 0.019 g-r= 0.598 |
|
|
|
|
|
|
|
|
|
|
|
|
r_ND_final |
| Qflags: star fds_is_nuc= 1.0 main |
|
|
|
|
|
|
|
|
|
|
|
| FDS26_0233
GAL# 346 FDS DWARF CAT r_mag= 19.58 re(")= 6.06 class=e | Decomp (sersic+nuc): M*= 6.74 Re(kpc)= 0.64 n= 0.69 fnuc= 0.000 g-r= 0.596 |
|
|
|
|
|
|
|
|
|
|
|
|
r_D_final |
| Qflags: star background skyplane fds_is_nuc= 0.0 main |
|
|
|
|
|
|
|
|
|
|
|
| FDS10_0056
GAL# 347 FDS DWARF CAT r_mag= 19.56 re(")= 7.26 class=e* | Decomp (sersic+nuc): M*= 6.70 Re(kpc)= 0.73 n= 0.88 fnuc= 0.018 g-r= 0.665 |
|
|
|
|
|
|
|
|
|
|
|
|
r_ND_final |
| Qflags: star background fds_is_nuc= 1.0 main |
|
|
|
|
|
|
|
|
|
|
|
| FDS10_0200
GAL# 348 FDS DWARF CAT r_mag= 19.93 re(")= 6.14 class=e | Decomp (sersic+nuc): M*= 6.75 Re(kpc)= 0.55 n= 0.80 fnuc= 0.000 g-r= 0.626 |
|
|
|
|
|
|
|
|
|
|
|
|
r_D_final |
| Qflags: fds_is_nuc= 0.0 main |
|
|
|
|
|
|
|
|
|
|
|
| FDS10_0137b
GAL# 349 FDS DWARF CAT r_mag= 19.63 re(")= 6.52 class=e | Decomp (sersic+nuc): M*= 6.81 Re(kpc)= 0.77 n= 0.71 fnuc= 0.005 g-r= 0.737 |
|
|
|
|
|
|
|
|
|
|
|
|
r_D_final |
| Qflags: star background snr fds_is_nuc= 0.0 main |
|
|
|
|
|
|
|
|
|
|
|
| FDS17_0166
GAL# 350 FDS DWARF CAT r_mag= 19.22 re(")= 9.76 class=e | Decomp (sersic+nuc): M*= 6.90 Re(kpc)= 0.91 n= 0.61 fnuc= 0.002 g-r= 0.606 |
|
|
|
|
|
|
|
|
|
|
|
|
r_D_final |
| Qflags: fds_is_nuc= 0.0 main |
|
|
|
|
|
|
|
|
|
|
|
| FDS10_0463
GAL# 351 FDS DWARF CAT r_mag= 19.51 re(")= 8.77 class=e | Decomp (sersic+nuc): M*= 6.77 Re(kpc)= 0.71 n= 0.96 fnuc= 0.000 g-r= 0.642 |
|
|
|
|
|
|
|
|
|
|
|
|
r_D_final |
| Qflags: star obscured background skyplane fds_is_nuc= 0.0 main |
|
|
|
|
|
|
|
|
|
|
|
| FDS12_0433
GAL# 352 FDS DWARF CAT r_mag= 19.86 re(")= 6.99 class=e | Decomp (sersic+nuc): M*= 6.30 Re(kpc)= 0.59 n= 0.84 fnuc= 0.000 g-r= 0.578 |
|
|
|
|
|
|
|
|
|
|
|
|
r_D_final |
| Qflags: star fds_is_nuc= 0.0 main |
|
|
|
|
|
|
|
|
|
|
|
| FDS26_0103
GAL# 353 FDS DWARF CAT r_mag= 19.54 re(")= 4.06 class=e | Decomp (sersic+nuc): M*= 6.65 Re(kpc)= 0.37 n= 0.63 fnuc= 0.000 g-r= 0.531 |
|
|
|
|
|
|
|
|
|
|
|
|
r_D_final |
| Qflags: star fds_is_nuc= 0.0 main |
|
|
|
|
|
|
|
|
|
|
|
| FDS6_0251
GAL# 354 FDS DWARF CAT r_mag= 18.72 re(")= 6.01 class=e | Decomp (sersic+nuc): M*= 6.73 Re(kpc)= 0.55 n= 0.65 fnuc= 0.003 g-r= 0.363 |
|
|
|
|
|
|
|
|
|
|
|
|
r_D_final |
| Qflags: fds_is_nuc= 0.0 FCCB1542 main |
|
|
|
|
|
|
|
|
|
|
|
| FDS13_0284
GAL# 355 FDS DWARF CAT r_mag= 19.29 re(")= 6.59 class=e | Decomp (sersic+nuc): M*= 6.73 Re(kpc)= 0.64 n= 0.86 fnuc= 0.001 g-r= 0.602 |
|
|
|
|
|
|
|
|
|
|
|
|
r_D_final |
| Qflags: fds_is_nuc= 0.0 FCC172 main |
|
|
|
|
|
|
|
|
|
|
|
| FDS6_0566
GAL# 356 FDS DWARF CAT r_mag= 19.31 re(")= 9.82 class=e* | Decomp (sersic+nuc): M*= 6.67 Re(kpc)= 0.86 n= 0.78 fnuc= 0.035 g-r= 0.598 |
|
|
|
|
|
|
|
|
|
|
|
|
r_ND_final |
| Qflags: fds_is_nuc= 1.0 main |
|
|
|
|
|
|
|
|
|
|
|
| FDS13_0398
GAL# 357 FDS DWARF CAT r_mag= 18.89 re(")= 3.91 class=e | Decomp (sersic+nuc): M*= 6.73 Re(kpc)= 0.35 n= 0.88 fnuc= 0.000 g-r= 0.497 |
|
|
|
|
|
|
|
|
|
|
|
|
r_D_final |
| Qflags: offcen fds_is_nuc= 0.0 main |
|
|
|
|
|
|
|
|
|
|
|
| FDS21_0255
GAL# 358 FDS DWARF CAT r_mag= 19.96 re(")= 6.81 class=e | Decomp (sersic+nuc): M*= 6.53 Re(kpc)= 0.63 n= 0.65 fnuc= 0.001 g-r= 0.545 |
|
|
|
|
|
|
|
|
|
|
|
|
r_D_final |
| Qflags: fds_is_nuc= 0.0 main |
|
|
|
|
|
|
|
|
|
|
|
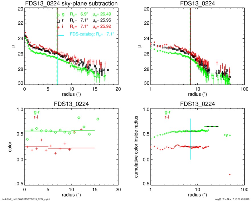
| FDS13_0224
GAL# 359 FDS DWARF CAT r_mag= 19.35 re(")= 7.07 class=e* | Decomp (sersic+nuc): M*= 6.69 Re(kpc)= 0.71 n= 0.65 fnuc= 0.032 g-r= 0.576 |
|
|
|
|
|
|
|
|
|
|
|
|
r_ND_final |
| Qflags: fds_is_nuc= 1.0 main |
|
|
|
|
|
|
|
|
|
|
|
| FDS20_0118
GAL# 360 FDS DWARF CAT r_mag= 19.85 re(")= 4.65 class=e | Decomp (sersic+nuc): M*= 6.52 Re(kpc)= 0.58 n= 0.72 fnuc= 0.001 g-r= 0.540 |
|
|
|
|
|
|
|
|
|
|
|
|
r_D_final |
| Qflags: star background fds_is_nuc= 0.0 FCC71 main |
|
|
|
|
|
|
|
|
|
|
|
| FDS17_0312
GAL# 361 FDS DWARF CAT r_mag= 19.31 re(")= 7.51 class=e | Decomp (sersic+nuc): M*= 6.78 Re(kpc)= 0.67 n= 0.79 fnuc= 0.000 g-r= 0.574 |
|
|
|
|
|
|
|
|
|
|
|
|
r_D_final |
| Qflags: fds_is_nuc= 0.0 FCC149 main |
|
|
|
|
|
|
|
|
|
|
|
| FDS16_0281
GAL# 362 FDS DWARF CAT r_mag= 19.11 re(")= 5.52 class=e* | Decomp (sersic+nuc): M*= 6.71 Re(kpc)= 0.54 n= 0.57 fnuc= 0.033 g-r= 0.544 |
|
|
|
|
|
|
|
|
|
|
|
|
r_ND_final |
| Qflags: fds_is_nuc= 1.0 FCC146 main |
|
|
|
|
|
|
|
|
|
|
|
| FDS28_0054
GAL# 363 FDS DWARF CAT r_mag= 18.32 re(")= 5.71 class=l | Decomp (sersic+nuc): M*= 6.68 Re(kpc)= 0.44 n= 1.07 fnuc= 0.000 g-r= 0.135 |
|
|
|
|
|
|
|
|
|
|
|
|
r_D_final |
| Qflags: obscured uncertain fds_is_nuc= 0.0 main |
|
|
|
|
|
|
|
|
|
|
|
| FDS20_0264
GAL# 364 FDS DWARF CAT r_mag= 19.89 re(")= 4.80 class=e | Decomp (sersic+nuc): M*= 6.54 Re(kpc)= 0.43 n= 0.64 fnuc= 0.002 g-r= 0.622 |
|
|
|
|
|
|
|
|
|
|
|
|
r_D_final |
| Qflags: fds_is_nuc= 0.0 main |
|
|
|
|
|
|
|
|
|
|
|
| FDS7_0504
GAL# 365 FDS DWARF CAT r_mag= 19.54 re(")= 7.39 class=e | Decomp (sersic+nuc): M*= 6.65 Re(kpc)= 0.74 n= 0.62 fnuc= 0.001 g-r= 0.588 |
|
|
|
|
|
|
|
|
|
|
|
|
r_D_final |
| Qflags: star background fds_is_nuc= 0.0 main |
|
|
|
|
|
|
|
|
|
|
|
| FDS6_0100b
GAL# 366 FDS DWARF CAT r_mag= 18.45 re(")= 7.18 class=l | Decomp (sersic+nuc): M*= 6.71 Re(kpc)= 0.60 n= 0.75 fnuc= 0.000 g-r= 0.332 |
|
|
|
|
|
|
|
|
|
|
|
|
r_D_final |
| Qflags: offcen fds_is_nuc= 0.0 main |
|
|
|
|
|
|
|
|
|
|
|
| FDS7_0286
GAL# 367 FDS DWARF CAT r_mag= 20.05 re(")= 2.91 class=e | Decomp (sersic+nuc): M*= 6.57 Re(kpc)= 0.24 n= 0.97 fnuc= 0.045 g-r= 0.601 |
|
|
|
|
|
|
|
|
|
|
|
|
r_D_final |
| Qflags: fds_is_nuc= 0.0 main |
|
|
|
|
|
|
|
|
|
|
|
| FDS22_0173
GAL# 368 FDS DWARF CAT r_mag= 19.45 re(")= 5.36 class=e | Decomp (sersic+nuc): M*= 6.71 Re(kpc)= 0.50 n= 0.84 fnuc= 0.000 g-r= 0.545 |
|
|
|
|
|
|
|
|
|
|
|
|
r_D_final |
| Qflags: fds_is_nuc= 0.0 main |
|
|
|
|
|
|
|
|
|
|
|
| FDS12_0286
GAL# 369 FDS DWARF CAT r_mag= 18.96 re(")= 6.16 class=e | Decomp (sersic+nuc): M*= 6.80 Re(kpc)= 0.63 n= 1.03 fnuc= 0.000 g-r= 0.545 |
|
|
|
|
|
|
|
|
|
|
|
|
r_D_final |
| Qflags: star obscured fds_is_nuc= 0.0 main |
|
|
|
|
|
|
|
|
|
|
|
| FDS12_0436
GAL# 370 FDS DWARF CAT r_mag= 20.16 re(")= 7.01 class=e | Decomp (sersic+nuc): M*= 6.39 Re(kpc)= 0.63 n= 0.92 fnuc= 0.000 g-r= 0.619 |
|
|
|
|
|
|
|
|
|
|
|
|
r_D_final |
| Qflags: fds_is_nuc= 0.0 main |
|
|
|
|
|
|
|
|
|
|
|
| FDS31_0262
GAL# 371 FDS DWARF CAT r_mag= 19.70 re(")= 2.53 class=e | Decomp (sersic+nuc): M*= 6.72 Re(kpc)= 0.22 n= 1.14 fnuc= 0.000 g-r= 0.617 |
|
|
|
|
|
|
|
|
|
|
|
|
r_D_final |
| Qflags: fds_is_nuc= 0.0 main |
|
|
|
|
|
|
|
|
|
|
|
| FDS21_0328
GAL# 372 FDS DWARF CAT r_mag= 20.01 re(")= 8.50 class=e | Decomp (sersic+nuc): M*= 6.53 Re(kpc)= 0.86 n= 0.55 fnuc= 0.012 g-r= 0.523 |
|
|
|
|
|
|
|
|
|
|
|
|
r_D_final |
| Qflags: snr fds_is_nuc= 0.0 main |
|
|
|
|
|
|
|
|
|
|
|
| FDS10_0123
GAL# 373 FDS DWARF CAT r_mag= 19.65 re(")= 4.26 class=e | Decomp (sersic+nuc): M*= 6.63 Re(kpc)= 0.38 n= 0.63 fnuc= 0.003 g-r= 0.548 |
|
|
|
|
|
|
|
|
|
|
|
|
r_D_final |
| Qflags: fds_is_nuc= 0.0 main |
|
|
|
|
|
|
|
|
|
|
|
| FDS16_0272
GAL# 374 FDS DWARF CAT r_mag= 19.46 re(")= 4.37 class=e | Decomp (sersic+nuc): M*= 6.62 Re(kpc)= 0.40 n= 0.68 fnuc= 0.000 g-r= 0.580 |
|
|
|
|
|
|
|
|
|
|
|
|
r_D_final |
| Qflags: fds_is_nuc= 0.0 main |
|
|
|
|
|
|
|
|
|
|
|
| FDS6_0352
GAL# 375 FDS DWARF CAT r_mag= 18.74 re(")= 9.91 class=e | Decomp (sersic+nuc): M*= 6.75 Re(kpc)= 0.91 n= 0.67 fnuc= 0.000 g-r= 0.562 |
|
|
|
|
|
|
|
|
|
|
|
|
r_D_final |
| Qflags: fds_is_nuc= 0.0 FCC284 main |
|
|
|
|
|
|
|
|
|
|
|
| FDS16_0127
GAL# 376 FDS DWARF CAT r_mag= 19.89 re(")= 8.13 class=e* | Decomp (sersic+nuc): M*= 6.54 Re(kpc)= 0.90 n= 0.97 fnuc= 0.032 g-r= 0.689 |
|
|
|
|
|
|
|
|
|
|
|
|
r_ND_final |
| Qflags: star fds_is_nuc= 1.0 main |
|
|
|
|
|
|
|
|
|
|
|
| FDS19_0772
GAL# 377 FDS DWARF CAT r_mag= 20.16 re(")= 2.47 class=e | Decomp (sersic+nuc): M*= 6.48 Re(kpc)= 0.21 n= 0.78 fnuc= 0.021 g-r= 0.617 |
|
|
|
|
|
|
|
|
|
|
|
|
r_D_final |
| Qflags: obscured fds_is_nuc= 0.0 main |
|
|
|
|
|
|
|
|
|
|
|
| FDS16_0248
GAL# 378 FDS DWARF CAT r_mag= 19.39 re(")= 7.05 class=e | Decomp (sersic+nuc): M*= 6.57 Re(kpc)= 0.65 n= 0.71 fnuc= 0.000 g-r= 0.615 |
|
|
|
|
|
|
|
|
|
|
|
|
r_D_final |
| Qflags: fds_is_nuc= 0.0 FCC114 main |
|
|
|
|
|
|
|
|
|
|
|
| FDS10_0315
GAL# 379 FDS DWARF CAT r_mag= 19.21 re(")= 5.60 class=e | Decomp (sersic+nuc): M*= 6.73 Re(kpc)= 0.52 n= 0.66 fnuc= 0.000 g-r= 0.493 |
|
|
|
|
|
|
|
|
|
|
|
|
r_D_final |
| Qflags: fds_is_nuc= 0.0 main |
|
|
|
|
|
|
|
|
|
|
|
| FDS17_0082
GAL# 380 FDS DWARF CAT r_mag= 19.32 re(")= 5.88 class=e | Decomp (sersic+nuc): M*= 6.73 Re(kpc)= 0.52 n= 1.12 fnuc= 0.000 g-r= 0.615 |
|
|
|
|
|
|
|
|
|
|
|
|
r_D_final |
| Qflags: fds_is_nuc= 0.0 main |
|
|
|
|
|
|
|
|
|
|
|
| FDS10_0387
GAL# 381 FDS DWARF CAT r_mag= 19.63 re(")= 9.14 class=e* | Decomp (sersic+nuc): M*= 6.76 Re(kpc)= 0.81 n= 1.63 fnuc= 0.031 g-r= 0.635 |
|
|
|
|
|
|
|
|
|
|
|
|
r_ND_final |
| Qflags: fds_is_nuc= 1.0 main |
|
|
|
|
|
|
|
|
|
|
|
| FDS11_0013
GAL# 382 FDS DWARF CAT r_mag= 19.51 re(")= 4.77 class=e | Decomp (sersic+nuc): M*= 6.72 Re(kpc)= 0.45 n= 0.72 fnuc= 0.007 g-r= 0.565 |
|
|
|
|
|
|
|
|
|
|
|
|
r_D_final |
| Qflags: fds_is_nuc= 0.0 main |
|
|
|
|
|
|
|
|
|
|
|
| FDS21_0009
GAL# 383 FDS DWARF CAT r_mag= 19.75 re(")= 2.39 class=e | Decomp (sersic+nuc): M*= 6.66 Re(kpc)= 0.23 n= 0.71 fnuc= 0.032 g-r= 0.563 |
|
|
|
|
|
|
|
|
|
|
|
|
r_D_final |
| Qflags: fds_is_nuc= 0.0 main |
|
|
|
|
|
|
|
|
|
|
|
| FDS25_0094
GAL# 384 FDS DWARF CAT r_mag= 19.67 re(")= 5.99 class=e | Decomp (sersic+nuc): M*= 6.64 Re(kpc)= 0.59 n= 0.81 fnuc= 0.000 g-r= 0.494 |
|
|
|
|
|
|
|
|
|
|
|
|
r_D_final |
| Qflags: star fds_is_nuc= 0.0 main |
|
|
|
|
|
|
|
|
|
|
|
| FDS11_0064
GAL# 385 FDS DWARF CAT r_mag= 19.45 re(")= 6.50 class=e* | Decomp (sersic+nuc): M*= 6.82 Re(kpc)= 0.87 n= 2.01 fnuc= 0.009 g-r= 0.494 |
|
|
|
|
|
|
|
|
|
|
|
|
r_ND_final |
| Qflags: star background fds_is_nuc= 1.0 main |
|
|
|
|
|
|
|
|
|
|
|
| FDS10_0345
GAL# 386 FDS DWARF CAT r_mag= 20.60 re(")= 8.46 class=e | Decomp (sersic+nuc): M*= 6.34 Re(kpc)= 0.79 n= 0.69 fnuc= 0.000 g-r= 0.460 |
|
|
|
|
|
|
|
|
|
|
|
|
r_D_final |
| Qflags: snr fds_is_nuc= 0.0 main |
|
|
|
|
|
|
|
|
|
|
|
| FDS2_0133
GAL# 387 FDS DWARF CAT r_mag= 19.56 re(")= 5.64 class=e* | Decomp (sersic+nuc): M*= 6.56 Re(kpc)= 0.58 n= 0.69 fnuc= 0.072 g-r= 0.578 |
|
|
|
|
|
|
|
|
|
|
|
|
r_ND_final |
| Qflags: fds_is_nuc= 1.0 main |
|
|
|
|
|
|
|
|
|
|
|
| FDS26_0039
GAL# 388 FDS DWARF CAT r_mag= 19.40 re(")= 4.94 class=e | Decomp (sersic+nuc): M*= 6.68 Re(kpc)= 0.45 n= 0.89 fnuc= 0.000 g-r= 0.587 |
|
|
|
|
|
|
|
|
|
|
|
|
r_D_final |
| Qflags: fds_is_nuc= 0.0 main |
|
|
|
|
|
|
|
|
|
|
|
| FDS16_0152
GAL# 389 FDS DWARF CAT r_mag= 18.99 re(")= 6.88 class=e | Decomp (sersic+nuc): M*= 6.73 Re(kpc)= 0.59 n= 1.14 fnuc= 0.000 g-r= 0.712 |
|
|
|
|
|
|
|
|
|
|
|
|
r_D_final |
| Qflags: fds_is_nuc= 0.0 main |
|
|
|
|
|
|
|
|
|
|
|
| FDS16_0246
GAL# 390 FDS DWARF CAT r_mag= 19.42 re(")= 8.43 class=e* | Decomp (sersic+nuc): M*= 6.68 Re(kpc)= 0.84 n= 0.57 fnuc= 0.061 g-r= 0.797 |
|
|
|
|
|
|
|
|
|
|
|
|
r_ND_final |
| Qflags: fds_is_nuc= 1.0 main |
|
|
|
|
|
|
|
|
|
|
|
| FDS15_0369
GAL# 391 FDS DWARF CAT r_mag= 19.20 re(")= 6.05 class=e | Decomp (sersic+nuc): M*= 6.67 Re(kpc)= 0.55 n= 0.83 fnuc= 0.000 g-r= 0.539 |
|
|
|
|
|
|
|
|
|
|
|
|
r_D_final |
| Qflags: fds_is_nuc= 0.0 FCC126 main |
|
|
|
|
|
|
|
|
|
|
|
| FDS12_0287
GAL# 392 FDS DWARF CAT r_mag= 20.75 re(")= 5.10 class=e | Decomp (sersic+nuc): M*= 6.30 Re(kpc)= 0.46 n= 0.59 fnuc= 0.002 g-r= 0.418 |
|
|
|
|
|
|
|
|
|
|
|
|
r_D_final |
| Qflags: snr fds_is_nuc= 0.0 main |
|
|
|
|
|
|
|
|
|
|
|
| FDS28_0184
GAL# 393 FDS DWARF CAT r_mag= 19.45 re(")= 3.90 class=l | Decomp (sersic+nuc): M*= 6.59 Re(kpc)= 0.34 n= 0.81 fnuc= 0.016 g-r= 0.364 |
|
|
|
|
|
|
|
|
|
|
|
|
r_D_final |
| Qflags: fds_is_nuc= 0.0 main |
|
|
|
|
|
|
|
|
|
|
|
| FDS22_0267
GAL# 394 FDS DWARF CAT r_mag= 19.83 re(")= 3.99 class=e | Decomp (sersic+nuc): M*= 6.52 Re(kpc)= 0.35 n= 0.78 fnuc= 0.000 g-r= 0.535 |
|
|
|
|
|
|
|
|
|
|
|
|
r_D_final |
| Qflags: fds_is_nuc= 0.0 main |
|
|
|
|
|
|
|
|
|
|
|
| FDS5_0137
GAL# 395 FDS DWARF CAT r_mag= 19.20 re(")= 3.75 class=l | Decomp (sersic+nuc): M*= 6.57 Re(kpc)= 0.33 n= 0.79 fnuc= 0.001 g-r= 0.444 |
|
|
|
|
|
|
|
|
|
|
|
|
r_D_final |
| Qflags: star obscured fds_is_nuc= 0.0 main |
|
|
|
|
|
|
|
|
|
|
|
| FDS17_0243
GAL# 396 FDS DWARF CAT r_mag= 20.11 re(")= 6.65 class=e | Decomp (sersic+nuc): M*= 6.46 Re(kpc)= 0.62 n= 0.72 fnuc= 0.001 g-r= 0.566 |
|
|
|
|
|
|
|
|
|
|
|
|
r_D_final |
| Qflags: star fds_is_nuc= 0.0 main |
|
|
|
|
|
|
|
|
|
|
|
| FDS5_1217
GAL# 397 FDS DWARF CAT r_mag= 21.08 re(")= 2.65 class=e | Decomp (sersic+nuc): M*= 6.51 Re(kpc)= 0.55 n= 0.58 fnuc= 0.060 g-r= 0.686 |
|
|
|
|
|
|
|
|
|
|
|
|
r_D_final |
| Qflags: fds_is_nuc= 0.0 main |
|
|
|
|
|
|
|
|
|
|
|
| FDS26_0097
GAL# 398 FDS DWARF CAT r_mag= 19.34 re(")= 4.52 class=e | Decomp (sersic+nuc): M*= 6.68 Re(kpc)= 0.43 n= 0.75 fnuc= 0.000 g-r= 0.483 |
|
|
|
|
|
|
|
|
|
|
|
|
r_D_final |
| Qflags: fds_is_nuc= 0.0 main |
|
|
|
|
|
|
|
|
|
|
|
| FDS26_0101
GAL# 399 FDS DWARF CAT r_mag= 19.40 re(")= 5.19 class=e | Decomp (sersic+nuc): M*= 6.62 Re(kpc)= 0.50 n= 0.79 fnuc= 0.010 g-r= 0.492 |
|
|
|
|
|
|
|
|
|
|
|
|
r_D_final |
| Qflags: fds_is_nuc= 0.0 main |
|
|
|
|
|
|
|
|
|
|
|