| FDS10_0003
GAL# 0 FDS DWARF CAT r_mag= 16.51 re(")= 10.48 class=e* | Decomp (sersic+nuc): M*= 7.89 Re(kpc)= 1.00 n= 0.86 fnuc= 0.010 g-r= 0.661 |
|
|
|
|
|
|
|
|
|
|
|
|
r_ND_final |
| Qflags: fds_is_nuc= 1.0 FCC181 main |
|
|
|
|
|
|
|
|
|
|
|
| FDS10_0004
GAL# 1 FDS DWARF CAT r_mag= 18.80 re(")= 7.61 class=e | Decomp (sersic+nuc): M*= 6.97 Re(kpc)= 0.71 n= 0.66 fnuc= 0.000 g-r= 0.668 |
|
|
|
|
|
|
|
|
|
|
|
|
r_D_final |
| Qflags: star fds_is_nuc= 0.0 FCCB1444 main |
|
|
|
|
|
|
|
|
|
|
|
| FDS10_0014
GAL# 2 FDS DWARF CAT r_mag= 15.95 re(")= 15.12 class=e | Decomp (sersic+nuc): M*= 8.16 Re(kpc)= 1.37 n= 1.12 fnuc= 0.001 g-r= 0.657 |
|
|
|
|
|
|
|
|
|
|
|
|
r_ND_final |
| Qflags: fds_is_nuc= 1.0 FCC195 main |
|
|
|
|
|
|
|
|
|
|
|
| FDS10_0017
GAL# 3 FDS DWARF CAT r_mag= 21.29 re(")= 4.41 class=e | Decomp (sersic+nuc): M*= 6.35 Re(kpc)= 0.43 n= 0.67 fnuc= 0.039 g-r= 0.499 |
|
|
|
|
|
|
|
|
|
|
|
|
r_D_final |
| Qflags: star background fds_is_nuc= 0.0 main |
|
|
|
|
|
|
|
|
|
|
|
| FDS10_0023
GAL# 4 FDS DWARF CAT r_mag= 16.69 re(")= 9.50 class=e | Decomp (sersic+nuc): M*= 7.83 Re(kpc)= 0.91 n= 1.40 fnuc= 0.000 g-r= 0.596 |
|
|
|
|
|
|
|
|
|
|
|
|
r_D_final |
| Qflags: fds_is_nuc= 0.0 FCC200 main |
|
|
|
|
|
|
|
|
|
|
|
| FDS10_0034
GAL# 5 FDS DWARF CAT r_mag= 18.78 re(")= 7.01 class=e | Decomp (sersic+nuc): M*= 6.98 Re(kpc)= 0.67 n= 1.30 fnuc= 0.000 g-r= 0.634 |
|
|
|
|
|
|
|
|
|
|
|
|
r_D_final |
| Qflags: fds_is_nuc= 0.0 FCC185 main |
|
|
|
|
|
|
|
|
|
|
|
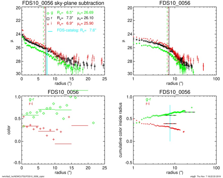
| FDS10_0056
GAL# 6 FDS DWARF CAT r_mag= 19.56 re(")= 7.26 class=e* | Decomp (sersic+nuc): M*= 6.70 Re(kpc)= 0.73 n= 0.88 fnuc= 0.018 g-r= 0.665 |
|
|
|
|
|
|
|
|
|
|
|
|
r_ND_final |
| Qflags: star background fds_is_nuc= 1.0 main |
|
|
|
|
|
|
|
|
|
|
|
| FDS10_0077
GAL# 7 FDS DWARF CAT r_mag= 16.61 re(")= 9.96 class=e | Decomp (sersic+nuc): M*= 7.92 Re(kpc)= 0.93 n= 0.96 fnuc= 0.000 g-r= 0.626 |
|
|
|
|
|
|
|
|
|
|
|
|
r_D_final |
| Qflags: fds_is_nuc= 0.0 FCC230 main |
|
|
|
|
|
|
|
|
|
|
|
| FDS10_0098
GAL# 8 FDS DWARF CAT r_mag= 18.31 re(")= 5.23 class=e* | Decomp (sersic+nuc): M*= 7.18 Re(kpc)= 0.48 n= 0.80 fnuc= 0.013 g-r= 0.611 |
|
|
|
|
|
|
|
|
|
|
|
|
r_D_final |
| Qflags: fds_is_nuc= 1.0 FCC189 main |
|
|
|
|
|
|
|
|
|
|
|
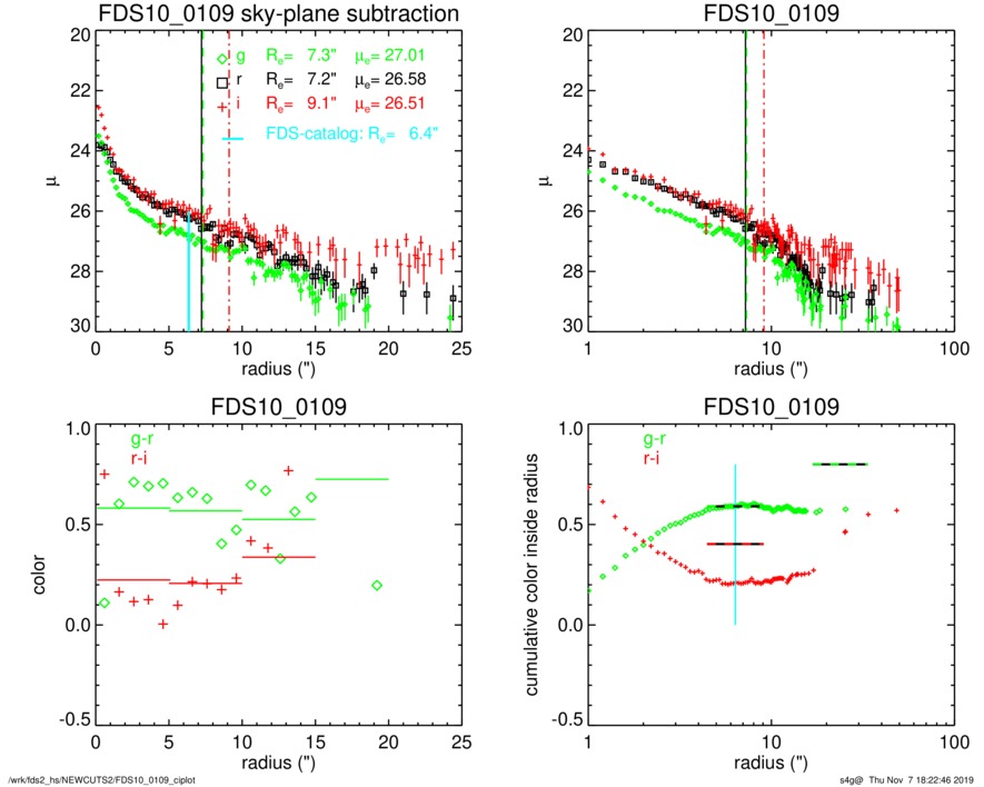
| FDS10_0109
GAL# 9 FDS DWARF CAT r_mag= 19.78 re(")= 7.22 class=e* | Decomp (sersic+nuc): M*= 6.55 Re(kpc)= 0.79 n= 1.72 fnuc= 0.034 g-r= 0.738 |
|
|
|
|
|
|
|
|
|
|
|
|
r_ND_final |
| Qflags: fds_is_nuc= 1.0 main |
|
|
|
|
|
|
|
|
|
|
|
| FDS10_0117
GAL# 10 FDS DWARF CAT r_mag= 19.77 re(")= 6.18 class=e | Decomp (sersic+nuc): M*= 6.59 Re(kpc)= 0.58 n= 0.96 fnuc= 0.000 g-r= 0.512 |
|
|
|
|
|
|
|
|
|
|
|
|
r_D_final |
| Qflags: star offcen fds_is_nuc= 0.0 main |
|
|
|
|
|
|
|
|
|
|
|
| FDS10_0123
GAL# 11 FDS DWARF CAT r_mag= 19.65 re(")= 4.26 class=e | Decomp (sersic+nuc): M*= 6.63 Re(kpc)= 0.38 n= 0.63 fnuc= 0.003 g-r= 0.548 |
|
|
|
|
|
|
|
|
|
|
|
|
r_D_final |
| Qflags: fds_is_nuc= 0.0 main |
|
|
|
|
|
|
|
|
|
|
|
| FDS10_0130
GAL# 12 FDS DWARF CAT r_mag= 20.38 re(")= 3.85 class=l | Decomp (sersic+nuc): M*= 6.17 Re(kpc)= 0.34 n= 1.09 fnuc= 0.000 g-r= 0.323 |
|
|
|
|
|
|
|
|
|
|
|
|
r_D_final |
| Qflags: star background fds_is_nuc= 0.0 main |
|
|
|
|
|
|
|
|
|
|
|
| FDS10_0137b
GAL# 13 FDS DWARF CAT r_mag= 19.63 re(")= 6.52 class=e | Decomp (sersic+nuc): M*= 6.81 Re(kpc)= 0.77 n= 0.71 fnuc= 0.005 g-r= 0.737 |
|
|
|
|
|
|
|
|
|
|
|
|
r_D_final |
| Qflags: star background snr fds_is_nuc= 0.0 main |
|
|
|
|
|
|
|
|
|
|
|
| FDS10_0143
GAL# 14 FDS DWARF CAT r_mag= 18.81 re(")= 9.02 class=e | Decomp (sersic+nuc): M*= 7.18 Re(kpc)= 2.24 n= 5.43 fnuc= 0.010 g-r= 0.925 |
|
|
|
|
|
|
|
|
|
|
|
|
r_ND_final |
| Qflags: star fds_is_nuc= 1.0 main |
|
|
|
|
|
|
|
|
|
|
|
| FDS10_0147
GAL# 15 FDS DWARF CAT r_mag= 20.25 re(")= 4.68 class=e | Decomp (sersic+nuc): M*= 6.31 Re(kpc)= 0.46 n= 0.59 fnuc= 0.002 g-r= 0.513 |
|
|
|
|
|
|
|
|
|
|
|
|
r_D_final |
| Qflags: offcen fds_is_nuc= 0.0 main |
|
|
|
|
|
|
|
|
|
|
|
| FDS10_0150
GAL# 16 FDS DWARF CAT r_mag= 16.72 re(")= 21.43 class=e | Decomp (sersic+nuc): M*= 7.84 Re(kpc)= 2.00 n= 1.29 fnuc= 0.000 g-r= 0.599 |
|
|
|
|
|
|
|
|
|
|
|
|
r_D_final |
| Qflags: star obscured background skyplane fds_is_nuc= 0.0 FCC187 main |
|
|
|
|
|
|
|
|
|
|
|
| FDS10_0167
GAL# 17 FDS DWARF CAT r_mag= 21.54 re(")= 5.22 class=l | Decomp (sersic+nuc): M*= 5.58 Re(kpc)= 0.45 n= 0.32 fnuc= 0.000 g-r= 0.502 |
|
|
|
|
|
|
|
|
|
|
|
|
r_D_final |
| Qflags: snr uncertain offcen fds_is_nuc= 0.0 main |
|
|
|
|
|
|
|
|
|
|
|
| FDS10_0180
GAL# 18 FDS DWARF CAT r_mag= 20.51 re(")= 5.03 class=e | Decomp (sersic+nuc): M*= 6.36 Re(kpc)= 0.45 n= 0.73 fnuc= 0.000 g-r= 0.528 |
|
|
|
|
|
|
|
|
|
|
|
|
r_D_final |
| Qflags: star fds_is_nuc= 0.0 main |
|
|
|
|
|
|
|
|
|
|
|
| FDS10_0189
GAL# 19 FDS DWARF CAT r_mag= 14.52 re(")= 17.72 class=e(s) | Decomp (sersic+nuc): M*= 8.79 Re(kpc)= 1.63 n= 1.45 fnuc= 0.000 g-r= 0.670 |
|
|
|
|
|
|
|
|
|
|
|
|
r_barDD_final |
| Qflags: fds_is_nuc= 0.0 203 main |
|
|
|
|
|
|
|
|
|
|
|
| FDS10_0200
GAL# 20 FDS DWARF CAT r_mag= 19.93 re(")= 6.14 class=e | Decomp (sersic+nuc): M*= 6.75 Re(kpc)= 0.55 n= 0.80 fnuc= 0.000 g-r= 0.626 |
|
|
|
|
|
|
|
|
|
|
|
|
r_D_final |
| Qflags: fds_is_nuc= 0.0 main |
|
|
|
|
|
|
|
|
|
|
|
| FDS10_0228
GAL# 21 FDS DWARF CAT r_mag= 16.49 re(")= 18.27 class=e | Decomp (sersic+nuc): M*= 7.95 Re(kpc)= 1.72 n= 1.06 fnuc= 0.000 g-r= 0.655 |
|
|
|
|
|
|
|
|
|
|
|
|
r_D_final |
| Qflags: star fds_is_nuc= 0.0 FCC234 main |
|
|
|
|
|
|
|
|
|
|
|
| FDS10_0261b
GAL# 22 FDS DWARF CAT r_mag= 21.21 re(")= 2.94 class=e | Decomp (sersic+nuc): M*= 5.53 Re(kpc)= 0.21 n= 1.30 fnuc= 0.000 g-r= 0.539 |
|
|
|
|
|
|
|
|
|
|
|
|
r_D_final |
| Qflags: star background uncertain fds_is_nuc= 0.0 main |
|
|
|
|
|
|
|
|
|
|
|
| FDS10_0302
GAL# 23 FDS DWARF CAT r_mag= 16.47 re(")= 11.90 class=e | Decomp (sersic+nuc): M*= 7.98 Re(kpc)= 1.16 n= 1.24 fnuc= 0.000 g-r= 0.592 |
|
|
|
|
|
|
|
|
|
|
|
|
r_D_final |
| Qflags: fds_is_nuc= 0.0 FCC178 main |
|
|
|
|
|
|
|
|
|
|
|
| FDS10_0315
GAL# 24 FDS DWARF CAT r_mag= 19.21 re(")= 5.60 class=e | Decomp (sersic+nuc): M*= 6.73 Re(kpc)= 0.52 n= 0.66 fnuc= 0.000 g-r= 0.493 |
|
|
|
|
|
|
|
|
|
|
|
|
r_D_final |
| Qflags: fds_is_nuc= 0.0 main |
|
|
|
|
|
|
|
|
|
|
|
| FDS10_0326
GAL# 25 FDS DWARF CAT r_mag= 18.80 re(")= 4.57 class=e | Decomp (sersic+nuc): M*= 6.94 Re(kpc)= 0.39 n= 0.86 fnuc= 0.000 g-r= 0.535 |
|
|
|
|
|
|
|
|
|
|
|
|
r_D_final |
| Qflags: star background skyplane fds_is_nuc= 0.0 main |
|
|
|
|
|
|
|
|
|
|
|
| FDS10_0345
GAL# 26 FDS DWARF CAT r_mag= 20.60 re(")= 8.46 class=e | Decomp (sersic+nuc): M*= 6.34 Re(kpc)= 0.79 n= 0.69 fnuc= 0.000 g-r= 0.460 |
|
|
|
|
|
|
|
|
|
|
|
|
r_D_final |
| Qflags: snr fds_is_nuc= 0.0 main |
|
|
|
|
|
|
|
|
|
|
|
| FDS10_0349
GAL# 27 FDS DWARF CAT r_mag= 17.59 re(")= 11.61 class=e | Decomp (sersic+nuc): M*= 7.42 Re(kpc)= 1.05 n= 1.11 fnuc= 0.003 g-r= 0.667 |
|
|
|
|
|
|
|
|
|
|
|
|
r_ND_final |
| Qflags: star obscured fds_is_nuc= 1.0 FCC231 main |
|
|
|
|
|
|
|
|
|
|
|
| FDS10_0359
GAL# 28 FDS DWARF CAT r_mag= 17.40 re(")= 8.86 class=e | Decomp (sersic+nuc): M*= 7.57 Re(kpc)= 0.82 n= 0.82 fnuc= 0.000 g-r= 0.590 |
|
|
|
|
|
|
|
|
|
|
|
|
r_D_final |
| Qflags: fds_is_nuc= 0.0 FCC173 main |
|
|
|
|
|
|
|
|
|
|
|
| FDS10_0363
GAL# 29 FDS DWARF DUPLICATE | |
| FDS10_0387
GAL# 30 FDS DWARF CAT r_mag= 19.63 re(")= 9.14 class=e* | Decomp (sersic+nuc): M*= 6.76 Re(kpc)= 0.81 n= 1.63 fnuc= 0.031 g-r= 0.635 |
|
|
|
|
|
|
|
|
|
|
|
|
r_ND_final |
| Qflags: fds_is_nuc= 1.0 main |
|
|
|
|
|
|
|
|
|
|
|
| FDS10_0397
GAL# 31 FDS DWARF CAT r_mag= 20.68 re(")= 3.34 class=l | Decomp (sersic+nuc): M*= 6.00 Re(kpc)= 0.31 n= 0.75 fnuc= 0.007 g-r= 0.309 |
|
|
|
|
|
|
|
|
|
|
|
|
r_D_final |
| Qflags: offcen fds_is_nuc= 0.0 main |
|
|
|
|
|
|
|
|
|
|
|
| FDS10_0405
GAL# 32 FDS DWARF CAT r_mag= 19.43 re(")= 4.13 class=e | Decomp (sersic+nuc): M*= 7.08 Re(kpc)= 0.38 n= 1.56 fnuc= 0.007 g-r= 0.763 |
|
|
|
|
|
|
|
|
|
|
|
|
r_D_final |
| Qflags: offcen fds_is_nuc= 0.0 main |
|
|
|
|
|
|
|
|
|
|
|
| FDS10_0423
GAL# 33 FDS DWARF CAT r_mag= 18.94 re(")= 6.20 class=e* | Decomp (sersic+nuc): M*= 6.84 Re(kpc)= 0.60 n= 0.84 fnuc= 0.019 g-r= 0.598 |
|
|
|
|
|
|
|
|
|
|
|
|
r_ND_final |
| Qflags: star fds_is_nuc= 1.0 main |
|
|
|
|
|
|
|
|
|
|
|
| FDS10_0463
GAL# 34 FDS DWARF CAT r_mag= 19.51 re(")= 8.77 class=e | Decomp (sersic+nuc): M*= 6.77 Re(kpc)= 0.71 n= 0.96 fnuc= 0.000 g-r= 0.642 |
|
|
|
|
|
|
|
|
|
|
|
|
r_D_final |
| Qflags: star obscured background skyplane fds_is_nuc= 0.0 main |
|
|
|
|
|
|
|
|
|
|
|
| FDS10_0576
GAL# 35 FDS DWARF CAT r_mag= 22.03 re(")= 3.20 class=l | Decomp (sersic+nuc): M*= 5.60 Re(kpc)= 0.38 n= 1.60 fnuc= 0.000 g-r= 0.583 |
|
|
|
|
|
|
|
|
|
|
|
|
r_D_final |
| Qflags: star background snr offcen fds_is_nuc= 0.0 main |
|
|
|
|
|
|
|
|
|
|
|
| FDS10_0591a
GAL# 36 FDS DWARF CAT r_mag= 20.61 re(")= 2.96 class=l | Decomp (sersic+nuc): M*= 6.07 Re(kpc)= 0.28 n= 0.57 fnuc= 0.016 g-r= 0.350 |
|
|
|
|
|
|
|
|
|
|
|
|
r_D_final |
| Qflags: offcen fds_is_nuc= 0.0 main |
|
|
|
|
|
|
|
|
|
|
|
| FDS11_0010
GAL# 37 FDS DWARF CAT r_mag= 16.78 re(")= 14.78 class=e | Decomp (sersic+nuc): M*= 7.78 Re(kpc)= 1.39 n= 0.86 fnuc= 0.004 g-r= 0.666 |
|
|
|
|
|
|
|
|
|
|
|
|
r_ND_final |
| Qflags: offcen fds_is_nuc= 1.0 FCC165 main |
|
|
|
|
|
|
|
|
|
|
|
| FDS11_0013
GAL# 38 FDS DWARF CAT r_mag= 19.51 re(")= 4.77 class=e | Decomp (sersic+nuc): M*= 6.72 Re(kpc)= 0.45 n= 0.72 fnuc= 0.007 g-r= 0.565 |
|
|
|
|
|
|
|
|
|
|
|
|
r_D_final |
| Qflags: fds_is_nuc= 0.0 main |
|
|
|
|
|
|
|
|
|
|
|
| FDS11_0027
GAL# 39 FDS DWARF CAT r_mag= 17.38 re(")= 8.93 class=e | Decomp (sersic+nuc): M*= 7.51 Re(kpc)= 0.79 n= 0.84 fnuc= 0.002 g-r= 0.599 |
|
|
|
|
|
|
|
|
|
|
|
|
r_D_final |
| Qflags: fds_is_nuc= 0.0 FCC244 main |
|
|
|
|
|
|
|
|
|
|
|
| FDS11_0029
GAL# 40 FDS DWARF CAT r_mag= 19.29 re(")= 7.05 class=e | Decomp (sersic+nuc): M*= 6.65 Re(kpc)= 0.71 n= 1.01 fnuc= 0.003 g-r= 0.617 |
|
|
|
|
|
|
|
|
|
|
|
|
r_D_final |
| Qflags: star offcen fds_is_nuc= 0.0 FCC192 main |
|
|
|
|
|
|
|
|
|
|
|
| FDS11_0032
GAL# 41 FDS DWARF CAT r_mag= 20.19 re(")= 5.37 class=e | Decomp (sersic+nuc): M*= 6.05 Re(kpc)= 0.51 n= 0.58 fnuc= 0.003 g-r= 0.719 |
|
|
|
|
|
|
|
|
|
|
|
|
r_D_final |
| Qflags: fds_is_nuc= 0.0 main |
|
|
|
|
|
|
|
|
|
|
|
| FDS11_0040
GAL# 42 FDS DWARF CAT r_mag= 18.07 re(")= 5.56 class=e | Decomp (sersic+nuc): M*= 7.23 Re(kpc)= 0.48 n= 0.87 fnuc= 0.000 g-r= 0.612 |
|
|
|
|
|
|
|
|
|
|
|
|
r_D_final |
| Qflags: fds_is_nuc= 0.0 FCC248 main |
|
|
|
|
|
|
|
|
|
|
|
| FDS11_0044
GAL# 43 FDS DWARF CAT r_mag= 18.55 re(")= 12.92 class=e | Decomp (sersic+nuc): M*= 7.02 Re(kpc)= 1.30 n= 0.66 fnuc= 0.000 g-r= 0.548 |
|
|
|
|
|
|
|
|
|
|
|
|
r_D_final |
| Qflags: star fds_is_nuc= 0.0 FCC163 main |
|
|
|
|
|
|
|
|
|
|
|
| FDS11_0047
GAL# 44 FDS DWARF CAT r_mag= 18.59 re(")= 5.23 class=e | Decomp (sersic+nuc): M*= 7.04 Re(kpc)= 0.48 n= 0.80 fnuc= 0.000 g-r= 0.577 |
|
|
|
|
|
|
|
|
|
|
|
|
r_D_final |
| Qflags: fds_is_nuc= 0.0 FCC214 main |
|
|
|
|
|
|
|
|
|
|
|
| FDS11_0049
GAL# 45 FDS DWARF CAT r_mag= 16.79 re(")= 14.78 class=e* | Decomp (sersic+nuc): M*= 7.75 Re(kpc)= 1.31 n= 1.02 fnuc= 0.004 g-r= 0.620 |
|
|
|
|
|
|
|
|
|
|
|
|
r_ND_final |
| Qflags: star fds_is_nuc= 1.0 FCC196 main |
|
|
|
|
|
|
|
|
|
|
|
| FDS11_0052b
GAL# 46 FDS DWARF CAT r_mag= 18.26 re(")= 8.18 class=e* | Decomp (sersic+nuc): M*= 7.10 Re(kpc)= 0.75 n= 0.88 fnuc= 0.005 g-r= 0.586 |
|
|
|
|
|
|
|
|
|
|
|
|
r_ND_final |
| Qflags: star background skyplane fds_is_nuc= 1.0 FCC236 main |
|
|
|
|
|
|
|
|
|
|
|
| FDS11_0064
GAL# 47 FDS DWARF CAT r_mag= 19.45 re(")= 6.50 class=e* | Decomp (sersic+nuc): M*= 6.82 Re(kpc)= 0.87 n= 2.01 fnuc= 0.009 g-r= 0.494 |
|
|
|
|
|
|
|
|
|
|
|
|
r_ND_final |
| Qflags: star background fds_is_nuc= 1.0 main |
|
|
|
|
|
|
|
|
|
|
|
| FDS11_0069
GAL# 48 FDS DWARF CAT r_mag= 15.04 re(")= 11.13 class=e* | Decomp (sersic+nuc): M*= 8.66 Re(kpc)= 1.14 n= 1.42 fnuc= 0.031 g-r= 0.697 |
|
|
|
|
|
|
|
|
|
|
|
|
r_ND_final |
| Qflags: fds_is_nuc= 1.0 FCC252 main |
|
|
|
|
|
|
|
|
|
|
|
| FDS11_0071b
GAL# 49 FDS DWARF CAT r_mag= 20.72 re(")= 2.15 class=e | Decomp (sersic+nuc): M*= 6.07 Re(kpc)= 0.17 n= 0.57 fnuc= 0.010 g-r= 0.513 |
|
|
|
|
|
|
|
|
|
|
|
|
r_D_final |
| Qflags: background fds_is_nuc= 0.0 main |
|
|
|
|
|
|
|
|
|
|
|
| FDS11_0075
GAL# 50 FDS DWARF CAT r_mag= 18.62 re(")= 9.14 class=e* | Decomp (sersic+nuc): M*= 6.96 Re(kpc)= 0.90 n= 0.83 fnuc= 0.054 g-r= 0.588 |
|
|
|
|
|
|
|
|
|
|
|
|
r_ND_final |
| Qflags: fds_is_nuc= 1.0 FCC215 main |
|
|
|
|
|
|
|
|
|
|
|
| FDS11_0079
GAL# 51 FDS DWARF CAT r_mag= 15.13 re(")= 24.84 class=e* | Decomp (sersic+nuc): M*= 8.40 Re(kpc)= 1.94 n= 1.16 fnuc= 0.002 g-r= 0.618 |
|
|
|
|
|
|
|
|
|
|
|
|
r_NDD_final |
| Qflags: star fds_is_nuc= 1.0 FCC223 main |
|
|
|
|
|
|
|
|
|
|
|
| FDS11_0093
GAL# 52 FDS DWARF CAT r_mag= 20.57 re(")= 5.13 class=e | Decomp (sersic+nuc): M*= 6.12 Re(kpc)= 0.51 n= 0.65 fnuc= 0.000 g-r= 0.485 |
|
|
|
|
|
|
|
|
|
|
|
|
r_D_final |
| Qflags: background fds_is_nuc= 0.0 main |
|
|
|
|
|
|
|
|
|
|
|
| FDS11_0108
GAL# 53 FDS DWARF CAT r_mag= 19.44 re(")= 7.64 class=e | Decomp (sersic+nuc): M*= 6.33 Re(kpc)= 0.76 n= 1.05 fnuc= 0.000 g-r= 0.633 |
|
|
|
|
|
|
|
|
|
|
|
|
r_D_final |
| Qflags: fds_is_nuc= 0.0 main |
|
|
|
|
|
|
|
|
|
|
|
| FDS11_0110
GAL# 54 FDS DWARF CAT r_mag= 17.40 re(")= 10.70 class=l | Decomp (sersic+nuc): M*= 7.14 Re(kpc)= 0.99 n= 0.74 fnuc= 0.003 g-r= 0.291 |
|
|
|
|
|
|
|
|
|
|
|
|
r_D_final |
| Qflags: fds_is_nuc= 0.0 FCC247 main |
|
|
|
|
|
|
|
|
|
|
|
| FDS11_0134
GAL# 55 FDS DWARF CAT r_mag= 18.11 re(")= 10.28 class=e | Decomp (sersic+nuc): M*= 7.25 Re(kpc)= 1.01 n= 0.76 fnuc= 0.002 g-r= 0.527 |
|
|
|
|
|
|
|
|
|
|
|
|
r_D_final |
| Qflags: star background offcen fds_is_nuc= 0.0 FCC229 main |
|
|
|
|
|
|
|
|
|
|
|
| FDS11_0140
GAL# 56 FDS DWARF CAT r_mag= 20.04 re(")= 5.33 class=e | Decomp (sersic+nuc): M*= 6.29 Re(kpc)= 0.46 n= 0.61 fnuc= 0.002 g-r= 0.481 |
|
|
|
|
|
|
|
|
|
|
|
|
r_D_final |
| Qflags: fds_is_nuc= 0.0 main |
|
|
|
|
|
|
|
|
|
|
|
| FDS11_0155
GAL# 57 FDS DWARF CAT r_mag= 15.23 re(")= 12.43 class=e* | Decomp (sersic+nuc): M*= 8.47 Re(kpc)= 1.19 n= 0.98 fnuc= 0.012 g-r= 0.692 |
|
|
|
|
|
|
|
|
|
|
|
|
r_ND_final |
| Qflags: star fds_is_nuc= 1.0 FCC188 main |
|
|
|
|
|
|
|
|
|
|
|
| FDS11_0185
GAL# 58 FDS DWARF CAT r_mag= 16.44 re(")= 16.09 class=e* | Decomp (sersic+nuc): M*= 7.87 Re(kpc)= 1.47 n= 1.21 fnuc= 0.041 g-r= 0.646 |
|
|
|
|
|
|
|
|
|
|
|
|
r_ND_final |
| Qflags: background skyplane fds_is_nuc= 1.0 FCC208 main |
|
|
|
|
|
|
|
|
|
|
|
| FDS11_0186
GAL# 59 FDS DWARF CAT r_mag= 19.47 re(")= 4.76 class=e | Decomp (sersic+nuc): M*= 6.66 Re(kpc)= 0.46 n= 0.72 fnuc= 0.008 g-r= 0.510 |
|
|
|
|
|
|
|
|
|
|
|
|
r_D_final |
| Qflags: background skyplane fds_is_nuc= 0.0 FCCB1281 main |
|
|
|
|
|
|
|
|
|
|
|
| FDS11_0200
GAL# 60 FDS DWARF CAT r_mag= 20.19 re(")= 5.11 class=e | Decomp (sersic+nuc): M*= 6.44 Re(kpc)= 0.50 n= 0.76 fnuc= 0.002 g-r= 0.438 |
|
|
|
|
|
|
|
|
|
|
|
|
r_D_final |
| Qflags: star background fds_is_nuc= 0.0 main |
|
|
|
|
|
|
|
|
|
|
|
| FDS11_0203
GAL# 61 FDS DWARF CAT r_mag= 19.00 re(")= 6.25 class=e* | Decomp (sersic+nuc): M*= 6.88 Re(kpc)= 0.62 n= 0.84 fnuc= 0.041 g-r= 0.518 |
|
|
|
|
|
|
|
|
|
|
|
|
r_ND_final |
| Qflags: fds_is_nuc= 1.0 FCC227 main |
|
|
|
|
|
|
|
|
|
|
|
| FDS11_0204
GAL# 62 FDS DWARF CAT r_mag= 16.19 re(")= 10.64 class=e | Decomp (sersic+nuc): M*= 8.05 Re(kpc)= 1.09 n= 1.51 fnuc= 0.000 g-r= 0.668 |
|
|
|
|
|
|
|
|
|
|
|
|
r_D_final |
| Qflags: background skyplane fds_is_nuc= 0.0 main |
|
|
|
|
|
|
|
|
|
|
|
| FDS11_0229
GAL# 63 FDS DWARF CAT r_mag= 20.92 re(")= 2.53 class=e | Decomp (sersic+nuc): M*= 6.02 Re(kpc)= 0.21 n= 0.69 fnuc= 0.050 g-r= 0.560 |
|
|
|
|
|
|
|
|
|
|
|
|
r_D_final |
| Qflags: background uncertain skyplane fds_is_nuc= 0.0 main |
|
|
|
|
|
|
|
|
|
|
|
| FDS11_0235
GAL# 64 FDS DWARF CAT r_mag= 14.15 re(")= 13.73 class=e* | Decomp (sersic+nuc): M*= 8.94 Re(kpc)= 1.27 n= 1.57 fnuc= 0.003 g-r= 0.698 |
|
|
|
|
|
|
|
|
|
|
|
|
r_ND_final |
| Qflags: background fds_is_nuc= 1.0 FCC202 NGC1396 main |
|
|
|
|
|
|
|
|
|
|
|
| FDS11_0246
GAL# 65 FDS DWARF CAT r_mag= 17.24 re(")= 25.09 class=e | Decomp (sersic+nuc): M*= 7.40 Re(kpc)= 2.22 n= 1.68 fnuc= 0.000 g-r= 0.573 |
|
|
|
|
|
|
|
|
|
|
|
|
r_D_final |
| Qflags: star fds_is_nuc= 0.0 FCC175 main |
|
|
|
|
|
|
|
|
|
|
|
| FDS11_0277
GAL# 66 FDS DWARF CAT r_mag= 20.17 re(")= 5.55 class=e | Decomp (sersic+nuc): M*= 6.67 Re(kpc)= 0.49 n= 0.77 fnuc= 0.000 g-r= 0.458 |
|
|
|
|
|
|
|
|
|
|
|
|
r_D_final |
| Qflags: fds_is_nuc= 0.0 main |
|
|
|
|
|
|
|
|
|
|
|
| FDS11_0279
GAL# 67 FDS DWARF CAT r_mag= 13.63 re(")= 9.99 class=e(s)* | Decomp (sersic+nuc): M*= 9.19 Re(kpc)= 0.97 n= 2.42 fnuc= 0.000 g-r= 0.804 |
|
|
|
|
|
|
|
|
|
|
|
|
r_barD_final |
| Qflags: fds_is_nuc= 0.0 FCC182 MCG-06-09-008 main |
|
|
|
|
|
|
|
|
|
|
|
| FDS11_0283
GAL# 68 FDS DWARF CAT r_mag= 14.58 re(")= 16.03 class=e* | Decomp (sersic+nuc): M*= 8.77 Re(kpc)= 1.58 n= 1.33 fnuc= 0.003 g-r= 0.698 |
|
|
|
|
|
|
|
|
|
|
|
|
r_ND_final |
| Qflags: star background skyplane fds_is_nuc= 1.0 FCC222 main |
|
|
|
|
|
|
|
|
|
|
|
| FDS11_0289
GAL# 69 FDS DWARF CAT r_mag= 16.61 re(")= 14.36 class=e* | Decomp (sersic+nuc): M*= 7.85 Re(kpc)= 1.40 n= 1.10 fnuc= 0.005 g-r= 0.662 |
|
|
|
|
|
|
|
|
|
|
|
|
r_ND_final |
| Qflags: background fds_is_nuc= 1.0 FCC160 main |
|
|
|
|
|
|
|
|
|
|
|
| FDS11_0294
GAL# 70 FDS DWARF CAT r_mag= 17.18 re(")= 19.26 class=e* | Decomp (sersic+nuc): M*= 7.69 Re(kpc)= 2.33 n= 1.45 fnuc= 0.036 g-r= 0.685 |
|
|
|
|
|
|
|
|
|
|
|
|
r_ND_final |
| Qflags: fds_is_nuc= 1.0 FCC171 main |
|
|
|
|
|
|
|
|
|
|
|
| FDS11_0296
GAL# 71 FDS DWARF CAT r_mag= 18.84 re(")= 5.50 class=e* | Decomp (sersic+nuc): M*= 6.82 Re(kpc)= 0.51 n= 0.61 fnuc= 0.013 g-r= 0.626 |
|
|
|
|
|
|
|
|
|
|
|
|
r_ND_final |
| Qflags: fds_is_nuc= 1.0 FCC191 main |
|
|
|
|
|
|
|
|
|
|
|
| FDS11_0299
GAL# 72 FDS DWARF CAT r_mag= 19.68 re(")= 7.10 class=e | Decomp (sersic+nuc): M*= 6.50 Re(kpc)= 0.77 n= 1.08 fnuc= 0.004 g-r= 0.570 |
|
|
|
|
|
|
|
|
|
|
|
|
r_D_final |
| Qflags: background fds_is_nuc= 0.0 main |
|
|
|
|
|
|
|
|
|
|
|
| FDS11_0306
GAL# 73 FDS DWARF CAT r_mag= 18.32 re(")= 11.38 class=e* | Decomp (sersic+nuc): M*= 7.06 Re(kpc)= 1.09 n= 0.86 fnuc= 0.039 g-r= 0.618 |
|
|
|
|
|
|
|
|
|
|
|
|
r_ND_final |
| Qflags: fds_is_nuc= 1.0 main |
|
|
|
|
|
|
|
|
|
|
|
| FDS11_0311
GAL# 74 FDS DWARF CAT r_mag= 18.15 re(")= 10.81 class=e | Decomp (sersic+nuc): M*= 7.14 Re(kpc)= 1.02 n= 0.83 fnuc= 0.000 g-r= 0.557 |
|
|
|
|
|
|
|
|
|
|
|
|
r_D_final |
| Qflags: fds_is_nuc= 0.0 FCC228 main |
|
|
|
|
|
|
|
|
|
|
|
| FDS11_0327
GAL# 75 FDS DWARF CAT r_mag= 16.06 re(")= 14.21 class=e* | Decomp (sersic+nuc): M*= 8.11 Re(kpc)= 1.42 n= 1.07 fnuc= 0.012 g-r= 0.576 |
|
|
|
|
|
|
|
|
|
|
|
|
r_ND_final |
| Qflags: fds_is_nuc= 1.0 FCC241 main |
|
|
|
|
|
|
|
|
|
|
|
| FDS11_0330
GAL# 76 FDS DWARF CAT r_mag= 18.51 re(")= 6.72 class=e | Decomp (sersic+nuc): M*= 6.95 Re(kpc)= 0.63 n= 0.93 fnuc= 0.000 g-r= 0.599 |
|
|
|
|
|
|
|
|
|
|
|
|
r_D_final |
| Qflags: fds_is_nuc= 0.0 FCC197 main |
|
|
|
|
|
|
|
|
|
|
|
| FDS11_0339
GAL# 77 FDS DWARF CAT r_mag= 15.40 re(")= 7.14 class=e* | Decomp (sersic+nuc): M*= 8.33 Re(kpc)= 0.60 n= 1.31 fnuc= 0.007 g-r= 0.647 |
|
|
|
|
|
|
|
|
|
|
|
|
r_NDD_final |
| Qflags: star background fds_is_nuc= 1.0 FCC211 main |
|
|
|
|
|
|
|
|
|
|
|
| FDS11_0365
GAL# 78 FDS DWARF CAT r_mag= 18.12 re(")= 8.06 class=e* | Decomp (sersic+nuc): M*= 7.17 Re(kpc)= 0.79 n= 0.91 fnuc= 0.005 g-r= 0.654 |
|
|
|
|
|
|
|
|
|
|
|
|
r_ND_final |
| Qflags: fds_is_nuc= 1.0 FCC168 main |
|
|
|
|
|
|
|
|
|
|
|
| FDS11_0396
GAL# 79 FDS DWARF CAT r_mag= 14.96 re(")= 10.10 class=e | Decomp (sersic+nuc): M*= 8.53 Re(kpc)= 0.91 n= 1.44 fnuc= 0.003 g-r= 0.669 |
|
|
|
|
|
|
|
|
|
|
|
|
r_ND_final |
| Qflags: star background skyplane fds_is_nuc= 1.0 FCC207 main |
|
|
|
|
|
|
|
|
|
|
|
| FDS11_0403
GAL# 80 FDS DWARF CAT r_mag= 19.44 re(")= 8.79 class=l | Decomp (sersic+nuc): M*= 6.37 Re(kpc)= 0.82 n= 0.65 fnuc= 0.002 g-r= 0.386 |
|
|
|
|
|
|
|
|
|
|
|
|
r_D_final |
| Qflags: star background snr uncertain fds_is_nuc= 0.0 main |
|
|
|
|
|
|
|
|
|
|
|
| FDS11_0411b
GAL# 81 FDS DWARF CAT r_mag= 20.09 re(")= 2.89 class=l | Decomp (sersic+nuc): M*= 6.17 Re(kpc)= 0.21 n= 1.42 fnuc= 0.000 g-r= 0.490 |
|
|
|
|
|
|
|
|
|
|
|
|
r_D_final |
| Qflags: star obscured fds_is_nuc= 0.0 main |
|
|
|
|
|
|
|
|
|
|
|
| FDS11_0423
GAL# 82 FDS DWARF CAT r_mag= 20.50 re(")= 3.91 class=e | Decomp (sersic+nuc): M*= 6.27 Re(kpc)= 0.33 n= 0.67 fnuc= 0.000 g-r= 0.549 |
|
|
|
|
|
|
|
|
|
|
|
|
r_D_final |
| Qflags: star background fds_is_nuc= 0.0 main |
|
|
|
|
|
|
|
|
|
|
|
| FDS11_0458
GAL# 83 FDS DWARF CAT r_mag= 15.08 re(")= 13.52 class=e* | Decomp (sersic+nuc): M*= 8.57 Re(kpc)= 1.37 n= 1.40 fnuc= 0.003 g-r= 0.624 |
|
|
|
|
|
|
|
|
|
|
|
|
r_ND_final |
| Qflags: star background skyplane fds_is_nuc= 1.0 FCC245 main |
|
|
|
|
|
|
|
|
|
|
|
| FDS11_0461
GAL# 84 FDS DWARF CAT r_mag= 19.98 re(")= 2.83 class=e | Decomp (sersic+nuc): M*= 6.24 Re(kpc)= 0.26 n= 0.67 fnuc= 0.041 g-r= 0.431 |
|
|
|
|
|
|
|
|
|
|
|
|
r_D_final |
| Qflags: fds_is_nuc= 0.0 main |
|
|
|
|
|
|
|
|
|
|
|
| FDS11_0475
GAL# 85 FDS DWARF CAT r_mag= 17.17 re(")= 22.42 class=e | Decomp (sersic+nuc): M*= 7.62 Re(kpc)= 2.13 n= 0.52 fnuc= 0.000 g-r= 0.588 |
|
|
|
|
|
|
|
|
|
|
|
|
r_D_final |
| Qflags: fds_is_nuc= 0.0 FCC226 main |
|
|
|
|
|
|
|
|
|
|
|
| FDS11_0488
GAL# 86 FDS DWARF CAT r_mag= 19.61 re(")= 9.95 class=e | Decomp (sersic+nuc): M*= 6.61 Re(kpc)= 1.05 n= 1.45 fnuc= 0.000 g-r= 0.672 |
|
|
|
|
|
|
|
|
|
|
|
|
r_D_final |
| Qflags: star background fds_is_nuc= 0.0 main |
|
|
|
|
|
|
|
|
|
|
|
| FDS11_0519
GAL# 87 FDS DWARF CAT r_mag= 12.76 re(")= 41.74 class=l | Decomp (sersic+nuc): M*= 9.08 Re(kpc)= 4.31 n= 0.70 fnuc= 0.000 g-r= 0.343 |
|
|
|
|
|
|
|
|
|
|
|
|
r_barD_final |
| Qflags: offcen fds_is_nuc= 0.0 main |
|
|
|
|
|
|
|
|
|
|
|
| FDS11_0554
GAL# 88 FDS DWARF CAT r_mag= 18.32 re(")= 9.08 class=e | Decomp (sersic+nuc): M*= 7.24 Re(kpc)= 0.92 n= 0.87 fnuc= 0.000 g-r= 0.562 |
|
|
|
|
|
|
|
|
|
|
|
|
r_D_final |
| Qflags: star background fds_is_nuc= 0.0 FCC251 main |
|
|
|
|
|
|
|
|
|
|
|
| FDS12_0015
GAL# 89 FDS DWARF CAT r_mag= 21.21 re(")= 2.76 class=e | Decomp (sersic+nuc): M*= 6.35 Re(kpc)= 0.23 n= 1.51 fnuc= 0.000 g-r= 0.663 |
|
|
|
|
|
|
|
|
|
|
|
|
r_D_final |
| Qflags: fds_is_nuc= 0.0 main |
|
|
|
|
|
|
|
|
|
|
|
| FDS12_0052
GAL# 90 FDS DWARF CAT r_mag= 18.53 re(")= 4.60 class=l | Decomp (sersic+nuc): M*= 6.80 Re(kpc)= 0.45 n= 0.78 fnuc= 0.004 g-r= 0.376 |
|
|
|
|
|
|
|
|
|
|
|
|
r_D_final |
| Qflags: fds_is_nuc= 0.0 main |
|
|
|
|
|
|
|
|
|
|
|
| FDS12_0080
GAL# 91 FDS DWARF CAT r_mag= 18.36 re(")= 9.02 class=e | Decomp (sersic+nuc): M*= 7.00 Re(kpc)= 0.90 n= 0.83 fnuc= 0.000 g-r= 0.503 |
|
|
|
|
|
|
|
|
|
|
|
|
r_D_final |
| Qflags: fds_is_nuc= 0.0 FCC199 main |
|
|
|
|
|
|
|
|
|
|
|
| FDS12_0098
GAL# 92 FDS DWARF CAT r_mag= 19.19 re(")= 5.24 class=e | Decomp (sersic+nuc): M*= 6.67 Re(kpc)= 0.50 n= 0.92 fnuc= 0.014 g-r= 0.605 |
|
|
|
|
|
|
|
|
|
|
|
|
r_ND_final |
| Qflags: star background fds_is_nuc= 1.0 FCC217 main |
|
|
|
|
|
|
|
|
|
|
|
| FDS12_0135
GAL# 93 FDS DWARF CAT r_mag= 21.39 re(")= 2.82 class=l | Decomp (sersic+nuc): M*= 5.70 Re(kpc)= 0.26 n= 0.55 fnuc= 0.000 g-r= 0.334 |
|
|
|
|
|
|
|
|
|
|
|
|
r_D_final |
| Qflags: star fds_is_nuc= 0.0 main |
|
|
|
|
|
|
|
|
|
|
|
| FDS12_0148
GAL# 94 FDS DWARF CAT r_mag= 21.13 re(")= 5.52 class=e | Decomp (sersic+nuc): M*= 5.29 Re(kpc)= 0.51 n= 0.67 fnuc= 0.007 g-r= 0.705 |
|
|
|
|
|
|
|
|
|
|
|
|
r_D_final |
| Qflags: fds_is_nuc= 0.0 main |
|
|
|
|
|
|
|
|
|
|
|
| FDS12_0154
GAL# 95 FDS DWARF CAT r_mag= 20.06 re(")= 6.45 class=e | Decomp (sersic+nuc): M*= 6.52 Re(kpc)= 0.63 n= 0.76 fnuc= 0.000 g-r= 0.609 |
|
|
|
|
|
|
|
|
|
|
|
|
r_D_final |
| Qflags: star snr uncertain fds_is_nuc= 0.0 main |
|
|
|
|
|
|
|
|
|
|
|
| FDS12_0172
GAL# 96 FDS DWARF CAT r_mag= 18.01 re(")= 10.86 class=e* | Decomp (sersic+nuc): M*= 7.19 Re(kpc)= 1.06 n= 0.88 fnuc= 0.026 g-r= 0.551 |
|
|
|
|
|
|
|
|
|
|
|
|
r_ND_final |
| Qflags: star fds_is_nuc= 1.0 FCCB1403 main |
|
|
|
|
|
|
|
|
|
|
|
| FDS12_0176
GAL# 97 FDS DWARF CAT r_mag= 18.62 re(")= 7.62 class=e | Decomp (sersic+nuc): M*= 6.90 Re(kpc)= 0.72 n= 0.68 fnuc= 0.000 g-r= 0.618 |
|
|
|
|
|
|
|
|
|
|
|
|
r_D_final |
| Qflags: star background skyplane fds_is_nuc= 0.0 FCC216 main |
|
|
|
|
|
|
|
|
|
|
|
| FDS12_0178
GAL# 98 FDS DWARF CAT r_mag= 17.97 re(")= 10.55 class=e* | Decomp (sersic+nuc): M*= 7.14 Re(kpc)= 1.07 n= 0.96 fnuc= 0.031 g-r= 0.593 |
|
|
|
|
|
|
|
|
|
|
|
|
r_ND_final |
| Qflags: fds_is_nuc= 1.0 FCC238 main |
|
|
|
|
|
|
|
|
|
|
|
| FDS12_0183
GAL# 99 FDS DWARF CAT r_mag= 19.26 re(")= 7.77 class=e | Decomp (sersic+nuc): M*= 7.07 Re(kpc)= 0.71 n= 0.78 fnuc= 0.001 g-r= 0.627 |
|
|
|
|
|
|
|
|
|
|
|
|
r_D_final |
| Qflags: fds_is_nuc= 0.0 FCC225 main |
|
|
|
|
|
|
|
|
|
|
|