| FDS12_0190
GAL# 100 FDS DWARF CAT r_mag= 18.99 re(")= 5.03 class=e | Decomp (sersic+nuc): M*= 6.80 Re(kpc)= 0.44 n= 0.81 fnuc= 0.000 g-r= 0.542 |
|
|
|
|
|
|
|
|
|
|
|
|
r_D_final |
| Qflags: fds_is_nuc= 0.0 FCCB1168 main |
|
|
|
|
|
|
|
|
|
|
|
| FDS12_0194
GAL# 101 FDS DWARF CAT r_mag= 15.41 re(")= 15.24 class=e* | Decomp (sersic+nuc): M*= 8.33 Re(kpc)= 1.35 n= 1.49 fnuc= 0.005 g-r= 0.643 |
|
|
|
|
|
|
|
|
|
|
|
|
r_ND_final |
| Qflags: star background skyplane fds_is_nuc= 1.0 FCC243 main |
|
|
|
|
|
|
|
|
|
|
|
| FDS12_0197
GAL# 102 FDS DWARF CAT r_mag= 16.42 re(")= 15.40 class=e | Decomp (sersic+nuc): M*= 7.91 Re(kpc)= 1.44 n= 1.16 fnuc= 0.006 g-r= 0.597 |
|
|
|
|
|
|
|
|
|
|
|
|
r_ND_final |
| Qflags: fds_is_nuc= 1.0 FCC183 main |
|
|
|
|
|
|
|
|
|
|
|
| FDS12_0236
GAL# 103 FDS DWARF CAT r_mag= 18.96 re(")= 9.20 class=e* | Decomp (sersic+nuc): M*= 6.60 Re(kpc)= 0.94 n= 0.66 fnuc= 0.110 g-r= 0.474 |
|
|
|
|
|
|
|
|
|
|
|
|
r_ND_final |
| Qflags: fds_is_nuc= 1.0 main |
|
|
|
|
|
|
|
|
|
|
|
| FDS12_0241
GAL# 104 FDS DWARF CAT r_mag= 16.86 re(")= 20.02 class=e | Decomp (sersic+nuc): M*= 7.66 Re(kpc)= 2.03 n= 0.78 fnuc= 0.000 g-r= 0.562 |
|
|
|
|
|
|
|
|
|
|
|
|
r_D_final |
| Qflags: fds_is_nuc= 0.0 FCC212 main |
|
|
|
|
|
|
|
|
|
|
|
| FDS12_0286
GAL# 105 FDS DWARF CAT r_mag= 18.96 re(")= 6.16 class=e | Decomp (sersic+nuc): M*= 6.80 Re(kpc)= 0.63 n= 1.03 fnuc= 0.000 g-r= 0.545 |
|
|
|
|
|
|
|
|
|
|
|
|
r_D_final |
| Qflags: star obscured fds_is_nuc= 0.0 main |
|
|
|
|
|
|
|
|
|
|
|
| FDS12_0287
GAL# 106 FDS DWARF CAT r_mag= 20.75 re(")= 5.10 class=e | Decomp (sersic+nuc): M*= 6.30 Re(kpc)= 0.46 n= 0.59 fnuc= 0.002 g-r= 0.418 |
|
|
|
|
|
|
|
|
|
|
|
|
r_D_final |
| Qflags: snr fds_is_nuc= 0.0 main |
|
|
|
|
|
|
|
|
|
|
|
| FDS12_0296
GAL# 107 FDS DWARF CAT r_mag= 19.52 re(")= 8.68 class=e* | Decomp (sersic+nuc): M*= 6.59 Re(kpc)= 0.85 n= 0.79 fnuc= 0.020 g-r= 0.546 |
|
|
|
|
|
|
|
|
|
|
|
|
r_ND_final |
| Qflags: fds_is_nuc= 1.0 main |
|
|
|
|
|
|
|
|
|
|
|
| FDS12_0314
GAL# 108 FDS DWARF CAT r_mag= 20.24 re(")= 6.99 class=e | Decomp (sersic+nuc): M*= 6.22 Re(kpc)= 0.67 n= 0.60 fnuc= 0.004 g-r= 0.492 |
|
|
|
|
|
|
|
|
|
|
|
|
r_D_final |
| Qflags: snr fds_is_nuc= 0.0 main |
|
|
|
|
|
|
|
|
|
|
|
| FDS12_0327
GAL# 109 FDS DWARF CAT r_mag= 20.25 re(")= 5.54 class=e | Decomp (sersic+nuc): M*= 5.81 Re(kpc)= 0.54 n= 0.70 fnuc= 0.000 g-r= 0.406 |
|
|
|
|
|
|
|
|
|
|
|
|
r_D_final |
| Qflags: star background uncertain fds_is_nuc= 0.0 main |
|
|
|
|
|
|
|
|
|
|
|
| FDS12_0339
GAL# 110 FDS DWARF CAT r_mag= 18.58 re(")= 13.91 class=e | Decomp (sersic+nuc): M*= 6.91 Re(kpc)= 1.24 n= 0.82 fnuc= 0.004 g-r= 0.449 |
|
|
|
|
|
|
|
|
|
|
|
|
r_D_final |
| Qflags: star fds_is_nuc= 0.0 FCC233 main |
|
|
|
|
|
|
|
|
|
|
|
| FDS12_0349
GAL# 111 FDS DWARF CAT r_mag= 17.08 re(")= 16.84 class=e | Decomp (sersic+nuc): M*= 7.71 Re(kpc)= 1.55 n= 1.15 fnuc= 0.000 g-r= 0.626 |
|
|
|
|
|
|
|
|
|
|
|
|
r_D_final |
| Qflags: star background skyplane fds_is_nuc= 0.0 FCC180 main |
|
|
|
|
|
|
|
|
|
|
|
| FDS12_0366
GAL# 112 FDS DWARF CAT r_mag= 17.81 re(")= 18.09 class=e | Decomp (sersic+nuc): M*= 6.83 Re(kpc)= 1.67 n= 0.82 fnuc= 0.006 g-r= 0.752 |
|
|
|
|
|
|
|
|
|
|
|
|
r_ND_final |
| Qflags: fds_is_nuc= 1.0 main |
|
|
|
|
|
|
|
|
|
|
|
| FDS12_0367
GAL# 113 FDS DWARF CAT r_mag= 15.58 re(")= 10.31 class=e(s) | Decomp (sersic+nuc): M*= 8.39 Re(kpc)= 1.03 n= 1.46 fnuc= 0.001 g-r= 0.646 |
|
|
|
|
|
|
|
|
|
|
|
|
r_D_final |
| Qflags: star fds_is_nuc= 0.0 FCC164 main |
|
|
|
|
|
|
|
|
|
|
|
| FDS12_0383
GAL# 114 FDS DWARF CAT r_mag= 19.85 re(")= 10.80 class=e | Decomp (sersic+nuc): M*= 7.10 Re(kpc)= 1.05 n= 0.86 fnuc= 0.005 g-r= 0.521 |
|
|
|
|
|
|
|
|
|
|
|
|
r_D_final |
| Qflags: snr fds_is_nuc= 0.0 main |
|
|
|
|
|
|
|
|
|
|
|
| FDS12_0396
GAL# 115 FDS DWARF CAT r_mag= 21.05 re(")= 4.05 class=e | Decomp (sersic+nuc): M*= 6.17 Re(kpc)= 0.36 n= 0.72 fnuc= 0.000 g-r= 0.663 |
|
|
|
|
|
|
|
|
|
|
|
|
r_D_final |
| Qflags: fds_is_nuc= 0.0 main |
|
|
|
|
|
|
|
|
|
|
|
| FDS12_0399
GAL# 116 FDS DWARF CAT r_mag= 18.09 re(")= 10.12 class=e | Decomp (sersic+nuc): M*= 7.26 Re(kpc)= 1.00 n= 0.73 fnuc= 0.005 g-r= 0.766 |
|
|
|
|
|
|
|
|
|
|
|
|
r_ND_final |
| Qflags: star fds_is_nuc= 1.0 FCC246 main |
|
|
|
|
|
|
|
|
|
|
|
| FDS12_0406
GAL# 117 FDS DWARF CAT r_mag= 16.86 re(")= 7.88 class=e* | Decomp (sersic+nuc): M*= 7.70 Re(kpc)= 0.69 n= 0.94 fnuc= 0.023 g-r= 0.588 |
|
|
|
|
|
|
|
|
|
|
|
|
r_ND_final |
| Qflags: fds_is_nuc= 1.0 FCC221 main |
|
|
|
|
|
|
|
|
|
|
|
| FDS12_0429
GAL# 118 FDS DWARF CAT r_mag= 18.18 re(")= 7.76 class=e | Decomp (sersic+nuc): M*= 7.14 Re(kpc)= 0.73 n= 0.85 fnuc= 0.000 g-r= 0.604 |
|
|
|
|
|
|
|
|
|
|
|
|
r_D_final |
| Qflags: fds_is_nuc= 0.0 FCC210 main |
|
|
|
|
|
|
|
|
|
|
|
| FDS12_0433
GAL# 119 FDS DWARF CAT r_mag= 19.86 re(")= 6.99 class=e | Decomp (sersic+nuc): M*= 6.30 Re(kpc)= 0.59 n= 0.84 fnuc= 0.000 g-r= 0.578 |
|
|
|
|
|
|
|
|
|
|
|
|
r_D_final |
| Qflags: star fds_is_nuc= 0.0 main |
|
|
|
|
|
|
|
|
|
|
|
| FDS12_0436
GAL# 120 FDS DWARF CAT r_mag= 20.16 re(")= 7.01 class=e | Decomp (sersic+nuc): M*= 6.39 Re(kpc)= 0.63 n= 0.92 fnuc= 0.000 g-r= 0.619 |
|
|
|
|
|
|
|
|
|
|
|
|
r_D_final |
| Qflags: fds_is_nuc= 0.0 main |
|
|
|
|
|
|
|
|
|
|
|
| FDS12_0463
GAL# 121 FDS DWARF CAT r_mag= 19.81 re(")= 5.46 class=e | Decomp (sersic+nuc): M*= 6.23 Re(kpc)= 0.50 n= 0.91 fnuc= 0.000 g-r= 0.547 |
|
|
|
|
|
|
|
|
|
|
|
|
r_D_final |
| Qflags: fds_is_nuc= 0.0 main |
|
|
|
|
|
|
|
|
|
|
|
| FDS12_0491
GAL# 122 FDS DWARF CAT r_mag= 19.68 re(")= 9.25 class=e | Decomp (sersic+nuc): M*= 6.55 Re(kpc)= 0.91 n= 0.66 fnuc= 0.003 g-r= 0.535 |
|
|
|
|
|
|
|
|
|
|
|
|
r_D_final |
| Qflags: fds_is_nuc= 0.0 main |
|
|
|
|
|
|
|
|
|
|
|
| FDS12_0492
GAL# 123 FDS DWARF CAT r_mag= 19.88 re(")= 6.12 class=e | Decomp (sersic+nuc): M*= 6.33 Re(kpc)= 0.56 n= 0.79 fnuc= 0.012 g-r= 0.483 |
|
|
|
|
|
|
|
|
|
|
|
|
r_D_final |
| Qflags: fds_is_nuc= 0.0 main |
|
|
|
|
|
|
|
|
|
|
|
| FDS12_0586
GAL# 124 FDS DWARF CAT r_mag= 16.76 re(")= 21.07 class=e | Decomp (sersic+nuc): M*= 7.66 Re(kpc)= 2.05 n= 0.81 fnuc= 0.000 g-r= 0.575 |
|
|
|
|
|
|
|
|
|
|
|
|
r_D_final |
| Qflags: star fds_is_nuc= 0.0 FCC212 main |
|
|
|
|
|
|
|
|
|
|
|
| FDS12_0608
GAL# 125 FDS DWARF CAT r_mag= 20.99 re(")= 2.27 class=e | Decomp (sersic+nuc): M*= 5.84 Re(kpc)= 0.19 n= 0.74 fnuc= 0.034 g-r= 0.528 |
|
|
|
|
|
|
|
|
|
|
|
|
r_D_final |
| Qflags: fds_is_nuc= 0.0 main |
|
|
|
|
|
|
|
|
|
|
|
| FDS13_0004
GAL# 126 FDS DWARF CAT r_mag= 21.54 re(")= 2.80 class=l | Decomp (sersic+nuc): M*= 5.56 Re(kpc)= 0.27 n= 0.55 fnuc= 0.029 g-r= 0.217 |
|
|
|
|
|
|
|
|
|
|
|
|
r_D_final |
| Qflags: fds_is_nuc= 0.0 main |
|
|
|
|
|
|
|
|
|
|
|
| FDS13_0042
GAL# 127 FDS DWARF CAT r_mag= 15.59 re(")= 13.18 class=e | Decomp (sersic+nuc): M*= 8.34 Re(kpc)= 1.12 n= 1.16 fnuc= 0.000 g-r= 0.712 |
|
|
|
|
|
|
|
|
|
|
|
|
r_D_final |
| Qflags: fds_is_nuc= 0.0 FCC253 main |
|
|
|
|
|
|
|
|
|
|
|
| FDS13_0044
GAL# 128 FDS DWARF CAT r_mag= 17.66 re(")= 10.09 class=e | Decomp (sersic+nuc): M*= 7.50 Re(kpc)= 1.01 n= 1.06 fnuc= 0.000 g-r= 0.680 |
|
|
|
|
|
|
|
|
|
|
|
|
r_D_final |
| Qflags: star fds_is_nuc= 0.0 FCCB1204 main |
|
|
|
|
|
|
|
|
|
|
|
| FDS13_0054
GAL# 129 FDS DWARF CAT r_mag= 18.59 re(")= 5.69 class=e | Decomp (sersic+nuc): M*= 6.92 Re(kpc)= 0.57 n= 1.22 fnuc= 0.003 g-r= 0.481 |
|
|
|
|
|
|
|
|
|
|
|
|
r_D_final |
| Qflags: fds_is_nuc= 0.0 FCCB1441 main |
|
|
|
|
|
|
|
|
|
|
|
| FDS13_0058
GAL# 130 FDS DWARF CAT r_mag= 16.27 re(")= 8.30 class=l | Decomp (sersic+nuc): M*= 7.69 Re(kpc)= 0.78 n= 1.18 fnuc= 0.027 g-r= 0.325 |
|
|
|
|
|
|
|
|
|
|
|
|
r_D_final |
| Qflags: offcen fds_is_nuc= 2.0 FCCB1436 main |
|
|
|
|
|
|
|
|
|
|
|
| FDS13_0074
GAL# 131 FDS DWARF CAT r_mag= 18.07 re(")= 16.98 class=e | Decomp (sersic+nuc): M*= 7.32 Re(kpc)= 2.17 n= 1.40 fnuc= 0.000 g-r= 0.641 |
|
|
|
|
|
|
|
|
|
|
|
|
r_D_final |
| Qflags: star fds_is_nuc= 0.0 main |
|
|
|
|
|
|
|
|
|
|
|
| FDS13_0130
GAL# 132 FDS DWARF CAT r_mag= 19.69 re(")= 2.70 class=e | Decomp (sersic+nuc): M*= 6.43 Re(kpc)= 0.24 n= 1.03 fnuc= 0.023 g-r= 0.440 |
|
|
|
|
|
|
|
|
|
|
|
|
r_D_final |
| Qflags: fds_is_nuc= 0.0 main |
|
|
|
|
|
|
|
|
|
|
|
| FDS13_0162
GAL# 133 FDS DWARF DUPLICATE | |
| FDS13_0165
GAL# 134 FDS DWARF CAT r_mag= 17.06 re(")= 15.21 class=e | Decomp (sersic+nuc): M*= 7.63 Re(kpc)= 1.42 n= 0.81 fnuc= 0.000 g-r= 0.667 |
|
|
|
|
|
|
|
|
|
|
|
|
r_D_final |
| Qflags: fds_is_nuc= 0.0 FCC242 main |
|
|
|
|
|
|
|
|
|
|
|
| FDS13_0176
GAL# 135 FDS DWARF CAT r_mag= 20.35 re(")= 4.24 class=e | Decomp (sersic+nuc): M*= 6.28 Re(kpc)= 0.42 n= 0.75 fnuc= 0.000 g-r= 0.641 |
|
|
|
|
|
|
|
|
|
|
|
|
r_D_final |
| Qflags: fds_is_nuc= 0.0 main |
|
|
|
|
|
|
|
|
|
|
|
| FDS13_0224
GAL# 136 FDS DWARF CAT r_mag= 19.35 re(")= 7.07 class=e* | Decomp (sersic+nuc): M*= 6.69 Re(kpc)= 0.71 n= 0.65 fnuc= 0.032 g-r= 0.576 |
|
|
|
|
|
|
|
|
|
|
|
|
r_ND_final |
| Qflags: fds_is_nuc= 1.0 main |
|
|
|
|
|
|
|
|
|
|
|
| FDS13_0230
GAL# 137 FDS DWARF CAT r_mag= 17.91 re(")= 8.74 class=e | Decomp (sersic+nuc): M*= 7.40 Re(kpc)= 0.83 n= 0.93 fnuc= 0.000 g-r= 0.685 |
|
|
|
|
|
|
|
|
|
|
|
|
r_D_final |
| Qflags: fds_is_nuc= 0.0 FCC239 main |
|
|
|
|
|
|
|
|
|
|
|
| FDS13_0258
GAL# 138 FDS DWARF CAT r_mag= 16.36 re(")= 10.03 class=e | Decomp (sersic+nuc): M*= 7.99 Re(kpc)= 0.95 n= 0.94 fnuc= 0.000 g-r= 0.710 |
|
|
|
|
|
|
|
|
|
|
|
|
r_D_final |
| Qflags: fds_is_nuc= 0.0 250 main |
|
|
|
|
|
|
|
|
|
|
|
| FDS13_0284
GAL# 139 FDS DWARF CAT r_mag= 19.29 re(")= 6.59 class=e | Decomp (sersic+nuc): M*= 6.73 Re(kpc)= 0.64 n= 0.86 fnuc= 0.001 g-r= 0.602 |
|
|
|
|
|
|
|
|
|
|
|
|
r_D_final |
| Qflags: fds_is_nuc= 0.0 FCC172 main |
|
|
|
|
|
|
|
|
|
|
|
| FDS13_0299
GAL# 140 FDS DWARF CAT r_mag= 15.14 re(")= 19.37 class=e(s) | Decomp (sersic+nuc): M*= 8.48 Re(kpc)= 1.89 n= 0.96 fnuc= 0.001 g-r= 0.608 |
|
|
|
|
|
|
|
|
|
|
|
|
r_D_final |
| Qflags: star background skyplane fds_is_nuc= 0.0 206 main |
|
|
|
|
|
|
|
|
|
|
|
| FDS13_0302
GAL# 141 FDS DWARF CAT r_mag= 16.03 re(")= 15.12 class=e | Decomp (sersic+nuc): M*= 8.09 Re(kpc)= 1.38 n= 0.92 fnuc= 0.000 g-r= 0.656 |
|
|
|
|
|
|
|
|
|
|
|
|
r_D_final |
| Qflags: star fds_is_nuc= 0.0 FCC201 main |
|
|
|
|
|
|
|
|
|
|
|
| FDS13_0318
GAL# 142 FDS DWARF CAT r_mag= 19.16 re(")= 4.20 class=l | Decomp (sersic+nuc): M*= 6.97 Re(kpc)= 0.34 n= 0.53 fnuc= 0.044 g-r= 0.449 |
|
|
|
|
|
|
|
|
|
|
|
|
r_D_final |
| Qflags: offcen fds_is_nuc= 0.0 main |
|
|
|
|
|
|
|
|
|
|
|
| FDS13_0357
GAL# 143 FDS DWARF CAT r_mag= 17.02 re(")= 14.46 class=e | Decomp (sersic+nuc): M*= 7.66 Re(kpc)= 1.19 n= 1.09 fnuc= 0.000 g-r= 0.631 |
|
|
|
|
|
|
|
|
|
|
|
|
r_D_final |
| Qflags: fds_is_nuc= 0.0 FCC198 main |
|
|
|
|
|
|
|
|
|
|
|
| FDS13_0378
GAL# 144 FDS DWARF CAT r_mag= 17.35 re(")= 10.29 class=e* | Decomp (sersic+nuc): M*= 7.58 Re(kpc)= 0.98 n= 0.84 fnuc= 0.014 g-r= 0.655 |
|
|
|
|
|
|
|
|
|
|
|
|
r_ND_final |
| Qflags: fds_is_nuc= 1.0 FCC166 main |
|
|
|
|
|
|
|
|
|
|
|
| FDS13_0398
GAL# 145 FDS DWARF CAT r_mag= 18.89 re(")= 3.91 class=e | Decomp (sersic+nuc): M*= 6.73 Re(kpc)= 0.35 n= 0.88 fnuc= 0.000 g-r= 0.497 |
|
|
|
|
|
|
|
|
|
|
|
|
r_D_final |
| Qflags: offcen fds_is_nuc= 0.0 main |
|
|
|
|
|
|
|
|
|
|
|
| FDS13_0462
GAL# 146 FDS DWARF CAT r_mag= 20.80 re(")= 2.28 class=e | Decomp (sersic+nuc): M*= 6.08 Re(kpc)= 0.20 n= 0.99 fnuc= 0.023 g-r= 0.630 |
|
|
|
|
|
|
|
|
|
|
|
|
r_D_final |
| Qflags: fds_is_nuc= 0.0 main |
|
|
|
|
|
|
|
|
|
|
|
| FDS13_0496
GAL# 147 FDS DWARF DUPLICATE | |
| FDS14_0011
GAL# 148 FDS DWARF CAT r_mag= 18.78 re(")= 5.01 class=e | Decomp (sersic+nuc): M*= 6.70 Re(kpc)= 0.47 n= 0.67 fnuc= 0.000 g-r= 0.384 |
|
|
|
|
|
|
|
|
|
|
|
|
r_D_final |
| Qflags: fds_is_nuc= 0.0 main |
|
|
|
|
|
|
|
|
|
|
|
| FDS14_0067
GAL# 149 FDS DWARF CAT r_mag= 18.58 re(")= 4.39 class=e | Decomp (sersic+nuc): M*= 6.93 Re(kpc)= 0.41 n= 1.05 fnuc= 0.000 g-r= 0.494 |
|
|
|
|
|
|
|
|
|
|
|
|
r_D_final |
| Qflags: offcen fds_is_nuc= 0.0 FCCB704 main |
|
|
|
|
|
|
|
|
|
|
|
| FDS14_0073
GAL# 150 FDS DWARF CAT r_mag= 16.04 re(")= 14.10 class=e* | Decomp (sersic+nuc): M*= 8.09 Re(kpc)= 1.38 n= 1.27 fnuc= 0.003 g-r= 0.678 |
|
|
|
|
|
|
|
|
|
|
|
|
r_ND_final |
| Qflags: fds_is_nuc= 1.0 FCC111 main |
|
|
|
|
|
|
|
|
|
|
|
| FDS14_0140
GAL# 151 FDS DWARF CAT r_mag= 19.87 re(")= 2.71 class=e | Decomp (sersic+nuc): M*= 6.46 Re(kpc)= 0.24 n= 0.69 fnuc= 0.020 g-r= 0.495 |
|
|
|
|
|
|
|
|
|
|
|
|
r_D_final |
| Qflags: star background fds_is_nuc= 0.0 main |
|
|
|
|
|
|
|
|
|
|
|
| FDS14_0144
GAL# 152 FDS DWARF CAT r_mag= 14.15 re(")= 14.26 class=e(s) | Decomp (sersic+nuc): M*= 8.91 Re(kpc)= 1.34 n= 1.44 fnuc= 0.003 g-r= 0.705 |
|
|
|
|
|
|
|
|
|
|
|
|
r_ND_final |
| Qflags: fds_is_nuc= 1.0 FCC119 main |
|
|
|
|
|
|
|
|
|
|
|
| FDS14_0206
GAL# 153 FDS DWARF CAT r_mag= 17.70 re(")= 6.14 class=e | Decomp (sersic+nuc): M*= 7.21 Re(kpc)= 0.52 n= 0.93 fnuc= 0.000 g-r= 0.488 |
|
|
|
|
|
|
|
|
|
|
|
|
r_D_final |
| Qflags: fds_is_nuc= 0.0 FCCB934 main |
|
|
|
|
|
|
|
|
|
|
|
| FDS14_0227
GAL# 154 FDS DWARF CAT r_mag= 19.55 re(")= 4.91 class=e | Decomp (sersic+nuc): M*= 6.58 Re(kpc)= 0.43 n= 0.96 fnuc= 0.000 g-r= 0.593 |
|
|
|
|
|
|
|
|
|
|
|
|
r_D_final |
| Qflags: offcen fds_is_nuc= 0.0 main |
|
|
|
|
|
|
|
|
|
|
|
| FDS14_0245
GAL# 155 FDS DWARF CAT r_mag= 17.51 re(")= 7.76 class=l | Decomp (sersic+nuc): M*= 7.14 Re(kpc)= 0.68 n= 0.73 fnuc= 0.001 g-r= 0.394 |
|
|
|
|
|
|
|
|
|
|
|
|
r_D_final |
| Qflags: fds_is_nuc= 0.0 main |
|
|
|
|
|
|
|
|
|
|
|
| FDS14_0257
GAL# 156 FDS DWARF CAT r_mag= 20.16 re(")= 6.36 class=e | Decomp (sersic+nuc): M*= 6.25 Re(kpc)= 0.58 n= 0.74 fnuc= 0.000 g-r= 0.567 |
|
|
|
|
|
|
|
|
|
|
|
|
r_D_final |
| Qflags: star fds_is_nuc= 0.0 main |
|
|
|
|
|
|
|
|
|
|
|
| FDS14_0271
GAL# 157 FDS DWARF CAT r_mag= 17.63 re(")= 9.51 class=e* | Decomp (sersic+nuc): M*= 7.45 Re(kpc)= 0.89 n= 0.99 fnuc= 0.008 g-r= 0.651 |
|
|
|
|
|
|
|
|
|
|
|
|
r_ND_final |
| Qflags: star fds_is_nuc= 1.0 FCC89 main |
|
|
|
|
|
|
|
|
|
|
|
| FDS14_0339
GAL# 158 FDS DWARF CAT r_mag= 18.74 re(")= 12.55 class=e | Decomp (sersic+nuc): M*= 6.98 Re(kpc)= 1.24 n= 0.71 fnuc= 0.000 g-r= 0.625 |
|
|
|
|
|
|
|
|
|
|
|
|
r_D_final |
| Qflags: fds_is_nuc= 0.0 main |
|
|
|
|
|
|
|
|
|
|
|
| FDS14_0352
GAL# 159 FDS DWARF CAT r_mag= 18.31 re(")= 7.64 class=e | Decomp (sersic+nuc): M*= 7.07 Re(kpc)= 0.74 n= 0.87 fnuc= 0.000 g-r= 0.545 |
|
|
|
|
|
|
|
|
|
|
|
|
r_D_final |
| Qflags: fds_is_nuc= 0.0 FCCB756 main |
|
|
|
|
|
|
|
|
|
|
|
| FDS15_0039
GAL# 160 FDS DWARF CAT r_mag= 19.30 re(")= 7.93 class=e | Decomp (sersic+nuc): M*= 6.77 Re(kpc)= 0.74 n= 0.67 fnuc= 0.000 g-r= 0.504 |
|
|
|
|
|
|
|
|
|
|
|
|
r_D_final |
| Qflags: fds_is_nuc= 0.0 main |
|
|
|
|
|
|
|
|
|
|
|
| FDS15_0085
GAL# 161 FDS DWARF CAT r_mag= 21.48 re(")= 4.11 class=l | Decomp (sersic+nuc): M*= 5.74 Re(kpc)= 0.37 n= 0.75 fnuc= 0.007 g-r= 0.289 |
|
|
|
|
|
|
|
|
|
|
|
|
r_D_final |
| Qflags: fds_is_nuc= 0.0 main |
|
|
|
|
|
|
|
|
|
|
|
| FDS15_0107
GAL# 162 FDS DWARF CAT r_mag= 14.48 re(")= 19.04 class=l | Decomp (sersic+nuc): M*= 8.48 Re(kpc)= 1.85 n= 1.23 fnuc= 0.001 g-r= 0.478 |
|
|
|
|
|
|
|
|
|
|
|
|
r_D_final |
| Qflags: offcen fds_is_nuc= 2.0 113 main |
|
|
|
|
|
|
|
|
|
|
|
| FDS15_0111
GAL# 163 FDS DWARF CAT r_mag= 17.62 re(")= 8.86 class=e | Decomp (sersic+nuc): M*= 7.50 Re(kpc)= 0.80 n= 0.75 fnuc= 0.000 g-r= 0.649 |
|
|
|
|
|
|
|
|
|
|
|
|
r_D_final |
| Qflags: star fds_is_nuc= 0.0 FCC155 main |
|
|
|
|
|
|
|
|
|
|
|
| FDS15_0113
GAL# 164 FDS DWARF CAT r_mag= 17.70 re(")= 13.70 class=e | Decomp (sersic+nuc): M*= 7.43 Re(kpc)= 1.30 n= 0.70 fnuc= 0.000 g-r= 0.619 |
|
|
|
|
|
|
|
|
|
|
|
|
r_D_final |
| Qflags: fds_is_nuc= 0.0 FCC159 main |
|
|
|
|
|
|
|
|
|
|
|
| FDS15_0132
GAL# 165 FDS DWARF CAT r_mag= 20.24 re(")= 4.76 class=e | Decomp (sersic+nuc): M*= 6.25 Re(kpc)= 0.43 n= 0.61 fnuc= 0.000 g-r= 0.545 |
|
|
|
|
|
|
|
|
|
|
|
|
r_D_final |
| Qflags: star background offcen fds_is_nuc= 0.0 main |
|
|
|
|
|
|
|
|
|
|
|
| FDS15_0148
GAL# 166 FDS DWARF CAT r_mag= 20.49 re(")= 2.84 class=l | Decomp (sersic+nuc): M*= 6.08 Re(kpc)= 0.25 n= 1.15 fnuc= 0.000 g-r= 0.284 |
|
|
|
|
|
|
|
|
|
|
|
|
r_D_final |
| Qflags: fds_is_nuc= 0.0 main |
|
|
|
|
|
|
|
|
|
|
|
| FDS15_0155
GAL# 167 FDS DWARF CAT r_mag= 20.26 re(")= 3.42 class=l | Decomp (sersic+nuc): M*= 6.03 Re(kpc)= 0.32 n= 1.36 fnuc= 0.000 g-r= 0.284 |
|
|
|
|
|
|
|
|
|
|
|
|
r_D_final |
| Qflags: offcen fds_is_nuc= 0.0 main |
|
|
|
|
|
|
|
|
|
|
|
| FDS15_0209
GAL# 168 FDS DWARF CAT r_mag= 16.39 re(")= 11.50 class=l | Decomp (sersic+nuc): M*= 7.80 Re(kpc)= 1.13 n= 1.33 fnuc= 0.006 g-r= 0.454 |
|
|
|
|
|
|
|
|
|
|
|
|
r_D_final |
| Qflags: offcen fds_is_nuc= 2.0 main |
|
|
|
|
|
|
|
|
|
|
|
| FDS15_0213a
GAL# 169 FDS DWARF CAT r_mag= 18.67 re(")= 6.96 class=e | Decomp (sersic+nuc): M*= 7.00 Re(kpc)= 0.57 n= 0.91 fnuc= 0.000 g-r= 0.563 |
|
|
|
|
|
|
|
|
|
|
|
|
r_D_final |
| Qflags: fds_is_nuc= 0.0 FCCB1047 main |
|
|
|
|
|
|
|
|
|
|
|
| FDS15_0223
GAL# 170 FDS DWARF CAT r_mag= 16.86 re(")= 7.84 class=e | Decomp (sersic+nuc): M*= 7.67 Re(kpc)= 0.68 n= 0.90 fnuc= 0.000 g-r= 0.498 |
|
|
|
|
|
|
|
|
|
|
|
|
r_D_final |
| Qflags: fds_is_nuc= 0.0 FCC134 main |
|
|
|
|
|
|
|
|
|
|
|
| FDS15_0232
GAL# 171 FDS DWARF CAT r_mag= 16.36 re(")= 5.43 class=e | Decomp (sersic+nuc): M*= 7.95 Re(kpc)= 0.54 n= 1.23 fnuc= 0.002 g-r= 0.565 |
|
|
|
|
|
|
|
|
|
|
|
|
r_D_final |
| Qflags: fds_is_nuc= 0.0 main |
|
|
|
|
|
|
|
|
|
|
|
| FDS15_0245
GAL# 172 FDS DWARF CAT r_mag= 16.75 re(")= 16.09 class=e | Decomp (sersic+nuc): M*= 7.84 Re(kpc)= 1.45 n= 1.35 fnuc= 0.002 g-r= 0.613 |
|
|
|
|
|
|
|
|
|
|
|
|
r_ND_final |
| Qflags: star fds_is_nuc= 1.0 main |
|
|
|
|
|
|
|
|
|
|
|
| FDS15_0292
GAL# 173 FDS DWARF CAT r_mag= 16.95 re(")= 9.74 class=e* | Decomp (sersic+nuc): M*= 7.67 Re(kpc)= 0.92 n= 0.82 fnuc= 0.010 g-r= 0.606 |
|
|
|
|
|
|
|
|
|
|
|
|
r_ND_final |
| Qflags: star fds_is_nuc= 1.0 FCC118 main |
|
|
|
|
|
|
|
|
|
|
|
| FDS15_0309a
GAL# 174 FDS DWARF CAT r_mag= 20.14 re(")= 5.88 class=e | Decomp (sersic+nuc): M*= 6.54 Re(kpc)= 0.53 n= 0.67 fnuc= 0.000 g-r= 0.628 |
|
|
|
|
|
|
|
|
|
|
|
|
r_D_final |
| Qflags: fds_is_nuc= 0.0 main |
|
|
|
|
|
|
|
|
|
|
|
| FDS15_0359
GAL# 175 FDS DWARF CAT r_mag= 16.26 re(")= 14.62 class=e | Decomp (sersic+nuc): M*= 7.90 Re(kpc)= 1.30 n= 0.79 fnuc= 0.000 g-r= 0.596 |
|
|
|
|
|
|
|
|
|
|
|
|
r_D_final |
| Qflags: fds_is_nuc= 0.0 FCC99 main |
|
|
|
|
|
|
|
|
|
|
|
| FDS15_0365
GAL# 176 FDS DWARF CAT r_mag= 19.94 re(")= 6.84 class=e | Decomp (sersic+nuc): M*= 6.53 Re(kpc)= 0.60 n= 0.64 fnuc= 0.000 g-r= 0.537 |
|
|
|
|
|
|
|
|
|
|
|
|
r_D_final |
| Qflags: snr fds_is_nuc= 0.0 main |
|
|
|
|
|
|
|
|
|
|
|
| FDS15_0369
GAL# 177 FDS DWARF CAT r_mag= 19.20 re(")= 6.05 class=e | Decomp (sersic+nuc): M*= 6.67 Re(kpc)= 0.55 n= 0.83 fnuc= 0.000 g-r= 0.539 |
|
|
|
|
|
|
|
|
|
|
|
|
r_D_final |
| Qflags: fds_is_nuc= 0.0 FCC126 main |
|
|
|
|
|
|
|
|
|
|
|
| FDS15_0384
GAL# 178 FDS DWARF CAT r_mag= 14.58 re(")= 17.89 class=e(s) | Decomp (sersic+nuc): M*= 8.74 Re(kpc)= 1.52 n= 1.49 fnuc= 0.004 g-r= 0.633 |
|
|
|
|
|
|
|
|
|
|
|
|
r_ND_final |
| Qflags: fds_is_nuc= 1.0 135 main |
|
|
|
|
|
|
|
|
|
|
|
| FDS15_0417
GAL# 179 FDS DWARF CAT r_mag= 14.06 re(")= 11.82 class=e(s) | Decomp (sersic+nuc): M*= 8.92 Re(kpc)= 1.12 n= 2.14 fnuc= 0.002 g-r= 0.672 |
|
|
|
|
|
|
|
|
|
|
|
|
r_NbarDD_final |
| Qflags: fds_is_nuc= 1.0 FCC106 main |
|
|
|
|
|
|
|
|
|
|
|
| FDS15_0462
GAL# 180 FDS DWARF CAT r_mag= 17.44 re(")= 12.28 class=e | Decomp (sersic+nuc): M*= 7.49 Re(kpc)= 1.11 n= 0.88 fnuc= 0.005 g-r= 0.556 |
|
|
|
|
|
|
|
|
|
|
|
|
r_ND_final |
| Qflags: fds_is_nuc= 1.0 FCC124 main |
|
|
|
|
|
|
|
|
|
|
|
| FDS15_0673
GAL# 181 FDS DWARF CAT r_mag= 20.75 re(")= 4.03 class=e | Decomp (sersic+nuc): M*= 6.08 Re(kpc)= 0.41 n= 0.93 fnuc= 0.000 g-r= 0.556 |
|
|
|
|
|
|
|
|
|
|
|
|
r_D_final |
| Qflags: star fds_is_nuc= 0.0 main |
|
|
|
|
|
|
|
|
|
|
|
| FDS16_0002
GAL# 182 FDS DWARF CAT r_mag= 12.98 re(")= 8.57 class=e(s) | Decomp (sersic+nuc): M*= 9.45 Re(kpc)= 0.95 n= 3.91 fnuc= 0.002 g-r= 0.729 |
|
|
|
|
|
|
|
|
|
|
|
|
r_BbarD_final |
| Qflags: fds_is_nuc= 0.0 FCC143 NGC1373 main |
|
|
|
|
|
|
|
|
|
|
|
| FDS16_0003
GAL# 183 FDS DWARF CAT r_mag= 18.82 re(")= 7.05 class=e | Decomp (sersic+nuc): M*= 6.85 Re(kpc)= 0.66 n= 0.70 fnuc= 0.000 g-r= 0.624 |
|
|
|
|
|
|
|
|
|
|
|
|
r_D_final |
| Qflags: fds_is_nuc= 0.0 FCCB814 main |
|
|
|
|
|
|
|
|
|
|
|
| FDS16_0024
GAL# 184 FDS DWARF CAT r_mag= 15.42 re(")= 51.89 class=e | Decomp (sersic+nuc): M*= 8.28 Re(kpc)= 4.65 n= 0.98 fnuc= 0.002 g-r= 0.689 |
|
|
|
|
|
|
|
|
|
|
|
|
r_ND_final |
| Qflags: star obscured fds_is_nuc= 1.0 FCC123 main |
|
|
|
|
|
|
|
|
|
|
|
| FDS16_0027
GAL# 185 FDS DWARF CAT r_mag= 15.96 re(")= 16.66 class=e* | Decomp (sersic+nuc): M*= 8.13 Re(kpc)= 1.76 n= 1.42 fnuc= 0.005 g-r= 0.643 |
|
|
|
|
|
|
|
|
|
|
|
|
r_ND_final |
| Qflags: star fds_is_nuc= 1.0 FCC137 main |
|
|
|
|
|
|
|
|
|
|
|
| FDS16_0051
GAL# 186 FDS DWARF CAT r_mag= 18.12 re(")= 9.72 class=e | Decomp (sersic+nuc): M*= 7.13 Re(kpc)= 0.94 n= 0.75 fnuc= 0.000 g-r= 0.597 |
|
|
|
|
|
|
|
|
|
|
|
|
r_D_final |
| Qflags: fds_is_nuc= 0.0 FCC125 main |
|
|
|
|
|
|
|
|
|
|
|
| FDS16_0055
GAL# 187 FDS DWARF CAT r_mag= 19.06 re(")= 7.58 class=e | Decomp (sersic+nuc): M*= 6.77 Re(kpc)= 0.67 n= 1.04 fnuc= 0.000 g-r= 0.667 |
|
|
|
|
|
|
|
|
|
|
|
|
r_D_final |
| Qflags: fds_is_nuc= 0.0 FCC93 main |
|
|
|
|
|
|
|
|
|
|
|
| FDS16_0072
GAL# 188 FDS DWARF CAT r_mag= 18.73 re(")= 9.43 class=e | Decomp (sersic+nuc): M*= 6.83 Re(kpc)= 0.88 n= 0.89 fnuc= 0.000 g-r= 0.600 |
|
|
|
|
|
|
|
|
|
|
|
|
r_D_final |
| Qflags: fds_is_nuc= 0.0 FCC103 main |
|
|
|
|
|
|
|
|
|
|
|
| FDS16_0075
GAL# 189 FDS DWARF CAT r_mag= 16.17 re(")= 17.44 class=e | Decomp (sersic+nuc): M*= 8.03 Re(kpc)= 1.75 n= 1.07 fnuc= 0.000 g-r= 0.707 |
|
|
|
|
|
|
|
|
|
|
|
|
r_D_final |
| Qflags: fds_is_nuc= 0.0 110 main |
|
|
|
|
|
|
|
|
|
|
|
| FDS16_0081
GAL# 190 FDS DWARF CAT r_mag= 16.08 re(")= 18.80 class=l | Decomp (sersic+nuc): M*= 7.66 Re(kpc)= 1.87 n= 0.83 fnuc= 0.002 g-r= 0.398 |
|
|
|
|
|
|
|
|
|
|
|
|
r_D_final |
| Qflags: star fds_is_nuc= 2.0 115 main |
|
|
|
|
|
|
|
|
|
|
|
| FDS16_0102
GAL# 191 FDS DWARF CAT r_mag= 20.03 re(")= 4.79 class=e | Decomp (sersic+nuc): M*= 6.29 Re(kpc)= 0.39 n= 1.05 fnuc= 0.000 g-r= 0.682 |
|
|
|
|
|
|
|
|
|
|
|
|
r_D_final |
| Qflags: fds_is_nuc= 0.0 main |
|
|
|
|
|
|
|
|
|
|
|
| FDS16_0108
GAL# 192 FDS DWARF CAT r_mag= 20.67 re(")= 2.84 class=e | Decomp (sersic+nuc): M*= 5.69 Re(kpc)= 0.24 n= 0.88 fnuc= 0.000 g-r= 0.316 |
|
|
|
|
|
|
|
|
|
|
|
|
r_D_final |
| Qflags: offcen fds_is_nuc= 0.0 main |
|
|
|
|
|
|
|
|
|
|
|
| FDS16_0109
GAL# 193 FDS DWARF CAT r_mag= 16.37 re(")= 15.34 class=e* | Decomp (sersic+nuc): M*= 7.94 Re(kpc)= 1.74 n= 1.26 fnuc= 0.050 g-r= 0.733 |
|
|
|
|
|
|
|
|
|
|
|
|
r_ND_final |
| Qflags: star background uncertain skyplane fds_is_nuc= 1.0 FCC101 main |
|
|
|
|
|
|
|
|
|
|
|
| FDS16_0127
GAL# 194 FDS DWARF CAT r_mag= 19.89 re(")= 8.13 class=e* | Decomp (sersic+nuc): M*= 6.54 Re(kpc)= 0.90 n= 0.97 fnuc= 0.032 g-r= 0.689 |
|
|
|
|
|
|
|
|
|
|
|
|
r_ND_final |
| Qflags: star fds_is_nuc= 1.0 main |
|
|
|
|
|
|
|
|
|
|
|
| FDS16_0138
GAL# 195 FDS DWARF CAT r_mag= 17.51 re(")= 7.73 class=e | Decomp (sersic+nuc): M*= 7.45 Re(kpc)= 0.66 n= 1.21 fnuc= 0.000 g-r= 0.687 |
|
|
|
|
|
|
|
|
|
|
|
|
r_D_final |
| Qflags: star obscured fds_is_nuc= 0.0 main |
|
|
|
|
|
|
|
|
|
|
|
| FDS16_0141
GAL# 196 FDS DWARF CAT r_mag= 20.30 re(")= 3.55 class=l | Decomp (sersic+nuc): M*= 6.00 Re(kpc)= 0.32 n= 1.36 fnuc= 0.011 g-r= 0.372 |
|
|
|
|
|
|
|
|
|
|
|
|
r_D_final |
| Qflags: star background offcen fds_is_nuc= 0.0 main |
|
|
|
|
|
|
|
|
|
|
|
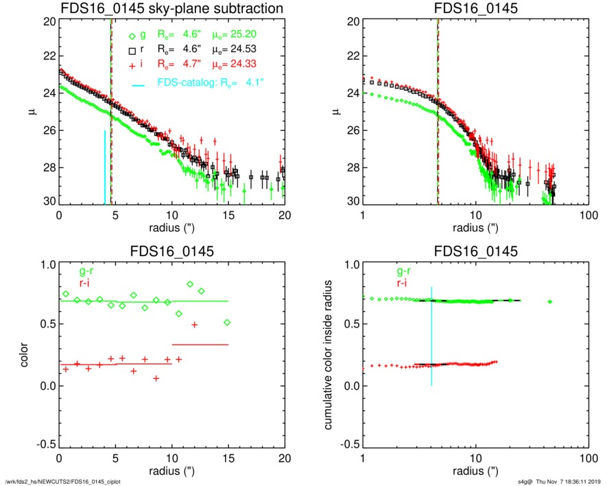
| FDS16_0145
GAL# 197 FDS DWARF CAT r_mag= 18.79 re(")= 4.58 class=e | Decomp (sersic+nuc): M*= 6.93 Re(kpc)= 0.43 n= 0.87 fnuc= 0.016 g-r= 0.687 |
|
|
|
|
|
|
|
|
|
|
|
|
r_ND_final |
| Qflags: star background fds_is_nuc= 1.0 main |
|
|
|
|
|
|
|
|
|
|
|
| FDS16_0152
GAL# 198 FDS DWARF CAT r_mag= 18.99 re(")= 6.88 class=e | Decomp (sersic+nuc): M*= 6.73 Re(kpc)= 0.59 n= 1.14 fnuc= 0.000 g-r= 0.712 |
|
|
|
|
|
|
|
|
|
|
|
|
r_D_final |
| Qflags: fds_is_nuc= 0.0 main |
|
|
|
|
|
|
|
|
|
|
|
| FDS16_0159
GAL# 199 FDS DWARF CAT r_mag= 13.73 re(")= 17.94 class=e | Decomp (sersic+nuc): M*= 9.12 Re(kpc)= 1.86 n= 2.04 fnuc= 0.004 g-r= 0.781 |
|
|
|
|
|
|
|
|
|
|
|
|
r_ND_final |
| Qflags: star fds_is_nuc= 1.0 FCC136 MCG-06-08-027 main |
|
|
|
|
|
|
|
|
|
|
|