| FDS20_0138
GAL# 300 FDS DWARF CAT r_mag= 15.39 re(")= 13.89 class=e | Decomp (sersic+nuc): M*= 8.40 Re(kpc)= 1.41 n= 1.44 fnuc= 0.010 g-r= 0.650 |
|
|
|
|
|
|
|
|
|
|
|
|
r_ND_final |
| Qflags: fds_is_nuc= 1.0 FCC85 main |
|
|
|
|
|
|
|
|
|
|
|
| FDS20_0142
GAL# 301 FDS DWARF CAT r_mag= 19.83 re(")= 5.70 class=e | Decomp (sersic+nuc): M*= 6.48 Re(kpc)= 0.54 n= 0.70 fnuc= 0.000 g-r= 0.498 |
|
|
|
|
|
|
|
|
|
|
|
|
r_D_final |
| Qflags: star background fds_is_nuc= 0.0 main |
|
|
|
|
|
|
|
|
|
|
|
| FDS20_0144
GAL# 302 FDS DWARF CAT r_mag= 16.04 re(")= 20.68 class=e | Decomp (sersic+nuc): M*= 8.07 Re(kpc)= 2.01 n= 0.83 fnuc= 0.006 g-r= 0.553 |
|
|
|
|
|
|
|
|
|
|
|
|
r_ND_final |
| Qflags: star background fds_is_nuc= 1.0 FCC50 main |
|
|
|
|
|
|
|
|
|
|
|
| FDS20_0146
GAL# 303 FDS DWARF CAT r_mag= 21.11 re(")= 1.81 class=e | Decomp (sersic+nuc): M*= 6.16 Re(kpc)= 0.17 n= 1.45 fnuc= 0.000 g-r= 0.600 |
|
|
|
|
|
|
|
|
|
|
|
|
r_D_final |
| Qflags: star background fds_is_nuc= 0.0 main |
|
|
|
|
|
|
|
|
|
|
|
| FDS20_0193
GAL# 304 FDS DWARF CAT r_mag= 19.50 re(")= 8.83 class=e | Decomp (sersic+nuc): M*= 6.50 Re(kpc)= 0.83 n= 0.75 fnuc= 0.000 g-r= 0.468 |
|
|
|
|
|
|
|
|
|
|
|
|
r_D_final |
| Qflags: fds_is_nuc= 0.0 FCC75 main |
|
|
|
|
|
|
|
|
|
|
|
| FDS20_0198
GAL# 305 FDS DWARF CAT r_mag= 21.15 re(")= 2.64 class=e | Decomp (sersic+nuc): M*= 6.03 Re(kpc)= 0.22 n= 0.96 fnuc= 0.000 g-r= 0.555 |
|
|
|
|
|
|
|
|
|
|
|
|
r_D_final |
| Qflags: star fds_is_nuc= 0.0 main |
|
|
|
|
|
|
|
|
|
|
|
| FDS20_0205
GAL# 306 FDS DWARF CAT r_mag= 18.45 re(")= 10.57 class=e | Decomp (sersic+nuc): M*= 7.00 Re(kpc)= 1.00 n= 0.69 fnuc= 0.000 g-r= 0.504 |
|
|
|
|
|
|
|
|
|
|
|
|
r_D_final |
| Qflags: star fds_is_nuc= 0.0 FCC78 main |
|
|
|
|
|
|
|
|
|
|
|
| FDS20_0212
GAL# 307 FDS DWARF CAT r_mag= 16.57 re(")= 15.65 class=e | Decomp (sersic+nuc): M*= 7.81 Re(kpc)= 1.39 n= 1.11 fnuc= 0.000 g-r= 0.640 |
|
|
|
|
|
|
|
|
|
|
|
|
r_D_final |
| Qflags: star obscured fds_is_nuc= 0.0 FCC86 main |
|
|
|
|
|
|
|
|
|
|
|
| FDS20_0238
GAL# 308 FDS DWARF CAT r_mag= 19.99 re(")= 2.63 class=l | Decomp (sersic+nuc): M*= 6.17 Re(kpc)= 0.24 n= 0.61 fnuc= 0.033 g-r= 0.246 |
|
|
|
|
|
|
|
|
|
|
|
|
r_D_final |
| Qflags: star background fds_is_nuc= 0.0 main |
|
|
|
|
|
|
|
|
|
|
|
| FDS20_0253
GAL# 309 FDS DWARF CAT r_mag= 16.70 re(")= 11.92 class=e | Decomp (sersic+nuc): M*= 7.72 Re(kpc)= 0.91 n= 1.08 fnuc= 0.000 g-r= 0.532 |
|
|
|
|
|
|
|
|
|
|
|
|
r_D_final |
| Qflags: star fds_is_nuc= 0.0 FCC65 main |
|
|
|
|
|
|
|
|
|
|
|
| FDS20_0254
GAL# 310 FDS DWARF CAT r_mag= 19.58 re(")= 6.89 class=e* | Decomp (sersic+nuc): M*= 6.59 Re(kpc)= 0.68 n= 0.78 fnuc= 0.043 g-r= 0.648 |
|
|
|
|
|
|
|
|
|
|
|
|
r_ND_final |
| Qflags: fds_is_nuc= 1.0 main |
|
|
|
|
|
|
|
|
|
|
|
| FDS20_0264
GAL# 311 FDS DWARF CAT r_mag= 19.89 re(")= 4.80 class=e | Decomp (sersic+nuc): M*= 6.54 Re(kpc)= 0.43 n= 0.64 fnuc= 0.002 g-r= 0.622 |
|
|
|
|
|
|
|
|
|
|
|
|
r_D_final |
| Qflags: fds_is_nuc= 0.0 main |
|
|
|
|
|
|
|
|
|
|
|
| FDS20_0296
GAL# 312 FDS DWARF CAT r_mag= 19.24 re(")= 2.76 class=e | Decomp (sersic+nuc): M*= 6.79 Re(kpc)= 0.25 n= 0.68 fnuc= 0.006 g-r= 0.532 |
|
|
|
|
|
|
|
|
|
|
|
|
r_D_final |
| Qflags: star background fds_is_nuc= 0.0 main |
|
|
|
|
|
|
|
|
|
|
|
| FDS20_0320
GAL# 313 FDS DWARF CAT r_mag= 20.60 re(")= 6.01 class=e | Decomp (sersic+nuc): M*= 6.02 Re(kpc)= 0.53 n= 0.66 fnuc= 0.000 g-r= 0.507 |
|
|
|
|
|
|
|
|
|
|
|
|
r_D_final |
| Qflags: fds_is_nuc= 0.0 main |
|
|
|
|
|
|
|
|
|
|
|
| FDS20_0333
GAL# 314 FDS DWARF CAT r_mag= 19.92 re(")= 5.79 class=e | Decomp (sersic+nuc): M*= 6.51 Re(kpc)= 0.52 n= 0.83 fnuc= 0.000 g-r= 0.570 |
|
|
|
|
|
|
|
|
|
|
|
|
r_D_final |
| Qflags: fds_is_nuc= 0.0 main |
|
|
|
|
|
|
|
|
|
|
|
| FDS20_0334
GAL# 315 FDS DWARF CAT r_mag= 13.67 re(")= 14.06 class=e(s) | Decomp (sersic+nuc): M*= 9.34 Re(kpc)= 1.50 n= 4.42 fnuc= 0.000 g-r= 0.845 |
|
|
|
|
|
|
|
|
|
|
|
|
r_BD_final |
| Qflags: fds_is_nuc= 0.0 MCG-06-08-017 main |
|
|
|
|
|
|
|
|
|
|
|
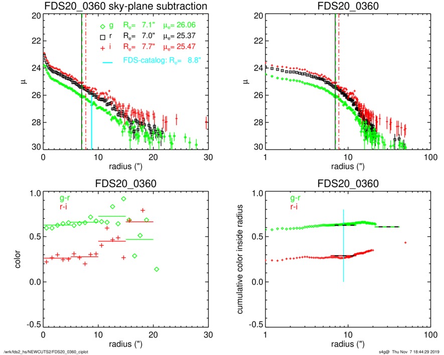
| FDS20_0360
GAL# 316 FDS DWARF CAT r_mag= 18.61 re(")= 6.97 class=e | Decomp (sersic+nuc): M*= 7.07 Re(kpc)= 0.71 n= 0.90 fnuc= 0.018 g-r= 0.645 |
|
|
|
|
|
|
|
|
|
|
|
|
r_ND_final |
| Qflags: fds_is_nuc= 1.0 FCC84 main |
|
|
|
|
|
|
|
|
|
|
|
| FDS20_0384
GAL# 317 FDS DWARF CAT r_mag= 21.21 re(")= 2.52 class=e | Decomp (sersic+nuc): M*= 6.03 Re(kpc)= 0.22 n= 0.97 fnuc= 0.000 g-r= 0.454 |
|
|
|
|
|
|
|
|
|
|
|
|
r_D_final |
| Qflags: obscured fds_is_nuc= 0.0 main |
|
|
|
|
|
|
|
|
|
|
|
| FDS20_0472
GAL# 318 FDS DWARF CAT r_mag= 21.96 re(")= 2.15 class=e | Decomp (sersic+nuc): M*= 5.95 Re(kpc)= 0.25 n= 1.02 fnuc= 0.199 g-r= 0.444 |
|
|
|
|
|
|
|
|
|
|
|
|
r_D_final |
| Qflags: star obscured background uncertain fds_is_nuc= 0.0 main |
|
|
|
|
|
|
|
|
|
|
|
| FDS20_0498
GAL# 319 FDS DWARF CAT r_mag= 20.88 re(")= 5.36 class=e | Decomp (sersic+nuc): M*= 6.13 Re(kpc)= 0.51 n= 0.75 fnuc= 0.000 g-r= 0.595 |
|
|
|
|
|
|
|
|
|
|
|
|
r_D_final |
| Qflags: star background fds_is_nuc= 0.0 main |
|
|
|
|
|
|
|
|
|
|
|
| FDS20_0502
GAL# 320 FDS DWARF CAT r_mag= 21.26 re(")= 1.96 class=l | Decomp (sersic+nuc): M*= 5.91 Re(kpc)= 0.17 n= 1.13 fnuc= 0.000 g-r= 0.248 |
|
|
|
|
|
|
|
|
|
|
|
|
r_D_final |
| Qflags: star fds_is_nuc= 0.0 main |
|
|
|
|
|
|
|
|
|
|
|
| FDS20_0522
GAL# 321 FDS DWARF CAT r_mag= 21.03 re(")= 1.82 class=e | Decomp (sersic+nuc): M*= 6.22 Re(kpc)= 0.16 n= 0.98 fnuc= 0.000 g-r= 0.598 |
|
|
|
|
|
|
|
|
|
|
|
|
r_D_final |
| Qflags: star background fds_is_nuc= 0.0 main |
|
|
|
|
|
|
|
|
|
|
|
| FDS21_0006
GAL# 322 FDS DWARF CAT r_mag= 20.20 re(")= 3.19 class=e | Decomp (sersic+nuc): M*= 6.48 Re(kpc)= 0.27 n= 0.85 fnuc= 0.036 g-r= 0.510 |
|
|
|
|
|
|
|
|
|
|
|
|
r_D_final |
| Qflags: fds_is_nuc= 0.0 main |
|
|
|
|
|
|
|
|
|
|
|
| FDS21_0009
GAL# 323 FDS DWARF CAT r_mag= 19.75 re(")= 2.39 class=e | Decomp (sersic+nuc): M*= 6.66 Re(kpc)= 0.23 n= 0.71 fnuc= 0.032 g-r= 0.563 |
|
|
|
|
|
|
|
|
|
|
|
|
r_D_final |
| Qflags: fds_is_nuc= 0.0 main |
|
|
|
|
|
|
|
|
|
|
|
| FDS21_0055a
GAL# 324 FDS DWARF CAT r_mag= 17.79 re(")= 10.66 class=e | Decomp (sersic+nuc): M*= 7.35 Re(kpc)= 0.93 n= 0.83 fnuc= 0.000 g-r= 0.503 |
|
|
|
|
|
|
|
|
|
|
|
|
r_D_final |
| Qflags: star fds_is_nuc= 0.0 FCC51 main |
|
|
|
|
|
|
|
|
|
|
|
| FDS21_0084
GAL# 325 FDS DWARF CAT r_mag= 18.99 re(")= 2.61 class=l | Decomp (sersic+nuc): M*= 6.69 Re(kpc)= 0.23 n= 0.85 fnuc= 0.000 g-r= 0.336 |
|
|
|
|
|
|
|
|
|
|
|
|
r_D_final |
| Qflags: fds_is_nuc= 0.0 main |
|
|
|
|
|
|
|
|
|
|
|
| FDS21_0105
GAL# 326 FDS DWARF CAT r_mag= 19.00 re(")= 6.29 class=e | Decomp (sersic+nuc): M*= 6.92 Re(kpc)= 0.55 n= 0.79 fnuc= 0.000 g-r= 0.570 |
|
|
|
|
|
|
|
|
|
|
|
|
r_D_final |
| Qflags: fds_is_nuc= 0.0 FCC73 main |
|
|
|
|
|
|
|
|
|
|
|
| FDS21_0129
GAL# 327 FDS DWARF CAT r_mag= 17.23 re(")= 5.15 class=e | Decomp (sersic+nuc): M*= 7.62 Re(kpc)= 0.43 n= 1.12 fnuc= 0.000 g-r= 0.603 |
|
|
|
|
|
|
|
|
|
|
|
|
r_D_final |
| Qflags: fds_is_nuc= 0.0 main |
|
|
|
|
|
|
|
|
|
|
|
| FDS21_0170
GAL# 328 FDS DWARF CAT r_mag= 20.26 re(")= 3.98 class=e | Decomp (sersic+nuc): M*= 6.33 Re(kpc)= 0.40 n= 0.74 fnuc= 0.016 g-r= 0.429 |
|
|
|
|
|
|
|
|
|
|
|
|
r_D_final |
| Qflags: star fds_is_nuc= 0.0 main |
|
|
|
|
|
|
|
|
|
|
|
| FDS21_0192
GAL# 329 FDS DWARF CAT r_mag= 19.49 re(")= 7.60 class=e | Decomp (sersic+nuc): M*= 6.74 Re(kpc)= 0.68 n= 0.64 fnuc= 0.000 g-r= 0.484 |
|
|
|
|
|
|
|
|
|
|
|
|
r_D_final |
| Qflags: fds_is_nuc= 0.0 main |
|
|
|
|
|
|
|
|
|
|
|
| FDS21_0198
GAL# 330 FDS DWARF CAT r_mag= 19.67 re(")= 4.49 class=l | Decomp (sersic+nuc): M*= 6.26 Re(kpc)= 0.43 n= 0.72 fnuc= 0.026 g-r= 0.198 |
|
|
|
|
|
|
|
|
|
|
|
|
r_ND_final |
| Qflags: star fds_is_nuc= 1.0 main |
|
|
|
|
|
|
|
|
|
|
|
| FDS21_0202
GAL# 331 FDS DWARF CAT r_mag= 18.43 re(")= 13.83 class=e | Decomp (sersic+nuc): M*= 7.13 Re(kpc)= 1.11 n= 0.74 fnuc= 0.001 g-r= 0.657 |
|
|
|
|
|
|
|
|
|
|
|
|
r_D_final |
| Qflags: star background snr uncertain skyplane fds_is_nuc= 0.0 FCC69 main |
|
|
|
|
|
|
|
|
|
|
|
| FDS21_0212
GAL# 332 FDS DWARF CAT r_mag= 18.72 re(")= 6.71 class=e | Decomp (sersic+nuc): M*= 7.03 Re(kpc)= 0.61 n= 0.68 fnuc= 0.023 g-r= 0.549 |
|
|
|
|
|
|
|
|
|
|
|
|
r_ND_final |
| Qflags: fds_is_nuc= 1.0 FCCB612 main |
|
|
|
|
|
|
|
|
|
|
|
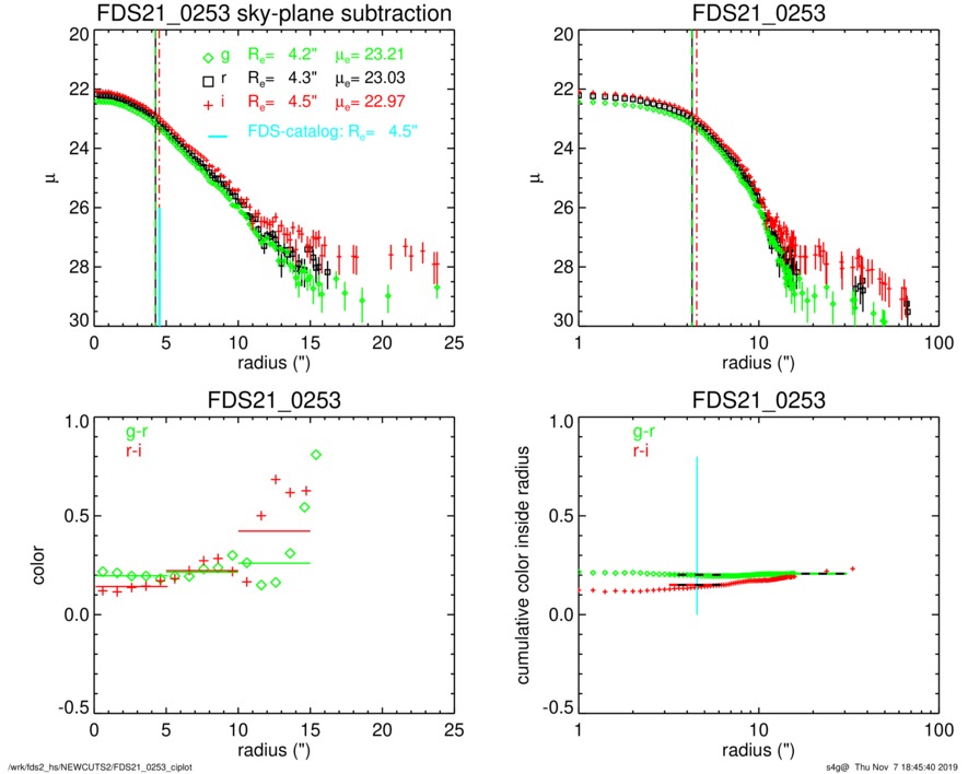
| FDS21_0253
GAL# 333 FDS DWARF CAT r_mag= 17.64 re(")= 4.26 class=l | Decomp (sersic+nuc): M*= 6.98 Re(kpc)= 0.43 n= 0.57 fnuc= 0.000 g-r= 0.185 |
|
|
|
|
|
|
|
|
|
|
|
|
r_D_final |
| Qflags: fds_is_nuc= 0.0 FCCB507 main |
|
|
|
|
|
|
|
|
|
|
|
| FDS21_0255
GAL# 334 FDS DWARF CAT r_mag= 19.96 re(")= 6.81 class=e | Decomp (sersic+nuc): M*= 6.53 Re(kpc)= 0.63 n= 0.65 fnuc= 0.001 g-r= 0.545 |
|
|
|
|
|
|
|
|
|
|
|
|
r_D_final |
| Qflags: fds_is_nuc= 0.0 main |
|
|
|
|
|
|
|
|
|
|
|
| FDS21_0306
GAL# 335 FDS DWARF CAT r_mag= 17.52 re(")= 14.64 class=e* | Decomp (sersic+nuc): M*= 7.53 Re(kpc)= 1.56 n= 0.91 fnuc= 0.050 g-r= 0.573 |
|
|
|
|
|
|
|
|
|
|
|
|
r_ND_final |
| Qflags: star fds_is_nuc= 1.0 FCC77 main |
|
|
|
|
|
|
|
|
|
|
|
| FDS21_0328
GAL# 336 FDS DWARF CAT r_mag= 20.01 re(")= 8.50 class=e | Decomp (sersic+nuc): M*= 6.53 Re(kpc)= 0.86 n= 0.55 fnuc= 0.012 g-r= 0.523 |
|
|
|
|
|
|
|
|
|
|
|
|
r_D_final |
| Qflags: snr fds_is_nuc= 0.0 main |
|
|
|
|
|
|
|
|
|
|
|
| FDS21_0333
GAL# 337 FDS DWARF CAT r_mag= 16.80 re(")= 11.87 class=e* | Decomp (sersic+nuc): M*= 7.78 Re(kpc)= 1.08 n= 0.89 fnuc= 0.011 g-r= 0.625 |
|
|
|
|
|
|
|
|
|
|
|
|
r_ND_final |
| Qflags: fds_is_nuc= 1.0 FCC56 main |
|
|
|
|
|
|
|
|
|
|
|
| FDS21_0334
GAL# 338 FDS DWARF CAT r_mag= 20.54 re(")= 2.91 class=l | Decomp (sersic+nuc): M*= 5.91 Re(kpc)= 0.26 n= 0.31 fnuc= 0.000 g-r= 0.302 |
|
|
|
|
|
|
|
|
|
|
|
|
r_D_final |
| Qflags: star offcen fds_is_nuc= 0.0 main |
|
|
|
|
|
|
|
|
|
|
|
| FDS21_0371
GAL# 339 FDS DWARF CAT r_mag= 19.90 re(")= 3.08 class=l | Decomp (sersic+nuc): M*= 6.25 Re(kpc)= 0.27 n= 0.93 fnuc= 0.000 g-r= 0.282 |
|
|
|
|
|
|
|
|
|
|
|
|
r_D_final |
| Qflags: fds_is_nuc= 0.0 main |
|
|
|
|
|
|
|
|
|
|
|
| FDS22_0084
GAL# 340 FDS DWARF CAT r_mag= 15.76 re(")= 9.61 class=l | Decomp (sersic+nuc): M*= 7.97 Re(kpc)= 1.05 n= 1.39 fnuc= 0.009 g-r= 0.364 |
|
|
|
|
|
|
|
|
|
|
|
|
r_BD_final |
| Qflags: fds_is_nuc= 0.0 main |
|
|
|
|
|
|
|
|
|
|
|
| FDS22_0099
GAL# 341 FDS DWARF CAT r_mag= 21.92 re(")= 2.18 class=e | Decomp (sersic+nuc): M*= 5.91 Re(kpc)= 0.15 n= 0.76 fnuc= 0.086 g-r= 0.509 |
|
|
|
|
|
|
|
|
|
|
|
|
r_D_final |
| Qflags: star fds_is_nuc= 0.0 main |
|
|
|
|
|
|
|
|
|
|
|
| FDS22_0104
GAL# 342 FDS DWARF CAT r_mag= 17.85 re(")= 9.43 class=e | Decomp (sersic+nuc): M*= 7.37 Re(kpc)= 0.90 n= 1.02 fnuc= 0.000 g-r= 0.615 |
|
|
|
|
|
|
|
|
|
|
|
|
r_D_final |
| Qflags: fds_is_nuc= 0.0 FCCB435 main |
|
|
|
|
|
|
|
|
|
|
|
| FDS22_0120
GAL# 343 FDS DWARF CAT r_mag= 17.43 re(")= 9.14 class=e | Decomp (sersic+nuc): M*= 7.50 Re(kpc)= 0.77 n= 0.91 fnuc= 0.000 g-r= 0.592 |
|
|
|
|
|
|
|
|
|
|
|
|
r_D_final |
| Qflags: fds_is_nuc= 0.0 FCC58 main |
|
|
|
|
|
|
|
|
|
|
|
| FDS22_0153
GAL# 344 FDS DWARF CAT r_mag= 20.16 re(")= 3.40 class=l | Decomp (sersic+nuc): M*= 6.26 Re(kpc)= 0.33 n= 0.92 fnuc= 0.000 g-r= 0.394 |
|
|
|
|
|
|
|
|
|
|
|
|
r_D_final |
| Qflags: fds_is_nuc= 0.0 main |
|
|
|
|
|
|
|
|
|
|
|
| FDS22_0162
GAL# 345 FDS DWARF CAT r_mag= 17.97 re(")= 10.95 class=l | Decomp (sersic+nuc): M*= 7.14 Re(kpc)= 0.97 n= 0.74 fnuc= 0.000 g-r= 0.426 |
|
|
|
|
|
|
|
|
|
|
|
|
r_D_final |
| Qflags: fds_is_nuc= 0.0 FCC60 main |
|
|
|
|
|
|
|
|
|
|
|
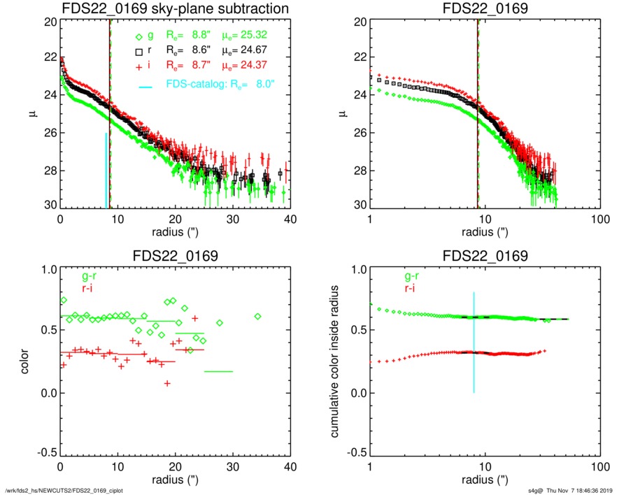
| FDS22_0169
GAL# 346 FDS DWARF CAT r_mag= 17.86 re(")= 8.55 class=e* | Decomp (sersic+nuc): M*= 7.38 Re(kpc)= 0.80 n= 0.83 fnuc= 0.019 g-r= 0.595 |
|
|
|
|
|
|
|
|
|
|
|
|
r_ND_final |
| Qflags: fds_is_nuc= 1.0 FCC70 main |
|
|
|
|
|
|
|
|
|
|
|
| FDS22_0173
GAL# 347 FDS DWARF CAT r_mag= 19.45 re(")= 5.36 class=e | Decomp (sersic+nuc): M*= 6.71 Re(kpc)= 0.50 n= 0.84 fnuc= 0.000 g-r= 0.545 |
|
|
|
|
|
|
|
|
|
|
|
|
r_D_final |
| Qflags: fds_is_nuc= 0.0 main |
|
|
|
|
|
|
|
|
|
|
|
| FDS22_0182
GAL# 348 FDS DWARF CAT r_mag= 19.99 re(")= 4.96 class=e | Decomp (sersic+nuc): M*= 6.47 Re(kpc)= 0.45 n= 0.68 fnuc= 0.000 g-r= 0.601 |
|
|
|
|
|
|
|
|
|
|
|
|
r_D_final |
| Qflags: fds_is_nuc= 0.0 main |
|
|
|
|
|
|
|
|
|
|
|
| FDS22_0189
GAL# 349 FDS DWARF CAT r_mag= 18.65 re(")= 11.00 class=e | Decomp (sersic+nuc): M*= 6.99 Re(kpc)= 1.01 n= 0.66 fnuc= 0.000 g-r= 0.574 |
|
|
|
|
|
|
|
|
|
|
|
|
r_D_final |
| Qflags: fds_is_nuc= 0.0 FCC49 main |
|
|
|
|
|
|
|
|
|
|
|
| FDS22_0207
GAL# 350 FDS DWARF CAT r_mag= 20.59 re(")= 3.23 class=l | Decomp (sersic+nuc): M*= 5.82 Re(kpc)= 0.30 n= 0.80 fnuc= 0.000 g-r= 0.303 |
|
|
|
|
|
|
|
|
|
|
|
|
r_D_final |
| Qflags: fds_is_nuc= 0.0 main |
|
|
|
|
|
|
|
|
|
|
|
| FDS22_0244
GAL# 351 FDS DWARF CAT r_mag= 15.04 re(")= 9.25 class=l | Decomp (sersic+nuc): M*= 8.34 Re(kpc)= 0.86 n= 1.15 fnuc= 0.031 g-r= 0.473 |
|
|
|
|
|
|
|
|
|
|
|
|
r_ND_final |
| Qflags: uncertain fds_is_nuc= 1.0 FCC46 main |
|
|
|
|
|
|
|
|
|
|
|
| FDS22_0256
GAL# 352 FDS DWARF CAT r_mag= 22.33 re(")= 2.01 class=e | Decomp (sersic+nuc): M*= 5.61 Re(kpc)= 0.17 n= 0.87 fnuc= 0.000 g-r= 0.356 |
|
|
|
|
|
|
|
|
|
|
|
|
r_D_final |
| Qflags: snr fds_is_nuc= 0.0 main |
|
|
|
|
|
|
|
|
|
|
|
| FDS22_0267
GAL# 353 FDS DWARF CAT r_mag= 19.83 re(")= 3.99 class=e | Decomp (sersic+nuc): M*= 6.52 Re(kpc)= 0.35 n= 0.78 fnuc= 0.000 g-r= 0.535 |
|
|
|
|
|
|
|
|
|
|
|
|
r_D_final |
| Qflags: fds_is_nuc= 0.0 main |
|
|
|
|
|
|
|
|
|
|
|
| FDS22_0295
GAL# 354 FDS DWARF CAT r_mag= 20.41 re(")= 3.58 class=e | Decomp (sersic+nuc): M*= 6.37 Re(kpc)= 0.36 n= 0.61 fnuc= 0.003 g-r= 0.633 |
|
|
|
|
|
|
|
|
|
|
|
|
r_D_final |
| Qflags: fds_is_nuc= 0.0 main |
|
|
|
|
|
|
|
|
|
|
|
| FDS25_0001
GAL# 355 FDS DWARF CAT r_mag= 12.62 re(")= 56.36 class=l | Decomp (sersic+nuc): M*= 9.19 Re(kpc)= 6.67 n= 0.90 fnuc= 0.000 g-r= 0.340 |
|
|
|
|
|
|
|
|
|
|
|
|
r_Z_final |
| Qflags: fds_is_nuc= 0.0 39 main |
|
|
|
|
|
|
|
|
|
|
|
| FDS25_0008
GAL# 356 FDS DWARF CAT r_mag= 14.82 re(")= 13.50 class=l | Decomp (sersic+nuc): M*= 8.06 Re(kpc)= 1.28 n= 0.89 fnuc= 0.000 g-r= 0.185 |
|
|
|
|
|
|
|
|
|
|
|
|
r_D_final |
| Qflags: fds_is_nuc= 0.0 FCC35 main |
|
|
|
|
|
|
|
|
|
|
|
| FDS25_0013
GAL# 357 FDS DWARF CAT r_mag= 20.08 re(")= 2.79 class=e | Decomp (sersic+nuc): M*= 6.49 Re(kpc)= 0.25 n= 1.11 fnuc= 0.000 g-r= 0.433 |
|
|
|
|
|
|
|
|
|
|
|
|
r_D_final |
| Qflags: fds_is_nuc= 0.0 main |
|
|
|
|
|
|
|
|
|
|
|
| FDS25_0015
GAL# 358 FDS DWARF CAT r_mag= 17.04 re(")= 8.70 class=l | Decomp (sersic+nuc): M*= 7.25 Re(kpc)= 0.97 n= 0.99 fnuc= 0.003 g-r= 0.170 |
|
|
|
|
|
|
|
|
|
|
|
|
r_D_final |
| Qflags: offcen fds_is_nuc= 0.0 FCCB138 main |
|
|
|
|
|
|
|
|
|
|
|
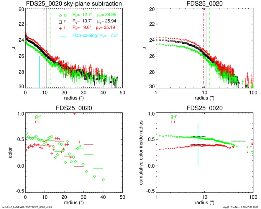
| FDS25_0020
GAL# 359 FDS DWARF CAT r_mag= 18.04 re(")= 10.69 class=e | Decomp (sersic+nuc): M*= 7.27 Re(kpc)= 0.87 n= 1.05 fnuc= 0.003 g-r= 0.511 |
|
|
|
|
|
|
|
|
|
|
|
|
r_ND_final |
| Qflags: fds_is_nuc= 1.0 main |
|
|
|
|
|
|
|
|
|
|
|
| FDS25_0043
GAL# 360 FDS DWARF CAT r_mag= 20.38 re(")= 5.57 class=e | Decomp (sersic+nuc): M*= 6.50 Re(kpc)= 0.59 n= 0.66 fnuc= 0.001 g-r= 0.483 |
|
|
|
|
|
|
|
|
|
|
|
|
r_D_final |
| Qflags: snr fds_is_nuc= 0.0 main |
|
|
|
|
|
|
|
|
|
|
|
| FDS25_0065
GAL# 361 FDS DWARF CAT r_mag= 20.47 re(")= 3.10 class=e | Decomp (sersic+nuc): M*= 6.32 Re(kpc)= 0.29 n= 0.88 fnuc= 0.000 g-r= 0.479 |
|
|
|
|
|
|
|
|
|
|
|
|
r_D_final |
| Qflags: star fds_is_nuc= 0.0 main |
|
|
|
|
|
|
|
|
|
|
|
| FDS25_0080
GAL# 362 FDS DWARF CAT r_mag= 17.09 re(")= 7.74 class=e | Decomp (sersic+nuc): M*= 7.75 Re(kpc)= 0.77 n= 1.05 fnuc= 0.000 g-r= 0.600 |
|
|
|
|
|
|
|
|
|
|
|
|
r_D_final |
| Qflags: fds_is_nuc= 0.0 FCC40 main |
|
|
|
|
|
|
|
|
|
|
|
| FDS25_0094
GAL# 363 FDS DWARF CAT r_mag= 19.67 re(")= 5.99 class=e | Decomp (sersic+nuc): M*= 6.64 Re(kpc)= 0.59 n= 0.81 fnuc= 0.000 g-r= 0.494 |
|
|
|
|
|
|
|
|
|
|
|
|
r_D_final |
| Qflags: star fds_is_nuc= 0.0 main |
|
|
|
|
|
|
|
|
|
|
|
| FDS25_0100
GAL# 364 FDS DWARF CAT r_mag= 20.65 re(")= 3.43 class=l | Decomp (sersic+nuc): M*= 5.92 Re(kpc)= 0.35 n= 0.56 fnuc= 0.004 g-r= 0.240 |
|
|
|
|
|
|
|
|
|
|
|
|
r_D_final |
| Qflags: fds_is_nuc= 0.0 main |
|
|
|
|
|
|
|
|
|
|
|
| FDS25_0117
GAL# 365 FDS DWARF CAT r_mag= 19.29 re(")= 6.08 class=e | Decomp (sersic+nuc): M*= 6.75 Re(kpc)= 0.61 n= 0.78 fnuc= 0.004 g-r= 0.544 |
|
|
|
|
|
|
|
|
|
|
|
|
r_D_final |
| Qflags: star background fds_is_nuc= 0.0 main |
|
|
|
|
|
|
|
|
|
|
|
| FDS25_0141
GAL# 366 FDS DWARF CAT r_mag= 19.51 re(")= 3.90 class=e | Decomp (sersic+nuc): M*= 6.76 Re(kpc)= 0.33 n= 0.80 fnuc= 0.001 g-r= 0.633 |
|
|
|
|
|
|
|
|
|
|
|
|
r_D_final |
| Qflags: fds_is_nuc= 0.0 main |
|
|
|
|
|
|
|
|
|
|
|
| FDS25_0146
GAL# 367 FDS DWARF CAT r_mag= 16.80 re(")= 9.26 class=e | Decomp (sersic+nuc): M*= 7.73 Re(kpc)= 0.89 n= 0.91 fnuc= 0.000 g-r= 0.524 |
|
|
|
|
|
|
|
|
|
|
|
|
r_D_final |
| Qflags: fds_is_nuc= 0.0 FCC38 main |
|
|
|
|
|
|
|
|
|
|
|
| FDS25_0181
GAL# 368 FDS DWARF CAT r_mag= 19.84 re(")= 8.84 class=e | Decomp (sersic+nuc): M*= 6.22 Re(kpc)= 0.88 n= 0.84 fnuc= 0.000 g-r= 0.415 |
|
|
|
|
|
|
|
|
|
|
|
|
r_D_final |
| Qflags: snr fds_is_nuc= 0.0 main |
|
|
|
|
|
|
|
|
|
|
|
| FDS25_0182
GAL# 369 FDS DWARF CAT r_mag= 20.31 re(")= 3.16 class=l | Decomp (sersic+nuc): M*= 6.17 Re(kpc)= 0.33 n= 0.42 fnuc= 0.016 g-r= 0.287 |
|
|
|
|
|
|
|
|
|
|
|
|
r_D_final |
| Qflags: star fds_is_nuc= 0.0 main |
|
|
|
|
|
|
|
|
|
|
|
| FDS25_0191
GAL# 370 FDS DWARF CAT r_mag= 20.26 re(")= 4.86 class=e | Decomp (sersic+nuc): M*= 6.34 Re(kpc)= 0.47 n= 0.99 fnuc= 0.000 g-r= 0.519 |
|
|
|
|
|
|
|
|
|
|
|
|
r_D_final |
| Qflags: fds_is_nuc= 0.0 main |
|
|
|
|
|
|
|
|
|
|
|
| FDS25_0232
GAL# 371 FDS DWARF CAT r_mag= 18.61 re(")= 14.56 class=e | Decomp (sersic+nuc): M*= 7.06 Re(kpc)= 1.32 n= 0.81 fnuc= 0.002 g-r= 0.714 |
|
|
|
|
|
|
|
|
|
|
|
|
r_D_final |
| Qflags: snr fds_is_nuc= 0.0 main |
|
|
|
|
|
|
|
|
|
|
|
| FDS25_0241
GAL# 372 FDS DWARF CAT r_mag= 13.36 re(")= 30.41 class=l | Decomp (sersic+nuc): M*= 9.04 Re(kpc)= 3.44 n= 1.12 fnuc= 0.000 g-r= 0.440 |
|
|
|
|
|
|
|
|
|
|
|
|
r_barD_final |
| Qflags: fds_is_nuc= 0.0 FCC37 main |
|
|
|
|
|
|
|
|
|
|
|
| FDS25_0296
GAL# 373 FDS DWARF CAT r_mag= 18.37 re(")= 13.08 class=e | Decomp (sersic+nuc): M*= 7.18 Re(kpc)= 1.16 n= 0.72 fnuc= 0.000 g-r= 0.492 |
|
|
|
|
|
|
|
|
|
|
|
|
r_D_final |
| Qflags: fds_is_nuc= 0.0 main |
|
|
|
|
|
|
|
|
|
|
|
| FDS25_0420
GAL# 374 FDS DWARF CAT r_mag= 20.12 re(")= 4.61 class=l | Decomp (sersic+nuc): M*= 6.25 Re(kpc)= 0.40 n= 1.04 fnuc= 0.011 g-r= 0.262 |
|
|
|
|
|
|
|
|
|
|
|
|
r_D_final |
| Qflags: fds_is_nuc= 0.0 main |
|
|
|
|
|
|
|
|
|
|
|
| FDS25_0496
GAL# 375 FDS DWARF CAT r_mag= 18.60 re(")= 14.58 class=e | Decomp (sersic+nuc): M*= 7.09 Re(kpc)= 1.32 n= 0.81 fnuc= 0.002 g-r= 0.718 |
|
|
|
|
|
|
|
|
|
|
|
|
r_D_final |
| Qflags: fds_is_nuc= 0.0 main |
|
|
|
|
|
|
|
|
|
|
|
| FDS25_0498
GAL# 376 FDS DWARF CAT r_mag= 20.09 re(")= 3.44 class=l | Decomp (sersic+nuc): M*= 6.24 Re(kpc)= 0.34 n= 0.29 fnuc= 0.002 g-r= 0.259 |
|
|
|
|
|
|
|
|
|
|
|
|
r_D_final |
| Qflags: fds_is_nuc= 0.0 main |
|
|
|
|
|
|
|
|
|
|
|
| FDS25_0512
GAL# 377 FDS DWARF CAT r_mag= 18.43 re(")= 12.75 class=e | Decomp (sersic+nuc): M*= 7.16 Re(kpc)= 1.12 n= 0.68 fnuc= 0.000 g-r= 0.483 |
|
|
|
|
|
|
|
|
|
|
|
|
r_D_final |
| Qflags: fds_is_nuc= 0.0 main |
|
|
|
|
|
|
|
|
|
|
|
| FDS26_0000
GAL# 378 FDS DWARF CAT r_mag= 12.91 re(")= 20.69 class=l | Decomp (sersic+nuc): M*= 9.23 Re(kpc)= 1.87 n= 0.70 fnuc= 0.000 g-r= 0.564 |
|
|
|
|
|
|
|
|
|
|
|
|
r_D_final |
| Qflags: star fds_is_nuc= 0.0 main |
|
|
|
|
|
|
|
|
|
|
|
| FDS26_0003
GAL# 379 FDS DWARF CAT r_mag= 13.38 re(")= 15.51 class=l | Decomp (sersic+nuc): M*= 9.30 Re(kpc)= 1.68 n= 1.15 fnuc= 0.003 g-r= 0.676 |
|
|
|
|
|
|
|
|
|
|
|
|
r_NbarD_final |
| Qflags: fds_is_nuc= 1.0 33 main |
|
|
|
|
|
|
|
|
|
|
|
| FDS26_0024
GAL# 380 FDS DWARF CAT r_mag= 17.45 re(")= 2.38 class=l | Decomp (sersic+nuc): M*= 7.30 Re(kpc)= 0.27 n= 2.78 fnuc= 0.048 g-r= 0.319 |
|
|
|
|
|
|
|
|
|
|
|
|
r_D_final |
| Qflags: fds_is_nuc= 0.0 main |
|
|
|
|
|
|
|
|
|
|
|
| FDS26_0039
GAL# 381 FDS DWARF CAT r_mag= 19.40 re(")= 4.94 class=e | Decomp (sersic+nuc): M*= 6.68 Re(kpc)= 0.45 n= 0.89 fnuc= 0.000 g-r= 0.587 |
|
|
|
|
|
|
|
|
|
|
|
|
r_D_final |
| Qflags: fds_is_nuc= 0.0 main |
|
|
|
|
|
|
|
|
|
|
|
| FDS26_0040
GAL# 382 FDS DWARF CAT r_mag= 19.57 re(")= 3.12 class=e | Decomp (sersic+nuc): M*= 6.32 Re(kpc)= 0.30 n= 1.48 fnuc= 0.000 g-r= 0.257 |
|
|
|
|
|
|
|
|
|
|
|
|
r_D_final |
| Qflags: fds_is_nuc= 0.0 main |
|
|
|
|
|
|
|
|
|
|
|
| FDS26_0097
GAL# 383 FDS DWARF CAT r_mag= 19.34 re(")= 4.52 class=e | Decomp (sersic+nuc): M*= 6.68 Re(kpc)= 0.43 n= 0.75 fnuc= 0.000 g-r= 0.483 |
|
|
|
|
|
|
|
|
|
|
|
|
r_D_final |
| Qflags: fds_is_nuc= 0.0 main |
|
|
|
|
|
|
|
|
|
|
|
| FDS26_0101
GAL# 384 FDS DWARF CAT r_mag= 19.40 re(")= 5.19 class=e | Decomp (sersic+nuc): M*= 6.62 Re(kpc)= 0.50 n= 0.79 fnuc= 0.010 g-r= 0.492 |
|
|
|
|
|
|
|
|
|
|
|
|
r_D_final |
| Qflags: fds_is_nuc= 0.0 main |
|
|
|
|
|
|
|
|
|
|
|
| FDS26_0103
GAL# 385 FDS DWARF CAT r_mag= 19.54 re(")= 4.06 class=e | Decomp (sersic+nuc): M*= 6.65 Re(kpc)= 0.37 n= 0.63 fnuc= 0.000 g-r= 0.531 |
|
|
|
|
|
|
|
|
|
|
|
|
r_D_final |
| Qflags: star fds_is_nuc= 0.0 main |
|
|
|
|
|
|
|
|
|
|
|
| FDS26_0111
GAL# 386 FDS DWARF CAT r_mag= 18.57 re(")= 5.66 class=e | Decomp (sersic+nuc): M*= 7.05 Re(kpc)= 0.50 n= 1.10 fnuc= 0.000 g-r= 0.595 |
|
|
|
|
|
|
|
|
|
|
|
|
r_D_final |
| Qflags: fds_is_nuc= 0.0 FCCB125 main |
|
|
|
|
|
|
|
|
|
|
|
| FDS26_0141
GAL# 387 FDS DWARF CAT r_mag= 14.56 re(")= 15.03 class=e(s) | Decomp (sersic+nuc): M*= 8.69 Re(kpc)= 1.58 n= 0.98 fnuc= 0.005 g-r= 0.612 |
|
|
|
|
|
|
|
|
|
|
|
|
r_NbarD_final |
| Qflags: fds_is_nuc= 1.0 main |
|
|
|
|
|
|
|
|
|
|
|
| FDS26_0170
GAL# 388 FDS DWARF CAT r_mag= 18.65 re(")= 3.31 class=l | Decomp (sersic+nuc): M*= 6.14 Re(kpc)= 0.28 n= 0.52 fnuc= 0.000 g-r= 0.244 |
|
|
|
|
|
|
|
|
|
|
|
|
r_D_final |
| Qflags: background offcen fds_is_nuc= 0.0 FCCB112 main |
|
|
|
|
|
|
|
|
|
|
|
| FDS26_0176
GAL# 389 FDS DWARF CAT r_mag= 19.60 re(")= 6.68 class=e | Decomp (sersic+nuc): M*= 6.50 Re(kpc)= 0.64 n= 0.63 fnuc= 0.006 g-r= 0.515 |
|
|
|
|
|
|
|
|
|
|
|
|
r_D_final |
| Qflags: star background fds_is_nuc= 0.0 main |
|
|
|
|
|
|
|
|
|
|
|
| FDS26_0203
GAL# 390 FDS DWARF CAT r_mag= 20.36 re(")= 3.14 class=l | Decomp (sersic+nuc): M*= 5.91 Re(kpc)= 0.29 n= 0.62 fnuc= 0.000 g-r= 0.155 |
|
|
|
|
|
|
|
|
|
|
|
|
r_D_final |
| Qflags: star fds_is_nuc= 0.0 main |
|
|
|
|
|
|
|
|
|
|
|
| FDS26_0229
GAL# 391 FDS DWARF CAT r_mag= 19.74 re(")= 6.74 class=e | Decomp (sersic+nuc): M*= 6.23 Re(kpc)= 0.57 n= 0.99 fnuc= 0.006 g-r= 0.569 |
|
|
|
|
|
|
|
|
|
|
|
|
r_D_final |
| Qflags: background fds_is_nuc= 0.0 main |
|
|
|
|
|
|
|
|
|
|
|
| FDS26_0233
GAL# 392 FDS DWARF CAT r_mag= 19.58 re(")= 6.06 class=e | Decomp (sersic+nuc): M*= 6.74 Re(kpc)= 0.64 n= 0.69 fnuc= 0.000 g-r= 0.596 |
|
|
|
|
|
|
|
|
|
|
|
|
r_D_final |
| Qflags: star background skyplane fds_is_nuc= 0.0 main |
|
|
|
|
|
|
|
|
|
|
|
| FDS26_0265
GAL# 393 FDS DWARF CAT r_mag= 20.21 re(")= 4.60 class=e | Decomp (sersic+nuc): M*= 6.45 Re(kpc)= 0.42 n= 0.58 fnuc= 0.002 g-r= 0.502 |
|
|
|
|
|
|
|
|
|
|
|
|
r_D_final |
| Qflags: star background fds_is_nuc= 0.0 main |
|
|
|
|
|
|
|
|
|
|
|
| FDS26_0277
GAL# 394 FDS DWARF CAT r_mag= 17.17 re(")= 9.55 class=e* | Decomp (sersic+nuc): M*= 7.69 Re(kpc)= 0.92 n= 0.84 fnuc= 0.025 g-r= 0.620 |
|
|
|
|
|
|
|
|
|
|
|
|
r_ND_final |
| Qflags: fds_is_nuc= 1.0 main |
|
|
|
|
|
|
|
|
|
|
|
| FDS26_0468
GAL# 395 FDS DWARF CAT r_mag= 19.15 re(")= 2.62 class=l | Decomp (sersic+nuc): M*= 6.28 Re(kpc)= 0.21 n= 0.61 fnuc= 0.000 g-r= 0.118 |
|
|
|
|
|
|
|
|
|
|
|
|
r_D_final |
| Qflags: fds_is_nuc= 0.0 main |
|
|
|
|
|
|
|
|
|
|
|
| FDS27_0060
GAL# 396 FDS DWARF CAT r_mag= 17.47 re(")= 12.22 class=e | Decomp (sersic+nuc): M*= 7.50 Re(kpc)= 1.20 n= 0.77 fnuc= 0.004 g-r= 0.611 |
|
|
|
|
|
|
|
|
|
|
|
|
r_ND_final |
| Qflags: fds_is_nuc= 1.0 main |
|
|
|
|
|
|
|
|
|
|
|
| FDS27_0103
GAL# 397 FDS DWARF CAT r_mag= 19.81 re(")= 3.15 class=l | Decomp (sersic+nuc): M*= 6.25 Re(kpc)= 0.27 n= 0.94 fnuc= 0.005 g-r= 0.412 |
|
|
|
|
|
|
|
|
|
|
|
|
r_D_final |
| Qflags: star fds_is_nuc= 0.0 main |
|
|
|
|
|
|
|
|
|
|
|
| FDS27_0104
GAL# 398 FDS DWARF CAT r_mag= 20.80 re(")= 3.45 class=e | Decomp (sersic+nuc): M*= 6.12 Re(kpc)= 0.32 n= 0.60 fnuc= 0.005 g-r= 0.610 |
|
|
|
|
|
|
|
|
|
|
|
|
r_D_final |
| Qflags: fds_is_nuc= 0.0 main |
|
|
|
|
|
|
|
|
|
|
|
| FDS27_0211
GAL# 399 FDS DWARF CAT r_mag= 17.53 re(")= 9.16 class=e | Decomp (sersic+nuc): M*= 7.55 Re(kpc)= 0.84 n= 0.85 fnuc= 0.000 g-r= 0.632 |
|
|
|
|
|
|
|
|
|
|
|
|
r_D_final |
| Qflags: fds_is_nuc= 0.0 main |
|
|
|
|
|
|
|
|
|
|
|