| FDS16_0170
GAL# 200 FDS DWARF CAT r_mag= 19.26 re(")= 5.27 class=e | Decomp (sersic+nuc): M*= 6.75 Re(kpc)= 0.48 n= 0.94 fnuc= 0.000 g-r= 0.678 |
|
|
|
|
|
|
|
|
|
|
|
|
r_D_final |
| Qflags: star fds_is_nuc= 0.0 main |
|
|
|
|
|
|
|
|
|
|
|
| FDS16_0172
GAL# 201 FDS DWARF DUPLICATE | |
| FDS16_0185a
GAL# 202 FDS DWARF CAT r_mag= 17.63 re(")= 12.81 class=e* | Decomp (sersic+nuc): M*= 7.44 Re(kpc)= 1.26 n= 0.83 fnuc= 0.010 g-r= 0.653 |
|
|
|
|
|
|
|
|
|
|
|
|
r_ND_final |
| Qflags: fds_is_nuc= 1.0 FCC157 main |
|
|
|
|
|
|
|
|
|
|
|
| FDS16_0190
GAL# 203 FDS DWARF CAT r_mag= 20.50 re(")= 3.39 class=e | Decomp (sersic+nuc): M*= 6.23 Re(kpc)= 0.30 n= 1.04 fnuc= 0.006 g-r= 0.556 |
|
|
|
|
|
|
|
|
|
|
|
|
r_D_final |
| Qflags: fds_is_nuc= 0.0 main |
|
|
|
|
|
|
|
|
|
|
|
| FDS16_0204
GAL# 204 FDS DWARF CAT r_mag= 18.58 re(")= 9.58 class=e | Decomp (sersic+nuc): M*= 7.11 Re(kpc)= 0.90 n= 0.49 fnuc= 0.000 g-r= 0.673 |
|
|
|
|
|
|
|
|
|
|
|
|
r_D_final |
| Qflags: star fds_is_nuc= 0.0 FCC97 main |
|
|
|
|
|
|
|
|
|
|
|
| FDS16_0227
GAL# 205 FDS DWARF CAT r_mag= 19.92 re(")= 9.03 class=e | Decomp (sersic+nuc): M*= 6.32 Re(kpc)= 0.87 n= 0.82 fnuc= 0.000 g-r= 0.549 |
|
|
|
|
|
|
|
|
|
|
|
|
r_D_final |
| Qflags: snr fds_is_nuc= 0.0 main |
|
|
|
|
|
|
|
|
|
|
|
| FDS16_0230b
GAL# 206 FDS DWARF CAT r_mag= 21.46 re(")= 3.49 class=e | Decomp (sersic+nuc): M*= 5.90 Re(kpc)= 0.29 n= 0.73 fnuc= 0.000 g-r= 0.577 |
|
|
|
|
|
|
|
|
|
|
|
|
r_D_final |
| Qflags: fds_is_nuc= 0.0 main |
|
|
|
|
|
|
|
|
|
|
|
| FDS16_0232
GAL# 207 FDS DWARF CAT r_mag= 18.50 re(")= 6.26 class=e* | Decomp (sersic+nuc): M*= 7.00 Re(kpc)= 0.64 n= 0.91 fnuc= 0.019 g-r= 0.716 |
|
|
|
|
|
|
|
|
|
|
|
|
r_ND_final |
| Qflags: fds_is_nuc= 1.0 FCCB770 main |
|
|
|
|
|
|
|
|
|
|
|
| FDS16_0246
GAL# 208 FDS DWARF CAT r_mag= 19.42 re(")= 8.43 class=e* | Decomp (sersic+nuc): M*= 6.68 Re(kpc)= 0.84 n= 0.57 fnuc= 0.061 g-r= 0.797 |
|
|
|
|
|
|
|
|
|
|
|
|
r_ND_final |
| Qflags: fds_is_nuc= 1.0 main |
|
|
|
|
|
|
|
|
|
|
|
| FDS16_0248
GAL# 209 FDS DWARF CAT r_mag= 19.39 re(")= 7.05 class=e | Decomp (sersic+nuc): M*= 6.57 Re(kpc)= 0.65 n= 0.71 fnuc= 0.000 g-r= 0.615 |
|
|
|
|
|
|
|
|
|
|
|
|
r_D_final |
| Qflags: fds_is_nuc= 0.0 FCC114 main |
|
|
|
|
|
|
|
|
|
|
|
| FDS16_0253
GAL# 210 FDS DWARF CAT r_mag= 16.60 re(")= 13.94 class=e* | Decomp (sersic+nuc): M*= 7.81 Re(kpc)= 1.33 n= 1.18 fnuc= 0.017 g-r= 0.646 |
|
|
|
|
|
|
|
|
|
|
|
|
r_ND_final |
| Qflags: star fds_is_nuc= 1.0 FCC133 main |
|
|
|
|
|
|
|
|
|
|
|
| FDS16_0257
GAL# 211 FDS DWARF CAT r_mag= 16.52 re(")= 16.50 class=e | Decomp (sersic+nuc): M*= 7.80 Re(kpc)= 1.38 n= 1.00 fnuc= 0.000 g-r= 0.578 |
|
|
|
|
|
|
|
|
|
|
|
|
r_D_final |
| Qflags: fds_is_nuc= 0.0 FCC156 main |
|
|
|
|
|
|
|
|
|
|
|
| FDS16_0272
GAL# 212 FDS DWARF CAT r_mag= 19.46 re(")= 4.37 class=e | Decomp (sersic+nuc): M*= 6.62 Re(kpc)= 0.40 n= 0.68 fnuc= 0.000 g-r= 0.580 |
|
|
|
|
|
|
|
|
|
|
|
|
r_D_final |
| Qflags: fds_is_nuc= 0.0 main |
|
|
|
|
|
|
|
|
|
|
|
| FDS16_0280
GAL# 213 FDS DWARF CAT r_mag= 18.82 re(")= 6.32 class=e | Decomp (sersic+nuc): M*= 6.86 Re(kpc)= 0.59 n= 0.85 fnuc= 0.000 g-r= 0.588 |
|
|
|
|
|
|
|
|
|
|
|
|
r_D_final |
| Qflags: fds_is_nuc= 0.0 FCC144 main |
|
|
|
|
|
|
|
|
|
|
|
| FDS16_0281
GAL# 214 FDS DWARF CAT r_mag= 19.11 re(")= 5.52 class=e* | Decomp (sersic+nuc): M*= 6.71 Re(kpc)= 0.54 n= 0.57 fnuc= 0.033 g-r= 0.544 |
|
|
|
|
|
|
|
|
|
|
|
|
r_ND_final |
| Qflags: fds_is_nuc= 1.0 FCC146 main |
|
|
|
|
|
|
|
|
|
|
|
| FDS16_0283
GAL# 215 FDS DWARF CAT r_mag= 18.97 re(")= 7.39 class=e | Decomp (sersic+nuc): M*= 6.83 Re(kpc)= 0.71 n= 1.01 fnuc= 0.000 g-r= 0.520 |
|
|
|
|
|
|
|
|
|
|
|
|
r_D_final |
| Qflags: star fds_is_nuc= 0.0 FCC127 main |
|
|
|
|
|
|
|
|
|
|
|
| FDS16_0307
GAL# 216 FDS DWARF CAT r_mag= 19.08 re(")= 11.48 class=e | Decomp (sersic+nuc): M*= 6.74 Re(kpc)= 1.08 n= 0.90 fnuc= 0.000 g-r= 0.595 |
|
|
|
|
|
|
|
|
|
|
|
|
r_D_final |
| Qflags: star fds_is_nuc= 0.0 main |
|
|
|
|
|
|
|
|
|
|
|
| FDS16_0328
GAL# 217 FDS DWARF CAT r_mag= 19.80 re(")= 5.44 class=e | Decomp (sersic+nuc): M*= 6.39 Re(kpc)= 0.50 n= 0.72 fnuc= 0.018 g-r= 0.546 |
|
|
|
|
|
|
|
|
|
|
|
|
r_D_final |
| Qflags: fds_is_nuc= 0.0 FCC131 main |
|
|
|
|
|
|
|
|
|
|
|
| FDS16_0329
GAL# 218 FDS DWARF CAT r_mag= 19.79 re(")= 4.51 class=e | Decomp (sersic+nuc): M*= 6.44 Re(kpc)= 0.44 n= 0.59 fnuc= 0.005 g-r= 0.521 |
|
|
|
|
|
|
|
|
|
|
|
|
r_D_final |
| Qflags: fds_is_nuc= 0.0 main |
|
|
|
|
|
|
|
|
|
|
|
| FDS16_0330
GAL# 219 FDS DWARF CAT r_mag= 18.69 re(")= 5.55 class=e | Decomp (sersic+nuc): M*= 6.88 Re(kpc)= 0.53 n= 0.85 fnuc= 0.000 g-r= 0.557 |
|
|
|
|
|
|
|
|
|
|
|
|
r_D_final |
| Qflags: background skyplane fds_is_nuc= 0.0 FCC145 main |
|
|
|
|
|
|
|
|
|
|
|
| FDS16_0346
GAL# 220 FDS DWARF CAT r_mag= 18.09 re(")= 10.25 class=e* | Decomp (sersic+nuc): M*= 7.18 Re(kpc)= 0.94 n= 0.89 fnuc= 0.015 g-r= 0.587 |
|
|
|
|
|
|
|
|
|
|
|
|
r_ND_final |
| Qflags: fds_is_nuc= 1.0 FCC140 main |
|
|
|
|
|
|
|
|
|
|
|
| FDS16_0417
GAL# 221 FDS DWARF CAT r_mag= 14.53 re(")= 19.84 class=e* | Decomp (sersic+nuc): M*= 8.75 Re(kpc)= 1.88 n= 1.26 fnuc= 0.004 g-r= 0.709 |
|
|
|
|
|
|
|
|
|
|
|
|
r_NDD_final |
| Qflags: background fds_is_nuc= 1.0 FCC100 main |
|
|
|
|
|
|
|
|
|
|
|
| FDS16_0441
GAL# 222 FDS DWARF CAT r_mag= 18.13 re(")= 8.12 class=e* | Decomp (sersic+nuc): M*= 7.21 Re(kpc)= 0.84 n= 0.94 fnuc= 0.035 g-r= 0.596 |
|
|
|
|
|
|
|
|
|
|
|
|
r_ND_final |
| Qflags: fds_is_nuc= 1.0 FCC142 main |
|
|
|
|
|
|
|
|
|
|
|
| FDS16_0472
GAL# 223 FDS DWARF CAT r_mag= 18.71 re(")= 8.14 class=e | Decomp (sersic+nuc): M*= 6.89 Re(kpc)= 0.76 n= 0.73 fnuc= 0.000 g-r= 0.611 |
|
|
|
|
|
|
|
|
|
|
|
|
r_D_final |
| Qflags: fds_is_nuc= 0.0 FCC94 main |
|
|
|
|
|
|
|
|
|
|
|
| FDS16_0486
GAL# 224 FDS DWARF CAT r_mag= 18.97 re(")= 9.23 class=e* | Decomp (sersic+nuc): M*= 6.89 Re(kpc)= 0.85 n= 1.13 fnuc= 0.010 g-r= 0.567 |
|
|
|
|
|
|
|
|
|
|
|
|
r_ND_final |
| Qflags: star fds_is_nuc= 1.0 main |
|
|
|
|
|
|
|
|
|
|
|
| FDS16_0533
GAL# 225 FDS DWARF CAT r_mag= 20.19 re(")= 8.25 class=e | Decomp (sersic+nuc): M*= 6.23 Re(kpc)= 0.73 n= 0.52 fnuc= 0.000 g-r= 0.584 |
|
|
|
|
|
|
|
|
|
|
|
|
r_D_final |
| Qflags: snr fds_is_nuc= 0.0 main |
|
|
|
|
|
|
|
|
|
|
|
| FDS16_0788b
GAL# 226 FDS DWARF CAT r_mag= 20.76 re(")= 3.36 class=e | Decomp (sersic+nuc): M*= 6.02 Re(kpc)= 0.25 n= 0.59 fnuc= 0.000 g-r= 0.596 |
|
|
|
|
|
|
|
|
|
|
|
|
r_D_final |
| Qflags: star obscured fds_is_nuc= 0.0 main |
|
|
|
|
|
|
|
|
|
|
|
| FDS17_0082
GAL# 227 FDS DWARF CAT r_mag= 19.32 re(")= 5.88 class=e | Decomp (sersic+nuc): M*= 6.73 Re(kpc)= 0.52 n= 1.12 fnuc= 0.000 g-r= 0.615 |
|
|
|
|
|
|
|
|
|
|
|
|
r_D_final |
| Qflags: fds_is_nuc= 0.0 main |
|
|
|
|
|
|
|
|
|
|
|
| FDS17_0110
GAL# 228 FDS DWARF CAT r_mag= 15.79 re(")= 19.88 class=l | Decomp (sersic+nuc): M*= 7.87 Re(kpc)= 1.79 n= 0.71 fnuc= 0.001 g-r= 0.380 |
|
|
|
|
|
|
|
|
|
|
|
|
r_D_final |
| Qflags: fds_is_nuc= 0.0 FCC120 main |
|
|
|
|
|
|
|
|
|
|
|
| FDS17_0121
GAL# 229 FDS DWARF CAT r_mag= 20.79 re(")= 2.69 class=e | Decomp (sersic+nuc): M*= 6.21 Re(kpc)= 0.25 n= 0.56 fnuc= 0.039 g-r= 0.579 |
|
|
|
|
|
|
|
|
|
|
|
|
r_D_final |
| Qflags: fds_is_nuc= 0.0 main |
|
|
|
|
|
|
|
|
|
|
|
| FDS17_0127
GAL# 230 FDS DWARF CAT r_mag= 19.82 re(")= 7.69 class=e | Decomp (sersic+nuc): M*= 6.71 Re(kpc)= 0.71 n= 0.76 fnuc= 0.000 g-r= 0.531 |
|
|
|
|
|
|
|
|
|
|
|
|
r_D_final |
| Qflags: fds_is_nuc= 0.0 main |
|
|
|
|
|
|
|
|
|
|
|
| FDS17_0161
GAL# 231 FDS DWARF CAT r_mag= 16.01 re(")= 13.33 class=l | Decomp (sersic+nuc): M*= 7.83 Re(kpc)= 0.95 n= 0.91 fnuc= 0.000 g-r= 0.442 |
|
|
|
|
|
|
|
|
|
|
|
|
r_DD_final |
| Qflags: uncertain fds_is_nuc= 0.0 FCC128 main |
|
|
|
|
|
|
|
|
|
|
|
| FDS17_0166
GAL# 232 FDS DWARF CAT r_mag= 19.22 re(")= 9.76 class=e | Decomp (sersic+nuc): M*= 6.90 Re(kpc)= 0.91 n= 0.61 fnuc= 0.002 g-r= 0.606 |
|
|
|
|
|
|
|
|
|
|
|
|
r_D_final |
| Qflags: fds_is_nuc= 0.0 main |
|
|
|
|
|
|
|
|
|
|
|
| FDS17_0167
GAL# 233 FDS DWARF CAT r_mag= 16.35 re(")= 17.33 class=e* | Decomp (sersic+nuc): M*= 8.07 Re(kpc)= 1.82 n= 1.47 fnuc= 0.007 g-r= 0.655 |
|
|
|
|
|
|
|
|
|
|
|
|
r_ND_final |
| Qflags: star fds_is_nuc= 1.0 FCC112 main |
|
|
|
|
|
|
|
|
|
|
|
| FDS17_0185
GAL# 234 FDS DWARF CAT r_mag= 20.81 re(")= 4.44 class=e | Decomp (sersic+nuc): M*= 6.20 Re(kpc)= 0.39 n= 0.59 fnuc= 0.000 g-r= 0.539 |
|
|
|
|
|
|
|
|
|
|
|
|
r_D_final |
| Qflags: fds_is_nuc= 0.0 main |
|
|
|
|
|
|
|
|
|
|
|
| FDS17_0188
GAL# 235 FDS DWARF CAT r_mag= 14.83 re(")= 7.71 class=e* | Decomp (sersic+nuc): M*= 8.73 Re(kpc)= 0.74 n= 1.67 fnuc= 0.004 g-r= 0.647 |
|
|
|
|
|
|
|
|
|
|
|
|
r_ND_final |
| Qflags: fds_is_nuc= 1.0 FCC150 main |
|
|
|
|
|
|
|
|
|
|
|
| FDS17_0220
GAL# 236 FDS DWARF CAT r_mag= 20.16 re(")= 5.18 class=e | Decomp (sersic+nuc): M*= 6.30 Re(kpc)= 0.49 n= 0.56 fnuc= 0.000 g-r= 0.552 |
|
|
|
|
|
|
|
|
|
|
|
|
r_D_final |
| Qflags: fds_is_nuc= 0.0 main |
|
|
|
|
|
|
|
|
|
|
|
| FDS17_0226
GAL# 237 FDS DWARF CAT r_mag= 18.60 re(")= 5.91 class=e | Decomp (sersic+nuc): M*= 7.02 Re(kpc)= 0.53 n= 0.81 fnuc= 0.000 g-r= 0.543 |
|
|
|
|
|
|
|
|
|
|
|
|
r_D_final |
| Qflags: star obscured uncertain fds_is_nuc= 0.0 FCC138 main |
|
|
|
|
|
|
|
|
|
|
|
| FDS17_0227
GAL# 238 FDS DWARF CAT r_mag= 13.91 re(")= 11.63 class=l | Decomp (sersic+nuc): M*= 8.78 Re(kpc)= 0.88 n= 2.53 fnuc= 0.001 g-r= 0.524 |
|
|
|
|
|
|
|
|
|
|
|
|
r_BbarD_final |
| Qflags: obscured fds_is_nuc= 0.0 FCC90 MCG-06-08-024 main |
|
|
|
|
|
|
|
|
|
|
|
| FDS17_0242
GAL# 239 FDS DWARF CAT r_mag= 17.73 re(")= 12.79 class=e | Decomp (sersic+nuc): M*= 7.41 Re(kpc)= 1.21 n= 0.77 fnuc= 0.000 g-r= 0.629 |
|
|
|
|
|
|
|
|
|
|
|
|
r_D_final |
| Qflags: star fds_is_nuc= 0.0 FCC98 main |
|
|
|
|
|
|
|
|
|
|
|
| FDS17_0243
GAL# 240 FDS DWARF CAT r_mag= 20.11 re(")= 6.65 class=e | Decomp (sersic+nuc): M*= 6.46 Re(kpc)= 0.62 n= 0.72 fnuc= 0.001 g-r= 0.566 |
|
|
|
|
|
|
|
|
|
|
|
|
r_D_final |
| Qflags: star fds_is_nuc= 0.0 main |
|
|
|
|
|
|
|
|
|
|
|
| FDS17_0251
GAL# 241 FDS DWARF CAT r_mag= 20.56 re(")= 3.22 class=e | Decomp (sersic+nuc): M*= 6.19 Re(kpc)= 0.28 n= 1.23 fnuc= 0.022 g-r= 0.425 |
|
|
|
|
|
|
|
|
|
|
|
|
r_D_final |
| Qflags: fds_is_nuc= 0.0 main |
|
|
|
|
|
|
|
|
|
|
|
| FDS17_0259
GAL# 242 FDS DWARF CAT r_mag= 20.36 re(")= 3.84 class=e | Decomp (sersic+nuc): M*= 6.45 Re(kpc)= 0.35 n= 0.56 fnuc= 0.010 g-r= 0.577 |
|
|
|
|
|
|
|
|
|
|
|
|
r_D_final |
| Qflags: star background fds_is_nuc= 0.0 main |
|
|
|
|
|
|
|
|
|
|
|
| FDS17_0265
GAL# 243 FDS DWARF CAT r_mag= 15.71 re(")= 14.22 class=l | Decomp (sersic+nuc): M*= 7.83 Re(kpc)= 1.33 n= 0.86 fnuc= 0.000 g-r= 0.402 |
|
|
|
|
|
|
|
|
|
|
|
|
r_D_final |
| Qflags: star obscured fds_is_nuc= 0.0 FCC102 main |
|
|
|
|
|
|
|
|
|
|
|
| FDS17_0283
GAL# 244 FDS DWARF CAT r_mag= 17.30 re(")= 12.53 class=e* | Decomp (sersic+nuc): M*= 7.66 Re(kpc)= 1.17 n= 1.15 fnuc= 0.005 g-r= 0.610 |
|
|
|
|
|
|
|
|
|
|
|
|
r_ND_final |
| Qflags: fds_is_nuc= 1.0 FCC151 main |
|
|
|
|
|
|
|
|
|
|
|
| FDS17_0288
GAL# 245 FDS DWARF CAT r_mag= 18.63 re(")= 6.95 class=e* | Decomp (sersic+nuc): M*= 7.01 Re(kpc)= 0.65 n= 0.73 fnuc= 0.024 g-r= 0.666 |
|
|
|
|
|
|
|
|
|
|
|
|
r_ND_final |
| Qflags: fds_is_nuc= 1.0 FCC108 main |
|
|
|
|
|
|
|
|
|
|
|
| FDS17_0303
GAL# 246 FDS DWARF CAT r_mag= 20.86 re(")= 3.07 class=e | Decomp (sersic+nuc): M*= 6.21 Re(kpc)= 0.28 n= 1.04 fnuc= 0.000 g-r= 0.704 |
|
|
|
|
|
|
|
|
|
|
|
|
r_D_final |
| Qflags: background fds_is_nuc= 0.0 main |
|
|
|
|
|
|
|
|
|
|
|
| FDS17_0304
GAL# 247 FDS DWARF CAT r_mag= 16.69 re(")= 16.80 class=e | Decomp (sersic+nuc): M*= 7.86 Re(kpc)= 1.58 n= 0.80 fnuc= 0.000 g-r= 0.701 |
|
|
|
|
|
|
|
|
|
|
|
|
r_D_final |
| Qflags: star fds_is_nuc= 0.0 FCC105 main |
|
|
|
|
|
|
|
|
|
|
|
| FDS17_0312
GAL# 248 FDS DWARF CAT r_mag= 19.31 re(")= 7.51 class=e | Decomp (sersic+nuc): M*= 6.78 Re(kpc)= 0.67 n= 0.79 fnuc= 0.000 g-r= 0.574 |
|
|
|
|
|
|
|
|
|
|
|
|
r_D_final |
| Qflags: fds_is_nuc= 0.0 FCC149 main |
|
|
|
|
|
|
|
|
|
|
|
| FDS17_0316
GAL# 249 FDS DWARF CAT r_mag= 19.01 re(")= 8.36 class=e* | Decomp (sersic+nuc): M*= 6.92 Re(kpc)= 0.87 n= 0.82 fnuc= 0.029 g-r= 0.572 |
|
|
|
|
|
|
|
|
|
|
|
|
r_ND_final |
| Qflags: fds_is_nuc= 1.0 FCC129 main |
|
|
|
|
|
|
|
|
|
|
|
| FDS17_0317
GAL# 250 FDS DWARF CAT r_mag= 20.73 re(")= 6.67 class=e | Decomp (sersic+nuc): M*= 6.07 Re(kpc)= 0.56 n= 0.78 fnuc= 0.001 g-r= 0.640 |
|
|
|
|
|
|
|
|
|
|
|
|
r_D_final |
| Qflags: fds_is_nuc= 0.0 main |
|
|
|
|
|
|
|
|
|
|
|
| FDS17_0325
GAL# 251 FDS DWARF CAT r_mag= 15.09 re(")= 15.49 class=e* | Decomp (sersic+nuc): M*= 8.54 Re(kpc)= 1.60 n= 1.50 fnuc= 0.001 g-r= 0.697 |
|
|
|
|
|
|
|
|
|
|
|
|
r_ND_final |
| Qflags: star fds_is_nuc= 1.0 FCC116 main |
|
|
|
|
|
|
|
|
|
|
|
| FDS17_0343
GAL# 252 FDS DWARF CAT r_mag= 16.10 re(")= 20.09 class=e* | Decomp (sersic+nuc): M*= 8.10 Re(kpc)= 1.91 n= 0.97 fnuc= 0.015 g-r= 0.621 |
|
|
|
|
|
|
|
|
|
|
|
|
r_ND_final |
| Qflags: fds_is_nuc= 1.0 FCC158 main |
|
|
|
|
|
|
|
|
|
|
|
| FDS17_0345
GAL# 253 FDS DWARF CAT r_mag= 20.27 re(")= 8.15 class=e | Decomp (sersic+nuc): M*= 5.99 Re(kpc)= 0.69 n= 0.63 fnuc= 0.003 g-r= 0.651 |
|
|
|
|
|
|
|
|
|
|
|
|
r_D_final |
| Qflags: snr fds_is_nuc= 0.0 main |
|
|
|
|
|
|
|
|
|
|
|
| FDS17_0359
GAL# 254 FDS DWARF CAT r_mag= 20.66 re(")= 3.95 class=e | Decomp (sersic+nuc): M*= 6.06 Re(kpc)= 0.35 n= 0.63 fnuc= 0.001 g-r= 0.580 |
|
|
|
|
|
|
|
|
|
|
|
|
r_D_final |
| Qflags: fds_is_nuc= 0.0 main |
|
|
|
|
|
|
|
|
|
|
|
| FDS18_0045
GAL# 255 FDS DWARF CAT r_mag= 16.35 re(")= 11.13 class=e | Decomp (sersic+nuc): M*= 7.93 Re(kpc)= 1.07 n= 0.95 fnuc= 0.002 g-r= 0.597 |
|
|
|
|
|
|
|
|
|
|
|
|
r_ND_final |
| Qflags: fds_is_nuc= 1.0 FCC107 main |
|
|
|
|
|
|
|
|
|
|
|
| FDS18_0058
GAL# 256 FDS DWARF CAT r_mag= 17.05 re(")= 23.82 class=e | Decomp (sersic+nuc): M*= 7.62 Re(kpc)= 2.10 n= 0.92 fnuc= 0.000 g-r= 0.684 |
|
|
|
|
|
|
|
|
|
|
|
|
r_D_final |
| Qflags: star fds_is_nuc= 0.0 FCC117 main |
|
|
|
|
|
|
|
|
|
|
|
| FDS18_0098
GAL# 257 FDS DWARF CAT r_mag= 19.91 re(")= 2.93 class=e | Decomp (sersic+nuc): M*= 6.44 Re(kpc)= 0.25 n= 0.88 fnuc= 0.000 g-r= 0.606 |
|
|
|
|
|
|
|
|
|
|
|
|
r_D_final |
| Qflags: star fds_is_nuc= 0.0 main |
|
|
|
|
|
|
|
|
|
|
|
| FDS18_0111
GAL# 258 FDS DWARF CAT r_mag= 17.52 re(")= 8.80 class=e | Decomp (sersic+nuc): M*= 7.46 Re(kpc)= 0.84 n= 1.03 fnuc= 0.003 g-r= 0.579 |
|
|
|
|
|
|
|
|
|
|
|
|
r_ND_final |
| Qflags: fds_is_nuc= 1.0 main |
|
|
|
|
|
|
|
|
|
|
|
| FDS18_0129
GAL# 259 FDS DWARF CAT r_mag= 17.97 re(")= 8.71 class=e | Decomp (sersic+nuc): M*= 7.28 Re(kpc)= 0.81 n= 0.96 fnuc= 0.000 g-r= 0.594 |
|
|
|
|
|
|
|
|
|
|
|
|
r_D_final |
| Qflags: fds_is_nuc= 0.0 FCC109 main |
|
|
|
|
|
|
|
|
|
|
|
| FDS18_0140
GAL# 260 FDS DWARF CAT r_mag= 20.36 re(")= 3.54 class=e | Decomp (sersic+nuc): M*= 6.30 Re(kpc)= 0.32 n= 0.75 fnuc= 0.000 g-r= 0.600 |
|
|
|
|
|
|
|
|
|
|
|
|
r_D_final |
| Qflags: fds_is_nuc= 0.0 main |
|
|
|
|
|
|
|
|
|
|
|
| FDS18_0143
GAL# 261 FDS DWARF CAT r_mag= 18.24 re(")= 13.79 class=l | Decomp (sersic+nuc): M*= 7.00 Re(kpc)= 1.24 n= 0.86 fnuc= 0.000 g-r= 0.460 |
|
|
|
|
|
|
|
|
|
|
|
|
r_D_final |
| Qflags: star background skyplane fds_is_nuc= 0.0 main |
|
|
|
|
|
|
|
|
|
|
|
| FDS18_0185
GAL# 262 FDS DWARF CAT r_mag= 21.05 re(")= 3.05 class=e | Decomp (sersic+nuc): M*= 6.00 Re(kpc)= 0.26 n= 0.47 fnuc= 0.000 g-r= 0.671 |
|
|
|
|
|
|
|
|
|
|
|
|
r_D_final |
| Qflags: fds_is_nuc= 0.0 main |
|
|
|
|
|
|
|
|
|
|
|
| FDS18_0225
GAL# 263 FDS DWARF CAT r_mag= 20.95 re(")= 5.24 class=e | Decomp (sersic+nuc): M*= 5.99 Re(kpc)= 0.45 n= 0.85 fnuc= 0.003 g-r= 0.673 |
|
|
|
|
|
|
|
|
|
|
|
|
r_D_final |
| Qflags: snr fds_is_nuc= 0.0 main |
|
|
|
|
|
|
|
|
|
|
|
| FDS18_0333
GAL# 264 FDS DWARF CAT r_mag= 21.38 re(")= 3.34 class=e | Decomp (sersic+nuc): M*= 6.03 Re(kpc)= 0.28 n= 0.32 fnuc= 0.106 g-r= 0.674 |
|
|
|
|
|
|
|
|
|
|
|
|
r_D_final |
| Qflags: fds_is_nuc= 0.0 main |
|
|
|
|
|
|
|
|
|
|
|
| FDS18_0335
GAL# 265 FDS DWARF CAT r_mag= 20.97 re(")= 3.61 class=e | Decomp (sersic+nuc): M*= 6.12 Re(kpc)= 0.32 n= 0.87 fnuc= 0.000 g-r= 0.621 |
|
|
|
|
|
|
|
|
|
|
|
|
r_D_final |
| Qflags: fds_is_nuc= 0.0 main |
|
|
|
|
|
|
|
|
|
|
|
| FDS18_0408
GAL# 266 FDS DWARF CAT r_mag= 20.14 re(")= 3.56 class=l | Decomp (sersic+nuc): M*= 6.25 Re(kpc)= 0.27 n= 1.23 fnuc= 0.000 g-r= 0.333 |
|
|
|
|
|
|
|
|
|
|
|
|
r_D_final |
| Qflags: fds_is_nuc= 0.0 main |
|
|
|
|
|
|
|
|
|
|
|
| FDS19_0001
GAL# 267 FDS DWARF CAT r_mag= 13.02 re(")= 13.66 class=e(s) | Decomp (sersic+nuc): M*= 9.45 Re(kpc)= 1.45 n= 1.07 fnuc= 0.006 g-r= 0.767 |
|
|
|
|
|
|
|
|
|
|
|
|
r_ND_final |
| Qflags: star obscured background uncertain skyplane fds_is_nuc= 1.0 5 main |
|
|
|
|
|
|
|
|
|
|
|
| FDS19_0003
GAL# 268 FDS DWARF CAT r_mag= 18.38 re(")= 5.23 class=e | Decomp (sersic+nuc): M*= 7.12 Re(kpc)= 0.49 n= 0.85 fnuc= 0.000 g-r= 0.611 |
|
|
|
|
|
|
|
|
|
|
|
|
r_D_final |
| Qflags: fds_is_nuc= 0.0 FCCB462 main |
|
|
|
|
|
|
|
|
|
|
|
| FDS19_0004
GAL# 269 FDS DWARF CAT r_mag= 20.30 re(")= 2.59 class=e | Decomp (sersic+nuc): M*= 6.16 Re(kpc)= 0.21 n= 0.91 fnuc= 0.002 g-r= 0.450 |
|
|
|
|
|
|
|
|
|
|
|
|
r_D_final |
| Qflags: fds_is_nuc= 0.0 main |
|
|
|
|
|
|
|
|
|
|
|
| FDS19_0094
GAL# 270 FDS DWARF CAT r_mag= 19.90 re(")= 2.80 class=e | Decomp (sersic+nuc): M*= 6.35 Re(kpc)= 0.25 n= 0.86 fnuc= 0.003 g-r= 0.426 |
|
|
|
|
|
|
|
|
|
|
|
|
r_D_final |
| Qflags: fds_is_nuc= 0.0 main |
|
|
|
|
|
|
|
|
|
|
|
| FDS19_0100
GAL# 271 FDS DWARF CAT r_mag= 20.60 re(")= 2.95 class=e | Decomp (sersic+nuc): M*= 6.02 Re(kpc)= 0.27 n= 0.78 fnuc= 0.017 g-r= 0.456 |
|
|
|
|
|
|
|
|
|
|
|
|
r_D_final |
| Qflags: fds_is_nuc= 0.0 main |
|
|
|
|
|
|
|
|
|
|
|
| FDS19_0167
GAL# 272 FDS DWARF CAT r_mag= 18.02 re(")= 6.38 class=e | Decomp (sersic+nuc): M*= 7.28 Re(kpc)= 0.57 n= 0.97 fnuc= 0.000 g-r= 0.659 |
|
|
|
|
|
|
|
|
|
|
|
|
r_D_final |
| Qflags: fds_is_nuc= 0.0 FCCB374 main |
|
|
|
|
|
|
|
|
|
|
|
| FDS19_0184
GAL# 273 FDS DWARF CAT r_mag= 21.77 re(")= 3.50 class=e | Decomp (sersic+nuc): M*= 5.68 Re(kpc)= 0.31 n= 0.34 fnuc= 0.025 g-r= 0.590 |
|
|
|
|
|
|
|
|
|
|
|
|
r_D_final |
| Qflags: star background snr fds_is_nuc= 0.0 main |
|
|
|
|
|
|
|
|
|
|
|
| FDS19_0202
GAL# 274 FDS DWARF CAT r_mag= 20.56 re(")= 3.33 class=e | Decomp (sersic+nuc): M*= 6.21 Re(kpc)= 0.29 n= 1.15 fnuc= 0.000 g-r= 0.652 |
|
|
|
|
|
|
|
|
|
|
|
|
r_D_final |
| Qflags: fds_is_nuc= 0.0 main |
|
|
|
|
|
|
|
|
|
|
|
| FDS19_0223
GAL# 275 FDS DWARF CAT r_mag= 19.37 re(")= 6.30 class=e | Decomp (sersic+nuc): M*= 6.60 Re(kpc)= 0.62 n= 0.75 fnuc= 0.013 g-r= 0.615 |
|
|
|
|
|
|
|
|
|
|
|
|
r_ND_final |
| Qflags: fds_is_nuc= 1.0 FCC45 main |
|
|
|
|
|
|
|
|
|
|
|
| FDS19_0226
GAL# 276 FDS DWARF CAT r_mag= 16.29 re(")= 13.10 class=e | Decomp (sersic+nuc): M*= 7.96 Re(kpc)= 1.10 n= 1.04 fnuc= 0.000 g-r= 0.652 |
|
|
|
|
|
|
|
|
|
|
|
|
r_D_final |
| Qflags: offcen fds_is_nuc= 0.0 FCC48 main |
|
|
|
|
|
|
|
|
|
|
|
| FDS19_0259
GAL# 277 FDS DWARF CAT r_mag= 19.68 re(")= 4.63 class=l | Decomp (sersic+nuc): M*= 6.26 Re(kpc)= 0.53 n= 1.29 fnuc= 0.007 g-r= 0.286 |
|
|
|
|
|
|
|
|
|
|
|
|
r_D_final |
| Qflags: star obscured fds_is_nuc= 0.0 main |
|
|
|
|
|
|
|
|
|
|
|
| FDS19_0300
GAL# 278 FDS DWARF CAT r_mag= 17.91 re(")= 4.67 class=e | Decomp (sersic+nuc): M*= 7.25 Re(kpc)= 0.45 n= 1.40 fnuc= 0.007 g-r= 0.490 |
|
|
|
|
|
|
|
|
|
|
|
|
r_D_final |
| Qflags: fds_is_nuc= 0.0 FCCB664 main |
|
|
|
|
|
|
|
|
|
|
|
| FDS19_0304
GAL# 279 FDS DWARF CAT r_mag= 17.90 re(")= 10.32 class=e | Decomp (sersic+nuc): M*= 7.28 Re(kpc)= 0.91 n= 0.91 fnuc= 0.000 g-r= 0.657 |
|
|
|
|
|
|
|
|
|
|
|
|
r_D_final |
| Qflags: fds_is_nuc= 0.0 FCC52 main |
|
|
|
|
|
|
|
|
|
|
|
| FDS19_0380
GAL# 280 FDS DWARF CAT r_mag= 15.61 re(")= 12.16 class=e | Decomp (sersic+nuc): M*= 8.37 Re(kpc)= 1.20 n= 1.39 fnuc= 0.005 g-r= 0.722 |
|
|
|
|
|
|
|
|
|
|
|
|
r_ND_final |
| Qflags: fds_is_nuc= 1.0 FCC82 main |
|
|
|
|
|
|
|
|
|
|
|
| FDS19_0435
GAL# 281 FDS DWARF CAT r_mag= 21.15 re(")= 6.60 class=e | Decomp (sersic+nuc): M*= 5.84 Re(kpc)= 0.75 n= 0.57 fnuc= 0.023 g-r= 0.741 |
|
|
|
|
|
|
|
|
|
|
|
|
r_D_final |
| Qflags: star background snr uncertain fds_is_nuc= 0.0 main |
|
|
|
|
|
|
|
|
|
|
|
| FDS19_0491
GAL# 282 FDS DWARF CAT r_mag= 20.69 re(")= 2.90 class=e | Decomp (sersic+nuc): M*= 5.90 Re(kpc)= 0.25 n= 0.91 fnuc= 0.004 g-r= 0.304 |
|
|
|
|
|
|
|
|
|
|
|
|
r_D_final |
| Qflags: offcen fds_is_nuc= 0.0 main |
|
|
|
|
|
|
|
|
|
|
|
| FDS19_0613a
GAL# 283 FDS DWARF CAT r_mag= 20.74 re(")= 3.11 class=e | Decomp (sersic+nuc): M*= 6.06 Re(kpc)= 0.27 n= 0.88 fnuc= 0.000 g-r= 0.623 |
|
|
|
|
|
|
|
|
|
|
|
|
r_D_final |
| Qflags: star background fds_is_nuc= 0.0 main |
|
|
|
|
|
|
|
|
|
|
|
| FDS19_0613b
GAL# 284 FDS DWARF CAT r_mag= 21.05 re(")= 3.10 class=e | Decomp (sersic+nuc): M*= 5.91 Re(kpc)= 0.26 n= 0.72 fnuc= 0.006 g-r= 0.735 |
|
|
|
|
|
|
|
|
|
|
|
|
r_D_final |
| Qflags: star background fds_is_nuc= 0.0 main |
|
|
|
|
|
|
|
|
|
|
|
| FDS19_0772
GAL# 285 FDS DWARF CAT r_mag= 20.16 re(")= 2.47 class=e | Decomp (sersic+nuc): M*= 6.48 Re(kpc)= 0.21 n= 0.78 fnuc= 0.021 g-r= 0.617 |
|
|
|
|
|
|
|
|
|
|
|
|
r_D_final |
| Qflags: obscured fds_is_nuc= 0.0 main |
|
|
|
|
|
|
|
|
|
|
|
| FDS1_0014
GAL# 286 FDS DWARF CAT r_mag= 20.42 re(")= 4.99 class=e | Decomp (sersic+nuc): M*= 6.24 Re(kpc)= 0.43 n= 0.70 fnuc= 0.000 g-r= 0.497 |
|
|
|
|
|
|
|
|
|
|
|
|
r_D_final |
| Qflags: fds_is_nuc= 0.0 main |
|
|
|
|
|
|
|
|
|
|
|
| FDS1_0083
GAL# 287 FDS DWARF CAT r_mag= 17.38 re(")= 7.69 class=e | Decomp (sersic+nuc): M*= 7.59 Re(kpc)= 0.67 n= 0.94 fnuc= 0.000 g-r= 0.601 |
|
|
|
|
|
|
|
|
|
|
|
|
r_D_final |
| Qflags: fds_is_nuc= 0.0 FCCB1973 main |
|
|
|
|
|
|
|
|
|
|
|
| FDS1_0145
GAL# 288 FDS DWARF CAT r_mag= 16.69 re(")= 15.03 class=e | Decomp (sersic+nuc): M*= 7.87 Re(kpc)= 1.43 n= 1.06 fnuc= 0.000 g-r= 0.584 |
|
|
|
|
|
|
|
|
|
|
|
|
r_D_final |
| Qflags: fds_is_nuc= 0.0 FCC313 main |
|
|
|
|
|
|
|
|
|
|
|
| FDS1_0168
GAL# 289 FDS DWARF CAT r_mag= 18.70 re(")= 11.20 class=e | Decomp (sersic+nuc): M*= 7.08 Re(kpc)= 1.13 n= 0.66 fnuc= 0.001 g-r= 0.522 |
|
|
|
|
|
|
|
|
|
|
|
|
r_D_final |
| Qflags: fds_is_nuc= 0.0 main |
|
|
|
|
|
|
|
|
|
|
|
| FDS1_0242
GAL# 290 FDS DWARF CAT r_mag= 20.88 re(")= 2.76 class=e | Decomp (sersic+nuc): M*= 6.11 Re(kpc)= 0.25 n= 0.79 fnuc= 0.000 g-r= 0.467 |
|
|
|
|
|
|
|
|
|
|
|
|
r_D_final |
| Qflags: star background fds_is_nuc= 0.0 main |
|
|
|
|
|
|
|
|
|
|
|
| FDS1_0267
GAL# 291 FDS DWARF CAT r_mag= 21.13 re(")= 1.81 class=e | Decomp (sersic+nuc): M*= 6.12 Re(kpc)= 0.16 n= 0.82 fnuc= 0.014 g-r= 0.517 |
|
|
|
|
|
|
|
|
|
|
|
|
r_D_final |
| Qflags: star fds_is_nuc= 0.0 main |
|
|
|
|
|
|
|
|
|
|
|
| FDS1_0671
GAL# 292 FDS DWARF CAT r_mag= 21.22 re(")= 3.48 class=e | Decomp (sersic+nuc): M*= 5.93 Re(kpc)= 0.32 n= 0.88 fnuc= 0.000 g-r= 0.476 |
|
|
|
|
|
|
|
|
|
|
|
|
r_D_final |
| Qflags: star fds_is_nuc= 0.0 main |
|
|
|
|
|
|
|
|
|
|
|
| FDS20_0008
GAL# 293 FDS DWARF CAT r_mag= 17.14 re(")= 11.14 class=l | Decomp (sersic+nuc): M*= 7.34 Re(kpc)= 0.98 n= 0.82 fnuc= 0.000 g-r= 0.319 |
|
|
|
|
|
|
|
|
|
|
|
|
r_D_final |
| Qflags: star background fds_is_nuc= 0.0 FCC57 main |
|
|
|
|
|
|
|
|
|
|
|
| FDS20_0014
GAL# 294 FDS DWARF DUPLICATE | |
| FDS20_0031
GAL# 295 FDS DWARF CAT r_mag= 18.88 re(")= 9.96 class=e | Decomp (sersic+nuc): M*= 6.96 Re(kpc)= 0.96 n= 0.70 fnuc= 0.000 g-r= 0.625 |
|
|
|
|
|
|
|
|
|
|
|
|
r_D_final |
| Qflags: fds_is_nuc= 0.0 FCC72 main |
|
|
|
|
|
|
|
|
|
|
|
| FDS20_0048
GAL# 296 FDS DWARF CAT r_mag= 18.81 re(")= 4.41 class=e | Decomp (sersic+nuc): M*= 6.97 Re(kpc)= 0.39 n= 0.79 fnuc= 0.000 g-r= 0.557 |
|
|
|
|
|
|
|
|
|
|
|
|
r_D_final |
| Qflags: star background fds_is_nuc= 0.0 main |
|
|
|
|
|
|
|
|
|
|
|
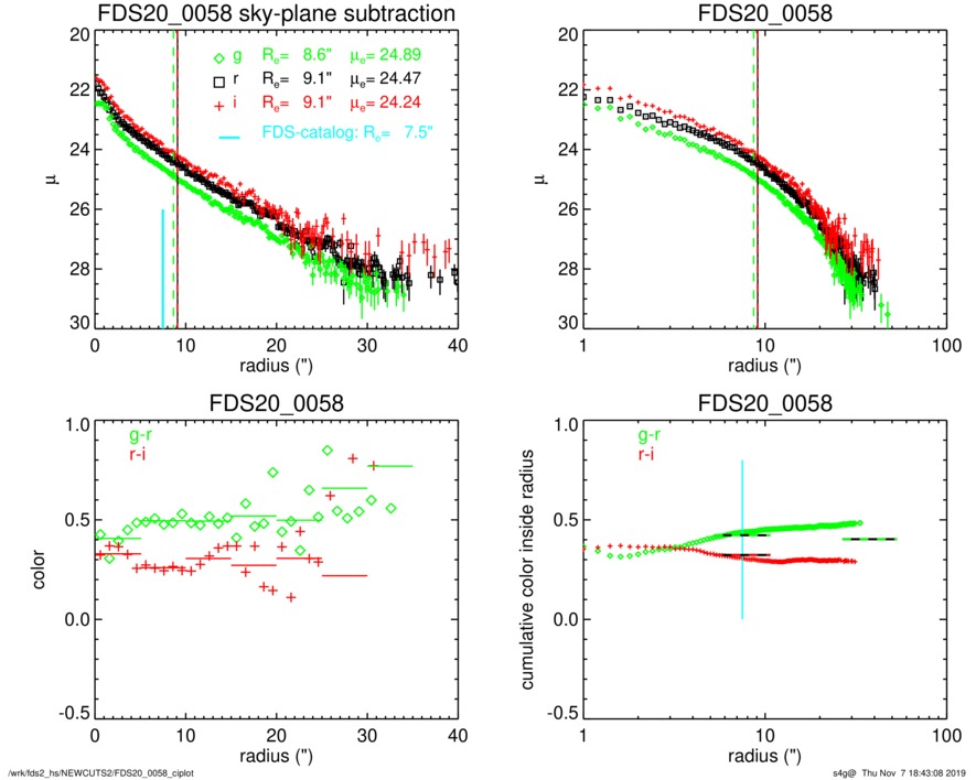
| FDS20_0058
GAL# 297 FDS DWARF CAT r_mag= 17.87 re(")= 9.10 class=e | Decomp (sersic+nuc): M*= 7.30 Re(kpc)= 0.88 n= 1.60 fnuc= 0.019 g-r= 0.487 |
|
|
|
|
|
|
|
|
|
|
|
|
r_ND_final |
| Qflags: fds_is_nuc= 1.0 FCCB386 main |
|
|
|
|
|
|
|
|
|
|
|
| FDS20_0100
GAL# 298 FDS DWARF CAT r_mag= 18.27 re(")= 5.54 class=l | Decomp (sersic+nuc): M*= 6.85 Re(kpc)= 0.54 n= 0.83 fnuc= 0.000 g-r= 0.287 |
|
|
|
|
|
|
|
|
|
|
|
|
r_D_final |
| Qflags: star fds_is_nuc= 0.0 main |
|
|
|
|
|
|
|
|
|
|
|
| FDS20_0118
GAL# 299 FDS DWARF CAT r_mag= 19.85 re(")= 4.65 class=e | Decomp (sersic+nuc): M*= 6.52 Re(kpc)= 0.58 n= 0.72 fnuc= 0.001 g-r= 0.540 |
|
|
|
|
|
|
|
|
|
|
|
|
r_D_final |
| Qflags: star background fds_is_nuc= 0.0 FCC71 main |
|
|
|
|
|
|
|
|
|
|
|