| FDS11_0003
GAL# 0 FDS BRIGHT r_mag= 8.26 re(")=177.82 | Decomp (sersic+nuc): M*= 11.58 Re(kpc)= 29.87 n= 8.07 fnuc= 0.000 g-r= 0.874 |
|
|
|
|
|
|
|
|
|
|
|
|
r_BD_final |
| Qflags: star obscured fds_is_nuc= 0.0 main |
|
|
|
|
|
|
|
|
|
|
|
| FDS26_0001
GAL# 1 FDS BRIGHT r_mag= 7.97 re(")=102.35 | Decomp (sersic+nuc): M*= 11.57 Re(kpc)= 12.17 n= 4.26 fnuc= 0.000 g-r= 0.742 |
|
|
|
|
|
|
|
|
|
|
|
|
r_BD_final |
| Qflags: star fds_is_nuc= 0.0 main |
|
|
|
|
|
|
|
|
|
|
|
| FDS11_0166
GAL# 2 FDS BRIGHT r_mag= 9.31 re(")= 38.97 | Decomp (sersic+nuc): M*= 11.03 Re(kpc)= 3.13 n= 4.04 fnuc= 0.000 g-r= 0.817 |
|
|
|
|
|
|
|
|
|
|
|
|
r_BD_final |
| Qflags: star obscured background uncertain fds_is_nuc= 0.0 ESO358-46 FCC219 NGC1404 main |
|
|
|
|
|
|
|
|
|
|
|
| FDS17_0365
GAL# 3 FDS BRIGHT r_mag= 9.05 re(")=109.60 | Decomp (sersic+nuc): M*= 11.21 Re(kpc)= 13.76 n= 3.39 fnuc= 0.003 g-r= 0.801 |
|
|
|
|
|
|
|
|
|
|
|
|
r_NblbarD_final |
| Qflags: fds_is_nuc= 1.0 ESO358-17 FCC121 NGC1365 main |
|
|
|
|
|
|
|
|
|
|
|
| FDS11_0006
GAL# 4 FDS BRIGHT r_mag= 9.50 re(")= 45.94 | Decomp (sersic+nuc): M*= 10.95 Re(kpc)= 4.48 n= 2.98 fnuc= 0.002 g-r= 0.767 |
|
|
|
|
|
|
|
|
|
|
|
|
r_BblbarDD_final |
| Qflags: fds_is_nuc= 0.0 ESO358-28 FCC167 NGC1380 main |
|
|
|
|
|
|
|
|
|
|
|
| FDS14_0133
GAL# 5 FDS BRIGHT r_mag= 9.90 re(")= 61.68 | Decomp (sersic+nuc): M*= 10.98 Re(kpc)= 14.35 n= 6.30 fnuc= 0.001 g-r= 0.814 |
|
|
|
|
|
|
|
|
|
|
|
|
r_BblbarDD_final |
| Qflags: star obscured background skyplane fds_is_nuc= 0.0 ESO358-13 FCC88 NGC1350 main |
|
|
|
|
|
|
|
|
|
|
|
| FDS11_0001
GAL# 6 FDS BRIGHT r_mag= 10.19 re(")= 28.84 | Decomp (sersic+nuc): M*= 10.81 Re(kpc)= 3.56 n= 5.54 fnuc= 0.000 g-r= 0.905 |
|
|
|
|
|
|
|
|
|
|
|
|
r_BbarD_final |
| Qflags: fds_is_nuc= 0.0 ESO358-36 FCC184 NGC1387 main |
|
|
|
|
|
|
|
|
|
|
|
| FDS25_0000
GAL# 7 FDS BRIGHT r_mag= 10.11 re(")= 32.11 | Decomp (sersic+nuc): M*= 10.74 Re(kpc)= 3.92 n= 5.06 fnuc= 0.000 g-r= 0.779 |
|
|
|
|
|
|
|
|
|
|
|
|
r_NblbarD_final |
| Qflags: star fds_is_nuc= 1.0 ESO357-26 FCC29 NGC1326 main |
|
|
|
|
|
|
|
|
|
|
|
| FDS6_0001
GAL# 8 FDS BRIGHT r_mag= 10.46 re(")= 36.73 | Decomp (sersic+nuc): M*= 10.58 Re(kpc)= 4.80 n= 5.04 fnuc= 0.006 g-r= 0.735 |
|
|
|
|
|
|
|
|
|
|
|
|
r_BDD_final |
| Qflags: uncertain fds_is_nuc= 0.0 ESO358-52 FCC276 NGC1427 main |
|
|
|
|
|
|
|
|
|
|
|
| FDS26_0254
GAL# 9 FDS BRIGHT r_mag= 10.39 re(")= 34.83 | Decomp (sersic+nuc): M*= 10.70 Re(kpc)= 4.99 n= 5.87 fnuc= 0.000 g-r= 0.792 |
|
|
|
|
|
|
|
|
|
|
|
|
r_BbarbarD_final |
| Qflags: obscured background skyplane fds_is_nuc= 0.0 ESO357-23 FCC22 NGC1318 main |
|
|
|
|
|
|
|
|
|
|
|
| FDS11_0002
GAL# 10 FDS BRIGHT r_mag= 10.66 re(")= 28.65 | Decomp (sersic+nuc): M*= 10.42 Re(kpc)= 2.71 n= 2.67 fnuc= 0.012 g-r= 0.779 |
|
|
|
|
|
|
|
|
|
|
|
|
r_BDD_final |
| Qflags: offcen fds_is_nuc= 0.0 ESO358-27 FCC161 NGC1379 main |
|
|
|
|
|
|
|
|
|
|
|
| FDS16_0001
GAL# 11 FDS BRIGHT r_mag= 10.63 re(")= 25.75 | Decomp (sersic+nuc): M*= 10.42 Re(kpc)= 3.00 n= 4.40 fnuc= 0.006 g-r= 0.752 |
|
|
|
|
|
|
|
|
|
|
|
|
r_BDD_final |
| Qflags: star fds_is_nuc= 0.0 ESO358-23 FCC147 NGC1374 main |
|
|
|
|
|
|
|
|
|
|
|
| FDS19_0000
GAL# 12 FDS BRIGHT r_mag= 10.97 re(")= 30.48 | Decomp (sersic+nuc): M*= 10.42 Re(kpc)= 4.34 n= 5.89 fnuc= 0.000 g-r= 0.804 |
|
|
|
|
|
|
|
|
|
|
|
|
r_BDD_final |
| Qflags: star fds_is_nuc= 0.0 ESO358-12 FCC83 NGC1351 main |
|
|
|
|
|
|
|
|
|
|
|
| FDS12_0003
GAL# 13 FDS BRIGHT r_mag= 10.84 re(")= 29.70 | Decomp (sersic+nuc): M*= 10.43 Re(kpc)= 3.53 n= 3.16 fnuc= 0.020 g-r= 0.748 |
|
|
|
|
|
|
|
|
|
|
|
|
r_BD_final |
| Qflags: star skyplane fds_is_nuc= 0.0 ESO358-35 FCC179 NGC1386 main |
|
|
|
|
|
|
|
|
|
|
|
| FDS11_0000
GAL# 14 FDS BRIGHT r_mag= 11.03 re(")= 20.06 | Decomp (sersic+nuc): M*= 10.25 Re(kpc)= 1.64 n= 3.14 fnuc= 0.002 g-r= 0.744 |
|
|
|
|
|
|
|
|
|
|
|
|
r_BbarD_final |
| Qflags: star obscured fds_is_nuc= 0.0 ESO358-38 FCC193 NGC1389 main |
|
|
|
|
|
|
|
|
|
|
|
| FDS11_0004
GAL# 15 FDS BRIGHT r_mag= 11.12 re(")= 12.48 | Decomp (sersic+nuc): M*= 10.28 Re(kpc)= 1.80 n= 2.64 fnuc= 0.018 g-r= 0.823 |
|
|
|
|
|
|
|
|
|
|
|
|
r_BZZ_final |
| Qflags: fds_is_nuc= 0.0 ESO358-29 FCC170 NGC1381 main |
|
|
|
|
|
|
|
|
|
|
|
| FDS6_0000
GAL# 16 FDS BRIGHT r_mag= 11.28 re(")= 44.99 | Decomp (sersic+nuc): M*= 10.13 Re(kpc)= 4.68 n= 0.94 fnuc= 0.005 g-r= 0.684 |
|
|
|
|
|
|
|
|
|
|
|
|
r_BbarDD_final |
| Qflags: star background fds_is_nuc= 0.0 290 NGC1437 main |
|
|
|
|
|
|
|
|
|
|
|
| FDS1_0000
GAL# 17 FDS BRIGHT r_mag= 11.49 re(")= 76.31 | Decomp (sersic+nuc): M*= 10.05 Re(kpc)= 6.37 n= 1.48 fnuc= 0.001 g-r= 0.691 |
|
|
|
|
|
|
|
|
|
|
|
|
r_DD_final |
| Qflags: star fds_is_nuc= 0.0 ESO358-63 FCC312 main |
|
|
|
|
|
|
|
|
|
|
|
| FDS13_0000
GAL# 18 FDS BRIGHT r_mag= 11.93 re(")= 16.07 | Decomp (sersic+nuc): M*= 9.88 Re(kpc)= 0.92 n= 4.02 fnuc= 0.000 g-r= 0.802 |
|
|
|
|
|
|
|
|
|
|
|
|
r_BD_final |
| Qflags: fds_is_nuc= 0.0 ESO301-23 FCC249 NGC1419 main |
|
|
|
|
|
|
|
|
|
|
|
| FDS15_0002
GAL# 19 FDS BRIGHT r_mag= 11.99 re(")= 14.52 | Decomp (sersic+nuc): M*= 10.01 Re(kpc)= 2.41 n= 1.64 fnuc= 0.007 g-r= 0.749 |
|
|
|
|
|
|
|
|
|
|
|
|
r_NZZ_final |
| Qflags: fds_is_nuc= 1.0 ESO358-26 FCC153 main |
|
|
|
|
|
|
|
|
|
|
|
| FDS10_0000
GAL# 20 FDS BRIGHT r_mag= 12.14 re(")= 22.65 | Decomp (sersic+nuc): M*= 9.81 Re(kpc)= 2.89 n= 1.33 fnuc= 0.012 g-r= 0.723 |
|
|
|
|
|
|
|
|
|
|
|
|
r_BbarZZ_final |
| Qflags: star fds_is_nuc= 0.0 ESO358-33 FCC177 NGC1380 main |
|
|
|
|
|
|
|
|
|
|
|
| FDS20_0000
GAL# 21 FDS BRIGHT r_mag= 12.07 re(")= 28.30 | Decomp (sersic+nuc): M*= 9.89 Re(kpc)= 4.05 n= 4.63 fnuc= 0.016 g-r= 0.627 |
|
|
|
|
|
|
|
|
|
|
|
|
r_NBD_final |
| Qflags: star background skyplane fds_is_nuc= 1.0 ESO358-2 FCC47 NGC1336 main |
|
|
|
|
|
|
|
|
|
|
|
| FDS12_0002
GAL# 22 FDS BRIGHT r_mag= 12.32 re(")= 29.85 | Decomp (sersic+nuc): M*= 9.82 Re(kpc)= 3.91 n= 2.07 fnuc= 0.011 g-r= 0.683 |
|
|
|
|
|
|
|
|
|
|
|
|
r_NblbarD_final |
| Qflags: star background skyplane fds_is_nuc= 1.0 176 NGC1392 main |
|
|
|
|
|
|
|
|
|
|
|
| FDS11_0005
GAL# 23 FDS BRIGHT r_mag= 12.28 re(")= 20.64 | Decomp (sersic+nuc): M*= 9.72 Re(kpc)= 1.66 n= 1.86 fnuc= 0.004 g-r= 0.846 |
|
|
|
|
|
|
|
|
|
|
|
|
r_BblbarD_final |
| Qflags: fds_is_nuc= 0.0 190 NGC1382 main |
|
|
|
|
|
|
|
|
|
|
|
| FDS16_0000
GAL# 24 FDS BRIGHT r_mag= 11.92 re(")= 23.04 | Decomp (sersic+nuc): M*= 9.71 Re(kpc)= 2.38 n= 2.37 fnuc= 0.027 g-r= 0.645 |
|
|
|
|
|
|
|
|
|
|
|
|
r_BblD_final |
| Qflags: obscured fds_is_nuc= 0.0 ESO358-24 FCC148 NGC1375 main |
|
|
|
|
|
|
|
|
|
|
|
| FDS7_0737
GAL# 25 FDS BRIGHT r_mag= 12.19 re(")= 26.84 | Decomp (sersic+nuc): M*= 9.85 Re(kpc)= 2.98 n= 2.41 fnuc= 0.006 g-r= 0.746 |
|
|
|
|
|
|
|
|
|
|
|
|
r_NblbarD_final |
| Qflags: star fds_is_nuc= 1.0 ESO358-62 FCC310 NGC1460 main |
|
|
|
|
|
|
|
|
|
|
|
| FDS22_0000
GAL# 26 FDS BRIGHT r_mag= 12.02 re(")= 17.98 | Decomp (sersic+nuc): M*= 9.62 Re(kpc)= 1.93 n= 1.48 fnuc= 0.003 g-r= 0.532 |
|
|
|
|
|
|
|
|
|
|
|
|
r_barD_final |
| Qflags: fds_is_nuc= 0.0 ESO358-8 FCC62 NGC1341 main |
|
|
|
|
|
|
|
|
|
|
|
| FDS28_0420
GAL# 27 FDS BRIGHT r_mag= 12.10 re(")= 27.07 | Decomp (sersic+nuc): M*= 9.63 Re(kpc)= 2.65 n= 1.16 fnuc= 0.002 g-r= 0.547 |
|
|
|
|
|
|
|
|
|
|
|
|
r_barD_final |
| Qflags: fds_is_nuc= 0.0 ESO357-19 FCC13 NGC1310 main |
|
|
|
|
|
|
|
|
|
|
|
| FDS6_0002
GAL# 28 FDS DWARF CAT r_mag= 12.61 re(")= 13.34 class=e(s) | Decomp (sersic+nuc): M*= 9.59 Re(kpc)= 1.10 n= 1.74 fnuc= 0.002 g-r= 0.710 |
|
|
|
|
|
|
|
|
|
|
|
|
r_BD_final |
| Qflags: star obscured fds_is_nuc= 0.0 FCC277 main |
|
|
|
|
|
|
|
|
|
|
|
| FDS4_0001
GAL# 29 FDS DWARF CAT r_mag= 12.65 re(")= 16.05 class=e(s) | Decomp (sersic+nuc): M*= 9.53 Re(kpc)= 1.87 n= 1.81 fnuc= 0.000 g-r= 0.680 |
|
|
|
|
|
|
|
|
|
|
|
|
r_NbarDD_final |
| Qflags: star obscured fds_is_nuc= 1.0 255 main |
|
|
|
|
|
|
|
|
|
|
|
| FDS7_0736
GAL# 30 FDS BRIGHT r_mag= 12.84 re(")= 38.71 | Decomp (sersic+nuc): M*= 9.49 Re(kpc)= 3.60 n= 1.44 fnuc= 0.000 g-r= 0.683 |
|
|
|
|
|
|
|
|
|
|
|
|
r_D_final |
| Qflags: star background fds_is_nuc= 0.0 ESO358-61 FCC308 NGC1437B main |
|
|
|
|
|
|
|
|
|
|
|
| FDS7_0000
GAL# 31 FDS DWARF CAT r_mag= 12.89 re(")= 9.88 class=e(s) | Decomp (sersic+nuc): M*= 9.47 Re(kpc)= 0.99 n= 2.60 fnuc= 0.000 g-r= 0.721 |
|
|
|
|
|
|
|
|
|
|
|
|
r_barDD_final |
| Qflags: fds_is_nuc= 0.0 301 main |
|
|
|
|
|
|
|
|
|
|
|
| FDS19_0001
GAL# 32 FDS DWARF CAT r_mag= 13.02 re(")= 13.66 class=e(s) | Decomp (sersic+nuc): M*= 9.45 Re(kpc)= 1.45 n= 1.07 fnuc= 0.006 g-r= 0.767 |
|
|
|
|
|
|
|
|
|
|
|
|
r_ND_final |
| Qflags: star obscured background uncertain skyplane fds_is_nuc= 1.0 5 main |
|
|
|
|
|
|
|
|
|
|
|
| FDS26_0000
GAL# 33 FDS DWARF CAT r_mag= 12.91 re(")= 20.69 class=l | Decomp (sersic+nuc): M*= 9.23 Re(kpc)= 1.87 n= 0.70 fnuc= 0.000 g-r= 0.564 |
|
|
|
|
|
|
|
|
|
|
|
|
r_D_final |
| Qflags: star fds_is_nuc= 0.0 main |
|
|
|
|
|
|
|
|
|
|
|
| FDS16_0002
GAL# 34 FDS DWARF CAT r_mag= 12.98 re(")= 8.57 class=e(s) | Decomp (sersic+nuc): M*= 9.45 Re(kpc)= 0.95 n= 3.91 fnuc= 0.002 g-r= 0.729 |
|
|
|
|
|
|
|
|
|
|
|
|
r_BbarD_final |
| Qflags: fds_is_nuc= 0.0 FCC143 NGC1373 main |
|
|
|
|
|
|
|
|
|
|
|
| FDS26_0003
GAL# 35 FDS DWARF CAT r_mag= 13.38 re(")= 15.51 class=l | Decomp (sersic+nuc): M*= 9.30 Re(kpc)= 1.68 n= 1.15 fnuc= 0.003 g-r= 0.676 |
|
|
|
|
|
|
|
|
|
|
|
|
r_NbarD_final |
| Qflags: fds_is_nuc= 1.0 33 main |
|
|
|
|
|
|
|
|
|
|
|
| FDS2_0000
GAL# 36 FDS DWARF CAT r_mag= 13.33 re(")= 16.77 class=e | Decomp (sersic+nuc): M*= 9.25 Re(kpc)= 1.44 n= 1.17 fnuc= 0.006 g-r= 0.696 |
|
|
|
|
|
|
|
|
|
|
|
|
r_NDD_final |
| Qflags: fds_is_nuc= 1.0 35 main |
|
|
|
|
|
|
|
|
|
|
|
| FDS20_0334
GAL# 37 FDS DWARF CAT r_mag= 13.67 re(")= 14.06 class=e(s) | Decomp (sersic+nuc): M*= 9.34 Re(kpc)= 1.50 n= 4.42 fnuc= 0.000 g-r= 0.845 |
|
|
|
|
|
|
|
|
|
|
|
|
r_BD_final |
| Qflags: fds_is_nuc= 0.0 MCG-06-08-017 main |
|
|
|
|
|
|
|
|
|
|
|
| FDS25_0001
GAL# 38 FDS DWARF CAT r_mag= 12.62 re(")= 56.36 class=l | Decomp (sersic+nuc): M*= 9.19 Re(kpc)= 6.67 n= 0.90 fnuc= 0.000 g-r= 0.340 |
|
|
|
|
|
|
|
|
|
|
|
|
r_Z_final |
| Qflags: fds_is_nuc= 0.0 39 main |
|
|
|
|
|
|
|
|
|
|
|
| FDS11_0279
GAL# 39 FDS DWARF CAT r_mag= 13.63 re(")= 9.99 class=e(s)* | Decomp (sersic+nuc): M*= 9.19 Re(kpc)= 0.97 n= 2.42 fnuc= 0.000 g-r= 0.804 |
|
|
|
|
|
|
|
|
|
|
|
|
r_barD_final |
| Qflags: fds_is_nuc= 0.0 FCC182 MCG-06-09-008 main |
|
|
|
|
|
|
|
|
|
|
|
| FDS11_0519
GAL# 40 FDS DWARF CAT r_mag= 12.76 re(")= 41.74 class=l | Decomp (sersic+nuc): M*= 9.08 Re(kpc)= 4.31 n= 0.70 fnuc= 0.000 g-r= 0.343 |
|
|
|
|
|
|
|
|
|
|
|
|
r_barD_final |
| Qflags: offcen fds_is_nuc= 0.0 main |
|
|
|
|
|
|
|
|
|
|
|
| FDS5_0000
GAL# 41 FDS DWARF CAT r_mag= 13.18 re(")= 17.12 class=l | Decomp (sersic+nuc): M*= 9.09 Re(kpc)= 1.70 n= 1.39 fnuc= 0.000 g-r= 0.546 |
|
|
|
|
|
|
|
|
|
|
|
|
r_barD_final |
| Qflags: snr fds_is_nuc= 0.0 263 main |
|
|
|
|
|
|
|
|
|
|
|
| FDS16_0159
GAL# 42 FDS DWARF CAT r_mag= 13.73 re(")= 17.94 class=e | Decomp (sersic+nuc): M*= 9.12 Re(kpc)= 1.86 n= 2.04 fnuc= 0.004 g-r= 0.781 |
|
|
|
|
|
|
|
|
|
|
|
|
r_ND_final |
| Qflags: star fds_is_nuc= 1.0 FCC136 MCG-06-08-027 main |
|
|
|
|
|
|
|
|
|
|
|
| FDS4_0000
GAL# 43 FDS DWARF CAT r_mag= 13.72 re(")= 13.66 class=e(s) | Decomp (sersic+nuc): M*= 9.04 Re(kpc)= 1.29 n= 0.96 fnuc= 0.000 g-r= 0.661 |
|
|
|
|
|
|
|
|
|
|
|
|
r_D_final |
| Qflags: uncertain fds_is_nuc= 0.0 FCC282 MCG-06-09-023 main |
|
|
|
|
|
|
|
|
|
|
|
| FDS25_0241
GAL# 44 FDS DWARF CAT r_mag= 13.36 re(")= 30.41 class=l | Decomp (sersic+nuc): M*= 9.04 Re(kpc)= 3.44 n= 1.12 fnuc= 0.000 g-r= 0.440 |
|
|
|
|
|
|
|
|
|
|
|
|
r_barD_final |
| Qflags: fds_is_nuc= 0.0 FCC37 main |
|
|
|
|
|
|
|
|
|
|
|
| FDS31_0196
GAL# 45 FDS DWARF CAT r_mag= 13.88 re(")= 24.88 class=e | Decomp (sersic+nuc): M*= 8.99 Re(kpc)= 2.48 n= 1.44 fnuc= 0.001 g-r= 0.629 |
|
|
|
|
|
|
|
|
|
|
|
|
r_ND_final |
| Qflags: fds_is_nuc= 1.0 76 main |
|
|
|
|
|
|
|
|
|
|
|
| FDS17_0227
GAL# 46 FDS DWARF CAT r_mag= 13.91 re(")= 11.63 class=l | Decomp (sersic+nuc): M*= 8.78 Re(kpc)= 0.88 n= 2.53 fnuc= 0.001 g-r= 0.524 |
|
|
|
|
|
|
|
|
|
|
|
|
r_BbarD_final |
| Qflags: obscured fds_is_nuc= 0.0 FCC90 MCG-06-08-024 main |
|
|
|
|
|
|
|
|
|
|
|
| FDS11_0235
GAL# 47 FDS DWARF CAT r_mag= 14.15 re(")= 13.73 class=e* | Decomp (sersic+nuc): M*= 8.94 Re(kpc)= 1.27 n= 1.57 fnuc= 0.003 g-r= 0.698 |
|
|
|
|
|
|
|
|
|
|
|
|
r_ND_final |
| Qflags: background fds_is_nuc= 1.0 FCC202 NGC1396 main |
|
|
|
|
|
|
|
|
|
|
|
| FDS14_0144
GAL# 48 FDS DWARF CAT r_mag= 14.15 re(")= 14.26 class=e(s) | Decomp (sersic+nuc): M*= 8.91 Re(kpc)= 1.34 n= 1.44 fnuc= 0.003 g-r= 0.705 |
|
|
|
|
|
|
|
|
|
|
|
|
r_ND_final |
| Qflags: fds_is_nuc= 1.0 FCC119 main |
|
|
|
|
|
|
|
|
|
|
|
| FDS15_0417
GAL# 49 FDS DWARF CAT r_mag= 14.06 re(")= 11.82 class=e(s) | Decomp (sersic+nuc): M*= 8.92 Re(kpc)= 1.12 n= 2.14 fnuc= 0.002 g-r= 0.672 |
|
|
|
|
|
|
|
|
|
|
|
|
r_NbarDD_final |
| Qflags: fds_is_nuc= 1.0 FCC106 main |
|
|
|
|
|
|
|
|
|
|
|
| FDS16_0417
GAL# 50 FDS DWARF CAT r_mag= 14.53 re(")= 19.84 class=e* | Decomp (sersic+nuc): M*= 8.75 Re(kpc)= 1.88 n= 1.26 fnuc= 0.004 g-r= 0.709 |
|
|
|
|
|
|
|
|
|
|
|
|
r_NDD_final |
| Qflags: background fds_is_nuc= 1.0 FCC100 main |
|
|
|
|
|
|
|
|
|
|
|
| FDS31_0230
GAL# 51 FDS DWARF CAT r_mag= 14.04 re(")= 26.42 class=l | Decomp (sersic+nuc): M*= 8.76 Re(kpc)= 2.52 n= 0.53 fnuc= 0.002 g-r= 0.457 |
|
|
|
|
|
|
|
|
|
|
|
|
r_D_final |
| Qflags: uncertain offcen fds_is_nuc= 2.0 main |
|
|
|
|
|
|
|
|
|
|
|
| FDS7_0001
GAL# 52 FDS DWARF CAT r_mag= 14.47 re(")= 15.49 class=e* | Decomp (sersic+nuc): M*= 8.77 Re(kpc)= 1.48 n= 1.28 fnuc= 0.016 g-r= 0.653 |
|
|
|
|
|
|
|
|
|
|
|
|
r_ND_final |
| Qflags: fds_is_nuc= 1.0 FCC303 main |
|
|
|
|
|
|
|
|
|
|
|
| FDS4_0002
GAL# 53 FDS DWARF CAT r_mag= 14.49 re(")= 16.05 class=e(s) | Decomp (sersic+nuc): M*= 8.75 Re(kpc)= 1.50 n= 1.02 fnuc= 0.001 g-r= 0.678 |
|
|
|
|
|
|
|
|
|
|
|
|
r_NbarD_final |
| Qflags: fds_is_nuc= 1.0 main |
|
|
|
|
|
|
|
|
|
|
|
| FDS15_0384
GAL# 54 FDS DWARF CAT r_mag= 14.58 re(")= 17.89 class=e(s) | Decomp (sersic+nuc): M*= 8.74 Re(kpc)= 1.52 n= 1.49 fnuc= 0.004 g-r= 0.633 |
|
|
|
|
|
|
|
|
|
|
|
|
r_ND_final |
| Qflags: fds_is_nuc= 1.0 135 main |
|
|
|
|
|
|
|
|
|
|
|
| FDS7_0360
GAL# 55 FDS DWARF CAT r_mag= 13.49 re(")= 31.92 class=l | Decomp (sersic+nuc): M*= 8.80 Re(kpc)= 3.33 n= 1.18 fnuc= 0.000 g-r= 0.403 |
|
|
|
|
|
|
|
|
|
|
|
|
r_D_final |
| Qflags: offcen fds_is_nuc= 0.0 main |
|
|
|
|
|
|
|
|
|
|
|
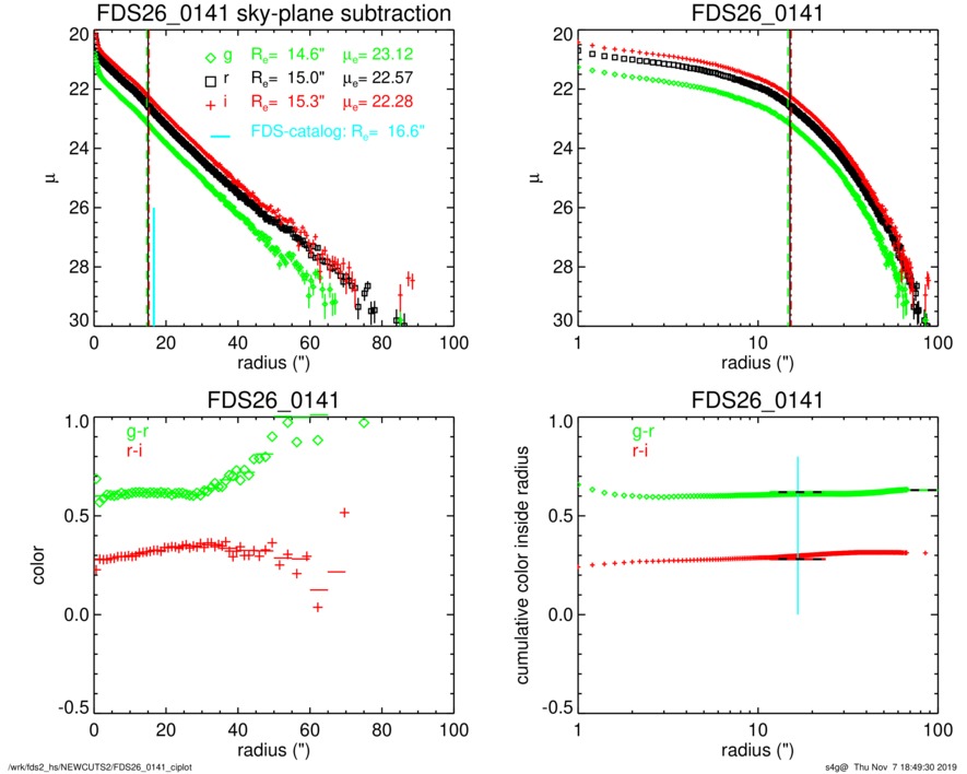
| FDS26_0141
GAL# 56 FDS DWARF CAT r_mag= 14.56 re(")= 15.03 class=e(s) | Decomp (sersic+nuc): M*= 8.69 Re(kpc)= 1.58 n= 0.98 fnuc= 0.005 g-r= 0.612 |
|
|
|
|
|
|
|
|
|
|
|
|
r_NbarD_final |
| Qflags: fds_is_nuc= 1.0 main |
|
|
|
|
|
|
|
|
|
|
|
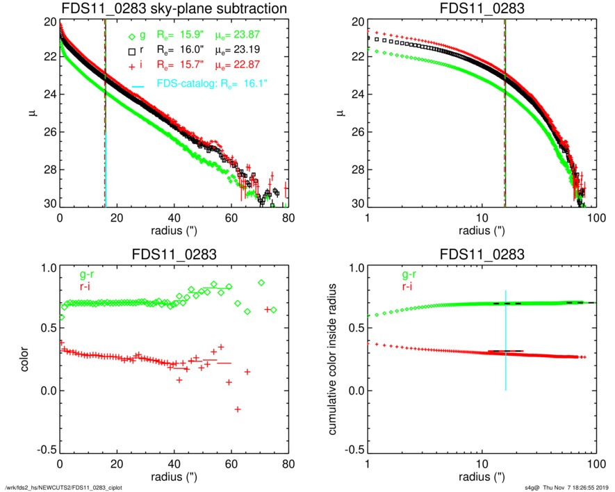
| FDS11_0283
GAL# 57 FDS DWARF CAT r_mag= 14.58 re(")= 16.03 class=e* | Decomp (sersic+nuc): M*= 8.77 Re(kpc)= 1.58 n= 1.33 fnuc= 0.003 g-r= 0.698 |
|
|
|
|
|
|
|
|
|
|
|
|
r_ND_final |
| Qflags: star background skyplane fds_is_nuc= 1.0 FCC222 main |
|
|
|
|
|
|
|
|
|
|
|
| FDS10_0189
GAL# 58 FDS DWARF CAT r_mag= 14.52 re(")= 17.72 class=e(s) | Decomp (sersic+nuc): M*= 8.79 Re(kpc)= 1.63 n= 1.45 fnuc= 0.000 g-r= 0.670 |
|
|
|
|
|
|
|
|
|
|
|
|
r_barDD_final |
| Qflags: fds_is_nuc= 0.0 203 main |
|
|
|
|
|
|
|
|
|
|
|
| FDS17_0188
GAL# 59 FDS DWARF CAT r_mag= 14.83 re(")= 7.71 class=e* | Decomp (sersic+nuc): M*= 8.73 Re(kpc)= 0.74 n= 1.67 fnuc= 0.004 g-r= 0.647 |
|
|
|
|
|
|
|
|
|
|
|
|
r_ND_final |
| Qflags: fds_is_nuc= 1.0 FCC150 main |
|
|
|
|
|
|
|
|
|
|
|
| FDS11_0069
GAL# 60 FDS DWARF CAT r_mag= 15.04 re(")= 11.13 class=e* | Decomp (sersic+nuc): M*= 8.66 Re(kpc)= 1.14 n= 1.42 fnuc= 0.031 g-r= 0.697 |
|
|
|
|
|
|
|
|
|
|
|
|
r_ND_final |
| Qflags: fds_is_nuc= 1.0 FCC252 main |
|
|
|
|
|
|
|
|
|
|
|
| FDS11_0458
GAL# 61 FDS DWARF CAT r_mag= 15.08 re(")= 13.52 class=e* | Decomp (sersic+nuc): M*= 8.57 Re(kpc)= 1.37 n= 1.40 fnuc= 0.003 g-r= 0.624 |
|
|
|
|
|
|
|
|
|
|
|
|
r_ND_final |
| Qflags: star background skyplane fds_is_nuc= 1.0 FCC245 main |
|
|
|
|
|
|
|
|
|
|
|
| FDS17_0325
GAL# 62 FDS DWARF CAT r_mag= 15.09 re(")= 15.49 class=e* | Decomp (sersic+nuc): M*= 8.54 Re(kpc)= 1.60 n= 1.50 fnuc= 0.001 g-r= 0.697 |
|
|
|
|
|
|
|
|
|
|
|
|
r_ND_final |
| Qflags: star fds_is_nuc= 1.0 FCC116 main |
|
|
|
|
|
|
|
|
|
|
|
| FDS2_0002
GAL# 63 FDS DWARF CAT r_mag= 14.76 re(")= 12.59 class=e | Decomp (sersic+nuc): M*= 8.73 Re(kpc)= 1.11 n= 1.85 fnuc= 0.011 g-r= 0.722 |
|
|
|
|
|
|
|
|
|
|
|
|
r_ND_final |
| Qflags: star background skyplane fds_is_nuc= 1.0 FCC332 main |
|
|
|
|
|
|
|
|
|
|
|
| FDS7_0326
GAL# 64 FDS DWARF CAT r_mag= 14.95 re(")= 22.01 class=e* | Decomp (sersic+nuc): M*= 8.58 Re(kpc)= 2.15 n= 1.16 fnuc= 0.006 g-r= 0.682 |
|
|
|
|
|
|
|
|
|
|
|
|
r_ND_final |
| Qflags: uncertain fds_is_nuc= 1.0 FCC300 main |
|
|
|
|
|
|
|
|
|
|
|
| FDS6_0455
GAL# 65 FDS DWARF CAT r_mag= 15.19 re(")= 7.11 class=e* | Decomp (sersic+nuc): M*= 8.51 Re(kpc)= 0.68 n= 1.25 fnuc= 0.007 g-r= 0.668 |
|
|
|
|
|
|
|
|
|
|
|
|
r_ND_final |
| Qflags: star obscured fds_is_nuc= 1.0 FCC266 main |
|
|
|
|
|
|
|
|
|
|
|
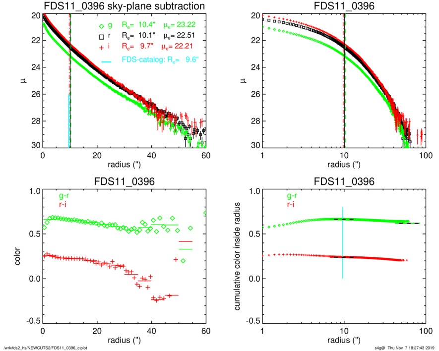
| FDS11_0396
GAL# 66 FDS DWARF CAT r_mag= 14.96 re(")= 10.10 class=e | Decomp (sersic+nuc): M*= 8.53 Re(kpc)= 0.91 n= 1.44 fnuc= 0.003 g-r= 0.669 |
|
|
|
|
|
|
|
|
|
|
|
|
r_ND_final |
| Qflags: star background skyplane fds_is_nuc= 1.0 FCC207 main |
|
|
|
|
|
|
|
|
|
|
|
| FDS15_0107
GAL# 67 FDS DWARF CAT r_mag= 14.48 re(")= 19.04 class=l | Decomp (sersic+nuc): M*= 8.48 Re(kpc)= 1.85 n= 1.23 fnuc= 0.001 g-r= 0.478 |
|
|
|
|
|
|
|
|
|
|
|
|
r_D_final |
| Qflags: offcen fds_is_nuc= 2.0 113 main |
|
|
|
|
|
|
|
|
|
|
|
| FDS13_0299
GAL# 68 FDS DWARF CAT r_mag= 15.14 re(")= 19.37 class=e(s) | Decomp (sersic+nuc): M*= 8.48 Re(kpc)= 1.89 n= 0.96 fnuc= 0.001 g-r= 0.608 |
|
|
|
|
|
|
|
|
|
|
|
|
r_D_final |
| Qflags: star background skyplane fds_is_nuc= 0.0 206 main |
|
|
|
|
|
|
|
|
|
|
|
| FDS11_0155
GAL# 69 FDS DWARF CAT r_mag= 15.23 re(")= 12.43 class=e* | Decomp (sersic+nuc): M*= 8.47 Re(kpc)= 1.19 n= 0.98 fnuc= 0.012 g-r= 0.692 |
|
|
|
|
|
|
|
|
|
|
|
|
r_ND_final |
| Qflags: star fds_is_nuc= 1.0 FCC188 main |
|
|
|
|
|
|
|
|
|
|
|
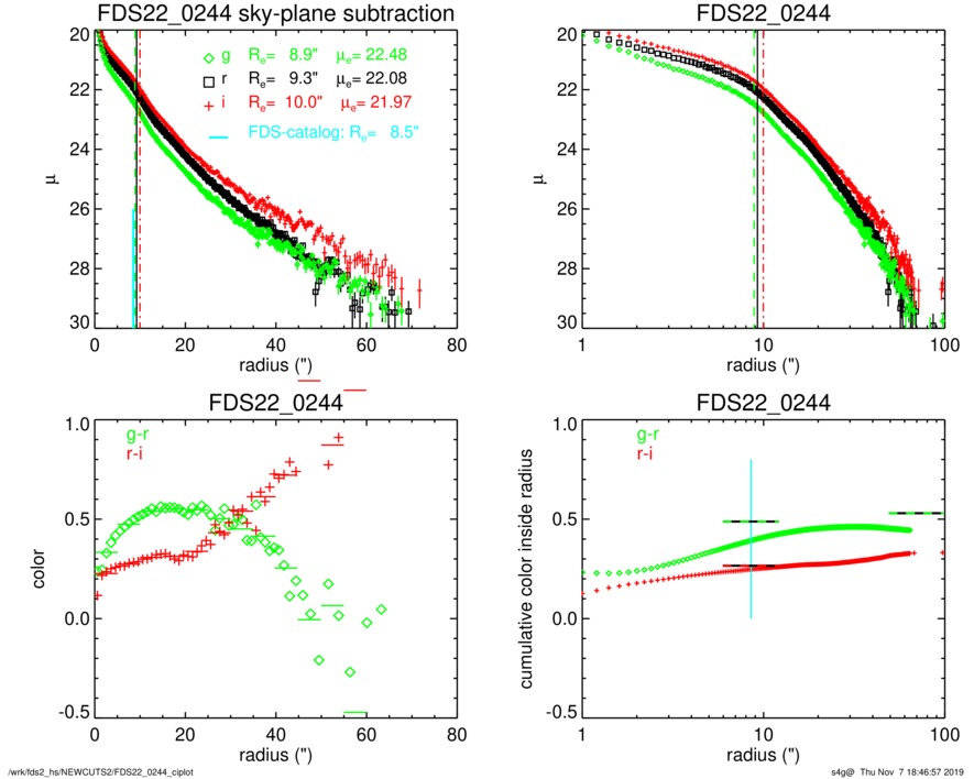
| FDS22_0244
GAL# 70 FDS DWARF CAT r_mag= 15.04 re(")= 9.25 class=l | Decomp (sersic+nuc): M*= 8.34 Re(kpc)= 0.86 n= 1.15 fnuc= 0.031 g-r= 0.473 |
|
|
|
|
|
|
|
|
|
|
|
|
r_ND_final |
| Qflags: uncertain fds_is_nuc= 1.0 FCC46 main |
|
|
|
|
|
|
|
|
|
|
|
| FDS4_0061
GAL# 71 FDS DWARF CAT r_mag= 15.07 re(")= 16.59 class=e | Decomp (sersic+nuc): M*= 8.44 Re(kpc)= 1.63 n= 1.21 fnuc= 0.004 g-r= 0.586 |
|
|
|
|
|
|
|
|
|
|
|
|
r_ND_final |
| Qflags: star fds_is_nuc= 1.0 FCC261 main |
|
|
|
|
|
|
|
|
|
|
|
| FDS11_0079
GAL# 72 FDS DWARF CAT r_mag= 15.13 re(")= 24.84 class=e* | Decomp (sersic+nuc): M*= 8.40 Re(kpc)= 1.94 n= 1.16 fnuc= 0.002 g-r= 0.618 |
|
|
|
|
|
|
|
|
|
|
|
|
r_NDD_final |
| Qflags: star fds_is_nuc= 1.0 FCC223 main |
|
|
|
|
|
|
|
|
|
|
|
| FDS16_0024
GAL# 73 FDS DWARF CAT r_mag= 15.42 re(")= 51.89 class=e | Decomp (sersic+nuc): M*= 8.28 Re(kpc)= 4.65 n= 0.98 fnuc= 0.002 g-r= 0.689 |
|
|
|
|
|
|
|
|
|
|
|
|
r_ND_final |
| Qflags: star obscured fds_is_nuc= 1.0 FCC123 main |
|
|
|
|
|
|
|
|
|
|
|
| FDS20_0138
GAL# 74 FDS DWARF CAT r_mag= 15.39 re(")= 13.89 class=e | Decomp (sersic+nuc): M*= 8.40 Re(kpc)= 1.41 n= 1.44 fnuc= 0.010 g-r= 0.650 |
|
|
|
|
|
|
|
|
|
|
|
|
r_ND_final |
| Qflags: fds_is_nuc= 1.0 FCC85 main |
|
|
|
|
|
|
|
|
|
|
|
| FDS19_0380
GAL# 75 FDS DWARF CAT r_mag= 15.61 re(")= 12.16 class=e | Decomp (sersic+nuc): M*= 8.37 Re(kpc)= 1.20 n= 1.39 fnuc= 0.005 g-r= 0.722 |
|
|
|
|
|
|
|
|
|
|
|
|
r_ND_final |
| Qflags: fds_is_nuc= 1.0 FCC82 main |
|
|
|
|
|
|
|
|
|
|
|
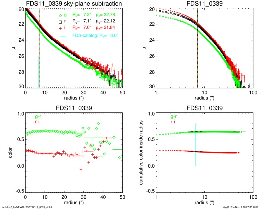
| FDS11_0339
GAL# 76 FDS DWARF CAT r_mag= 15.40 re(")= 7.14 class=e* | Decomp (sersic+nuc): M*= 8.33 Re(kpc)= 0.60 n= 1.31 fnuc= 0.007 g-r= 0.647 |
|
|
|
|
|
|
|
|
|
|
|
|
r_NDD_final |
| Qflags: star background fds_is_nuc= 1.0 FCC211 main |
|
|
|
|
|
|
|
|
|
|
|
| FDS4_0053
GAL# 77 FDS DWARF CAT r_mag= 15.35 re(")= 13.47 class=l | Decomp (sersic+nuc): M*= 8.19 Re(kpc)= 1.28 n= 1.12 fnuc= 0.001 g-r= 0.475 |
|
|
|
|
|
|
|
|
|
|
|
|
r_ND_final |
| Qflags: uncertain fds_is_nuc= 1.0 FCC267 main |
|
|
|
|
|
|
|
|
|
|
|
| FDS13_0042
GAL# 78 FDS DWARF CAT r_mag= 15.59 re(")= 13.18 class=e | Decomp (sersic+nuc): M*= 8.34 Re(kpc)= 1.12 n= 1.16 fnuc= 0.000 g-r= 0.712 |
|
|
|
|
|
|
|
|
|
|
|
|
r_D_final |
| Qflags: fds_is_nuc= 0.0 FCC253 main |
|
|
|
|
|
|
|
|
|
|
|
| FDS6_0414
GAL# 79 FDS DWARF CAT r_mag= 15.47 re(")= 11.07 class=e | Decomp (sersic+nuc): M*= 8.36 Re(kpc)= 1.11 n= 1.62 fnuc= 0.000 g-r= 0.620 |
|
|
|
|
|
|
|
|
|
|
|
|
r_D_final |
| Qflags: star background fds_is_nuc= 0.0 FCC296 main |
|
|
|
|
|
|
|
|
|
|
|
| FDS12_0367
GAL# 80 FDS DWARF CAT r_mag= 15.58 re(")= 10.31 class=e(s) | Decomp (sersic+nuc): M*= 8.39 Re(kpc)= 1.03 n= 1.46 fnuc= 0.001 g-r= 0.646 |
|
|
|
|
|
|
|
|
|
|
|
|
r_D_final |
| Qflags: star fds_is_nuc= 0.0 FCC164 main |
|
|
|
|
|
|
|
|
|
|
|
| FDS12_0194
GAL# 81 FDS DWARF CAT r_mag= 15.41 re(")= 15.24 class=e* | Decomp (sersic+nuc): M*= 8.33 Re(kpc)= 1.35 n= 1.49 fnuc= 0.005 g-r= 0.643 |
|
|
|
|
|
|
|
|
|
|
|
|
r_ND_final |
| Qflags: star background skyplane fds_is_nuc= 1.0 FCC243 main |
|
|
|
|
|
|
|
|
|
|
|
| FDS6_0098
GAL# 82 FDS DWARF CAT r_mag= 15.77 re(")= 8.73 class=e* | Decomp (sersic+nuc): M*= 8.22 Re(kpc)= 0.75 n= 1.27 fnuc= 0.014 g-r= 0.636 |
|
|
|
|
|
|
|
|
|
|
|
|
r_ND_final |
| Qflags: uncertain fds_is_nuc= 1.0 FCC298 main |
|
|
|
|
|
|
|
|
|
|
|
| FDS31_0042
GAL# 83 FDS DWARF CAT r_mag= 15.64 re(")= 9.89 class=e | Decomp (sersic+nuc): M*= 8.27 Re(kpc)= 0.93 n= 0.99 fnuc= 0.001 g-r= 0.639 |
|
|
|
|
|
|
|
|
|
|
|
|
r_D_final |
| Qflags: star fds_is_nuc= 0.0 FCC68 main |
|
|
|
|
|
|
|
|
|
|
|
| FDS9_0534
GAL# 84 FDS DWARF CAT r_mag= 15.82 re(")= 8.04 class=e | Decomp (sersic+nuc): M*= 8.22 Re(kpc)= 0.74 n= 1.22 fnuc= 0.004 g-r= 0.665 |
|
|
|
|
|
|
|
|
|
|
|
|
r_ND_final |
| Qflags: fds_is_nuc= 1.0 FCC174 main |
|
|
|
|
|
|
|
|
|
|
|
| FDS6_0170
GAL# 85 FDS DWARF CAT r_mag= 15.99 re(")= 12.50 class=e | Decomp (sersic+nuc): M*= 8.12 Re(kpc)= 1.03 n= 1.05 fnuc= 0.000 g-r= 0.597 |
|
|
|
|
|
|
|
|
|
|
|
|
r_DD_final |
| Qflags: fds_is_nuc= 0.0 FCC264 main |
|
|
|
|
|
|
|
|
|
|
|
| FDS10_0014
GAL# 86 FDS DWARF CAT r_mag= 15.95 re(")= 15.12 class=e | Decomp (sersic+nuc): M*= 8.16 Re(kpc)= 1.37 n= 1.12 fnuc= 0.001 g-r= 0.657 |
|
|
|
|
|
|
|
|
|
|
|
|
r_ND_final |
| Qflags: fds_is_nuc= 1.0 FCC195 main |
|
|
|
|
|
|
|
|
|
|
|
| FDS9_0255
GAL# 87 FDS DWARF CAT r_mag= 15.80 re(")= 11.64 class=e | Decomp (sersic+nuc): M*= 8.20 Re(kpc)= 1.09 n= 1.58 fnuc= 0.004 g-r= 0.635 |
|
|
|
|
|
|
|
|
|
|
|
|
r_D_final |
| Qflags: fds_is_nuc= 0.0 main |
|
|
|
|
|
|
|
|
|
|
|
| FDS31_0096
GAL# 88 FDS DWARF CAT r_mag= 16.19 re(")= 16.32 class=e | Decomp (sersic+nuc): M*= 8.13 Re(kpc)= 1.69 n= 0.93 fnuc= 0.000 g-r= 0.615 |
|
|
|
|
|
|
|
|
|
|
|
|
r_D_final |
| Qflags: star fds_is_nuc= 0.0 FCC66 main |
|
|
|
|
|
|
|
|
|
|
|
| FDS17_0343
GAL# 89 FDS DWARF CAT r_mag= 16.10 re(")= 20.09 class=e* | Decomp (sersic+nuc): M*= 8.10 Re(kpc)= 1.91 n= 0.97 fnuc= 0.015 g-r= 0.621 |
|
|
|
|
|
|
|
|
|
|
|
|
r_ND_final |
| Qflags: fds_is_nuc= 1.0 FCC158 main |
|
|
|
|
|
|
|
|
|
|
|
| FDS7_0310
GAL# 90 FDS DWARF CAT r_mag= 15.51 re(")= 7.98 class=l* | Decomp (sersic+nuc): M*= 7.97 Re(kpc)= 0.79 n= 0.91 fnuc= 0.006 g-r= 0.351 |
|
|
|
|
|
|
|
|
|
|
|
|
r_barD_final |
| Qflags: star background fds_is_nuc= 0.0 FCC306 main |
|
|
|
|
|
|
|
|
|
|
|
| FDS31_0129
GAL# 91 FDS DWARF CAT r_mag= 16.21 re(")= 7.77 class=e | Decomp (sersic+nuc): M*= 8.11 Re(kpc)= 0.76 n= 1.27 fnuc= 0.007 g-r= 0.663 |
|
|
|
|
|
|
|
|
|
|
|
|
r_ND_final |
| Qflags: star obscured fds_is_nuc= 1.0 FCC81 main |
|
|
|
|
|
|
|
|
|
|
|
| FDS25_0008
GAL# 92 FDS DWARF CAT r_mag= 14.82 re(")= 13.50 class=l | Decomp (sersic+nuc): M*= 8.06 Re(kpc)= 1.28 n= 0.89 fnuc= 0.000 g-r= 0.185 |
|
|
|
|
|
|
|
|
|
|
|
|
r_D_final |
| Qflags: fds_is_nuc= 0.0 FCC35 main |
|
|
|
|
|
|
|
|
|
|
|
| FDS6_0208
GAL# 93 FDS DWARF CAT r_mag= 15.73 re(")= 12.29 class=e* | Decomp (sersic+nuc): M*= 8.19 Re(kpc)= 1.24 n= 1.25 fnuc= 0.024 g-r= 0.582 |
|
|
|
|
|
|
|
|
|
|
|
|
r_ND_final |
| Qflags: star background fds_is_nuc= 1.0 FCC274 main |
|
|
|
|
|
|
|
|
|
|
|
| FDS20_0144
GAL# 94 FDS DWARF CAT r_mag= 16.04 re(")= 20.68 class=e | Decomp (sersic+nuc): M*= 8.07 Re(kpc)= 2.01 n= 0.83 fnuc= 0.006 g-r= 0.553 |
|
|
|
|
|
|
|
|
|
|
|
|
r_ND_final |
| Qflags: star background fds_is_nuc= 1.0 FCC50 main |
|
|
|
|
|
|
|
|
|
|
|
| FDS14_0073
GAL# 95 FDS DWARF CAT r_mag= 16.04 re(")= 14.10 class=e* | Decomp (sersic+nuc): M*= 8.09 Re(kpc)= 1.38 n= 1.27 fnuc= 0.003 g-r= 0.678 |
|
|
|
|
|
|
|
|
|
|
|
|
r_ND_final |
| Qflags: fds_is_nuc= 1.0 FCC111 main |
|
|
|
|
|
|
|
|
|
|
|
| FDS11_0204
GAL# 96 FDS DWARF CAT r_mag= 16.19 re(")= 10.64 class=e | Decomp (sersic+nuc): M*= 8.05 Re(kpc)= 1.09 n= 1.51 fnuc= 0.000 g-r= 0.668 |
|
|
|
|
|
|
|
|
|
|
|
|
r_D_final |
| Qflags: background skyplane fds_is_nuc= 0.0 main |
|
|
|
|
|
|
|
|
|
|
|
| FDS17_0167
GAL# 97 FDS DWARF CAT r_mag= 16.35 re(")= 17.33 class=e* | Decomp (sersic+nuc): M*= 8.07 Re(kpc)= 1.82 n= 1.47 fnuc= 0.007 g-r= 0.655 |
|
|
|
|
|
|
|
|
|
|
|
|
r_ND_final |
| Qflags: star fds_is_nuc= 1.0 FCC112 main |
|
|
|
|
|
|
|
|
|
|
|
| FDS16_0075
GAL# 98 FDS DWARF CAT r_mag= 16.17 re(")= 17.44 class=e | Decomp (sersic+nuc): M*= 8.03 Re(kpc)= 1.75 n= 1.07 fnuc= 0.000 g-r= 0.707 |
|
|
|
|
|
|
|
|
|
|
|
|
r_D_final |
| Qflags: fds_is_nuc= 0.0 110 main |
|
|
|
|
|
|
|
|
|
|
|
| FDS16_0027
GAL# 99 FDS DWARF CAT r_mag= 15.96 re(")= 16.66 class=e* | Decomp (sersic+nuc): M*= 8.13 Re(kpc)= 1.76 n= 1.42 fnuc= 0.005 g-r= 0.643 |
|
|
|
|
|
|
|
|
|
|
|
|
r_ND_final |
| Qflags: star fds_is_nuc= 1.0 FCC137 main |
|
|
|
|
|
|
|
|
|
|
|