| FDS17_0161
GAL# 100 FDS DWARF CAT r_mag= 16.01 re(")= 13.33 class=l | Decomp (sersic+nuc): M*= 7.83 Re(kpc)= 0.95 n= 0.91 fnuc= 0.000 g-r= 0.442 |
|
|
|
|
|
|
|
|
|
|
|
|
r_DD_final |
| Qflags: uncertain fds_is_nuc= 0.0 FCC128 main |
|
|
|
|
|
|
|
|
|
|
|
| FDS6_0347
GAL# 101 FDS DWARF CAT r_mag= 16.48 re(")= 6.11 class=e | Decomp (sersic+nuc): M*= 8.06 Re(kpc)= 0.57 n= 1.45 fnuc= 0.007 g-r= 0.679 |
|
|
|
|
|
|
|
|
|
|
|
|
r_ND_final |
| Qflags: star background fds_is_nuc= 1.0 main |
|
|
|
|
|
|
|
|
|
|
|
| FDS13_0302
GAL# 102 FDS DWARF CAT r_mag= 16.03 re(")= 15.12 class=e | Decomp (sersic+nuc): M*= 8.09 Re(kpc)= 1.38 n= 0.92 fnuc= 0.000 g-r= 0.656 |
|
|
|
|
|
|
|
|
|
|
|
|
r_D_final |
| Qflags: star fds_is_nuc= 0.0 FCC201 main |
|
|
|
|
|
|
|
|
|
|
|
| FDS11_0327
GAL# 103 FDS DWARF CAT r_mag= 16.06 re(")= 14.21 class=e* | Decomp (sersic+nuc): M*= 8.11 Re(kpc)= 1.42 n= 1.07 fnuc= 0.012 g-r= 0.576 |
|
|
|
|
|
|
|
|
|
|
|
|
r_ND_final |
| Qflags: fds_is_nuc= 1.0 FCC241 main |
|
|
|
|
|
|
|
|
|
|
|
| FDS15_0359
GAL# 104 FDS DWARF CAT r_mag= 16.26 re(")= 14.62 class=e | Decomp (sersic+nuc): M*= 7.90 Re(kpc)= 1.30 n= 0.79 fnuc= 0.000 g-r= 0.596 |
|
|
|
|
|
|
|
|
|
|
|
|
r_D_final |
| Qflags: fds_is_nuc= 0.0 FCC99 main |
|
|
|
|
|
|
|
|
|
|
|
| FDS6_0462
GAL# 105 FDS DWARF CAT r_mag= 16.19 re(")= 17.32 class=e* | Decomp (sersic+nuc): M*= 8.06 Re(kpc)= 1.88 n= 1.25 fnuc= 0.017 g-r= 0.598 |
|
|
|
|
|
|
|
|
|
|
|
|
r_ND_final |
| Qflags: fds_is_nuc= 1.0 FCC260 main |
|
|
|
|
|
|
|
|
|
|
|
| FDS4_0030
GAL# 106 FDS DWARF CAT r_mag= 16.04 re(")= 9.72 class=e | Decomp (sersic+nuc): M*= 7.98 Re(kpc)= 0.74 n= 1.32 fnuc= 0.000 g-r= 0.556 |
|
|
|
|
|
|
|
|
|
|
|
|
r_DD_final |
| Qflags: fds_is_nuc= 0.0 FCC278 main |
|
|
|
|
|
|
|
|
|
|
|
| FDS17_0110
GAL# 107 FDS DWARF CAT r_mag= 15.79 re(")= 19.88 class=l | Decomp (sersic+nuc): M*= 7.87 Re(kpc)= 1.79 n= 0.71 fnuc= 0.001 g-r= 0.380 |
|
|
|
|
|
|
|
|
|
|
|
|
r_D_final |
| Qflags: fds_is_nuc= 0.0 FCC120 main |
|
|
|
|
|
|
|
|
|
|
|
| FDS13_0258
GAL# 108 FDS DWARF CAT r_mag= 16.36 re(")= 10.03 class=e | Decomp (sersic+nuc): M*= 7.99 Re(kpc)= 0.95 n= 0.94 fnuc= 0.000 g-r= 0.710 |
|
|
|
|
|
|
|
|
|
|
|
|
r_D_final |
| Qflags: fds_is_nuc= 0.0 250 main |
|
|
|
|
|
|
|
|
|
|
|
| FDS19_0226
GAL# 109 FDS DWARF CAT r_mag= 16.29 re(")= 13.10 class=e | Decomp (sersic+nuc): M*= 7.96 Re(kpc)= 1.10 n= 1.04 fnuc= 0.000 g-r= 0.652 |
|
|
|
|
|
|
|
|
|
|
|
|
r_D_final |
| Qflags: offcen fds_is_nuc= 0.0 FCC48 main |
|
|
|
|
|
|
|
|
|
|
|
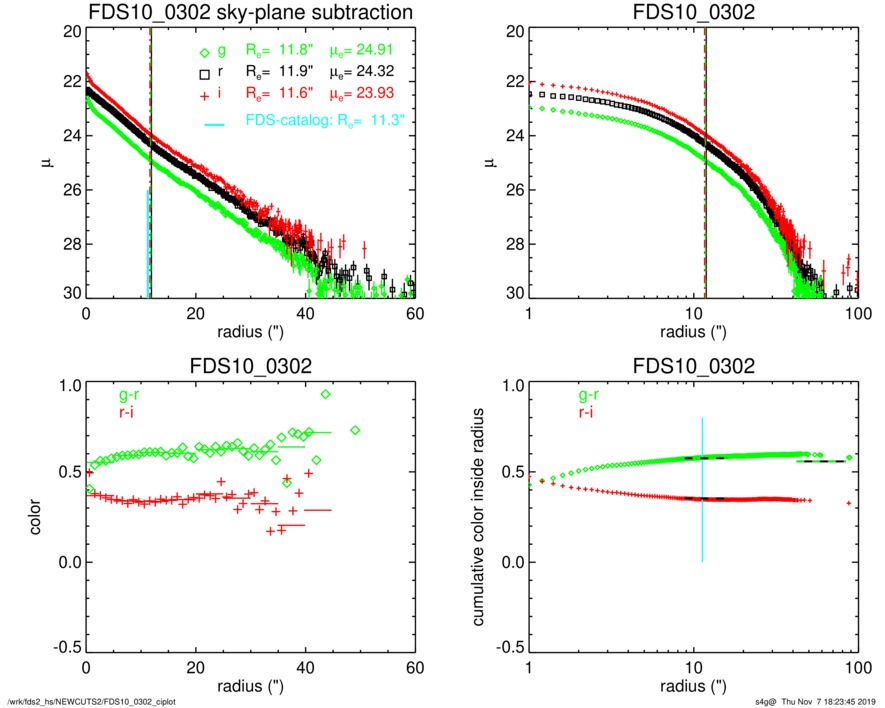
| FDS10_0302
GAL# 110 FDS DWARF CAT r_mag= 16.47 re(")= 11.90 class=e | Decomp (sersic+nuc): M*= 7.98 Re(kpc)= 1.16 n= 1.24 fnuc= 0.000 g-r= 0.592 |
|
|
|
|
|
|
|
|
|
|
|
|
r_D_final |
| Qflags: fds_is_nuc= 0.0 FCC178 main |
|
|
|
|
|
|
|
|
|
|
|
| FDS31_0208
GAL# 111 FDS DWARF CAT r_mag= 17.56 re(")= 15.18 class=e | Decomp (sersic+nuc): M*= 7.78 Re(kpc)= 1.39 n= 0.59 fnuc= 0.000 g-r= 0.598 |
|
|
|
|
|
|
|
|
|
|
|
|
r_D_final |
| Qflags: star background snr uncertain skyplane fds_is_nuc= 0.0 FCC87 main |
|
|
|
|
|
|
|
|
|
|
|
| FDS15_0232
GAL# 112 FDS DWARF CAT r_mag= 16.36 re(")= 5.43 class=e | Decomp (sersic+nuc): M*= 7.95 Re(kpc)= 0.54 n= 1.23 fnuc= 0.002 g-r= 0.565 |
|
|
|
|
|
|
|
|
|
|
|
|
r_D_final |
| Qflags: fds_is_nuc= 0.0 main |
|
|
|
|
|
|
|
|
|
|
|
| FDS10_0150
GAL# 113 FDS DWARF CAT r_mag= 16.72 re(")= 21.43 class=e | Decomp (sersic+nuc): M*= 7.84 Re(kpc)= 2.00 n= 1.29 fnuc= 0.000 g-r= 0.599 |
|
|
|
|
|
|
|
|
|
|
|
|
r_D_final |
| Qflags: star obscured background skyplane fds_is_nuc= 0.0 FCC187 main |
|
|
|
|
|
|
|
|
|
|
|
| FDS10_0228
GAL# 114 FDS DWARF CAT r_mag= 16.49 re(")= 18.27 class=e | Decomp (sersic+nuc): M*= 7.95 Re(kpc)= 1.72 n= 1.06 fnuc= 0.000 g-r= 0.655 |
|
|
|
|
|
|
|
|
|
|
|
|
r_D_final |
| Qflags: star fds_is_nuc= 0.0 FCC234 main |
|
|
|
|
|
|
|
|
|
|
|
| FDS7_0015
GAL# 115 FDS DWARF CAT r_mag= 16.33 re(")= 12.65 class=l* | Decomp (sersic+nuc): M*= 7.84 Re(kpc)= 1.33 n= 0.86 fnuc= 0.003 g-r= 0.482 |
|
|
|
|
|
|
|
|
|
|
|
|
r_D_final |
| Qflags: fds_is_nuc= 0.0 FCC299 main |
|
|
|
|
|
|
|
|
|
|
|
| FDS17_0304
GAL# 116 FDS DWARF CAT r_mag= 16.69 re(")= 16.80 class=e | Decomp (sersic+nuc): M*= 7.86 Re(kpc)= 1.58 n= 0.80 fnuc= 0.000 g-r= 0.701 |
|
|
|
|
|
|
|
|
|
|
|
|
r_D_final |
| Qflags: star fds_is_nuc= 0.0 FCC105 main |
|
|
|
|
|
|
|
|
|
|
|
| FDS10_0077
GAL# 117 FDS DWARF CAT r_mag= 16.61 re(")= 9.96 class=e | Decomp (sersic+nuc): M*= 7.92 Re(kpc)= 0.93 n= 0.96 fnuc= 0.000 g-r= 0.626 |
|
|
|
|
|
|
|
|
|
|
|
|
r_D_final |
| Qflags: fds_is_nuc= 0.0 FCC230 main |
|
|
|
|
|
|
|
|
|
|
|
| FDS11_0185
GAL# 118 FDS DWARF CAT r_mag= 16.44 re(")= 16.09 class=e* | Decomp (sersic+nuc): M*= 7.87 Re(kpc)= 1.47 n= 1.21 fnuc= 0.041 g-r= 0.646 |
|
|
|
|
|
|
|
|
|
|
|
|
r_ND_final |
| Qflags: background skyplane fds_is_nuc= 1.0 FCC208 main |
|
|
|
|
|
|
|
|
|
|
|
| FDS12_0197
GAL# 119 FDS DWARF CAT r_mag= 16.42 re(")= 15.40 class=e | Decomp (sersic+nuc): M*= 7.91 Re(kpc)= 1.44 n= 1.16 fnuc= 0.006 g-r= 0.597 |
|
|
|
|
|
|
|
|
|
|
|
|
r_ND_final |
| Qflags: fds_is_nuc= 1.0 FCC183 main |
|
|
|
|
|
|
|
|
|
|
|
| FDS17_0265
GAL# 120 FDS DWARF CAT r_mag= 15.71 re(")= 14.22 class=l | Decomp (sersic+nuc): M*= 7.83 Re(kpc)= 1.33 n= 0.86 fnuc= 0.000 g-r= 0.402 |
|
|
|
|
|
|
|
|
|
|
|
|
r_D_final |
| Qflags: star obscured fds_is_nuc= 0.0 FCC102 main |
|
|
|
|
|
|
|
|
|
|
|
| FDS7_0158
GAL# 121 FDS DWARF CAT r_mag= 15.92 re(")= 15.43 class=e* | Decomp (sersic+nuc): M*= 8.07 Re(kpc)= 1.45 n= 1.08 fnuc= 0.004 g-r= 0.645 |
|
|
|
|
|
|
|
|
|
|
|
|
r_ND_final |
| Qflags: fds_is_nuc= 1.0 FCC279 main |
|
|
|
|
|
|
|
|
|
|
|
| FDS9_0492
GAL# 122 FDS DWARF CAT r_mag= 16.20 re(")= 7.65 class=e* | Decomp (sersic+nuc): M*= 7.89 Re(kpc)= 0.71 n= 1.12 fnuc= 0.023 g-r= 0.545 |
|
|
|
|
|
|
|
|
|
|
|
|
r_ND_final |
| Qflags: fds_is_nuc= 1.0 main |
|
|
|
|
|
|
|
|
|
|
|
| FDS10_0003
GAL# 123 FDS DWARF CAT r_mag= 16.51 re(")= 10.48 class=e* | Decomp (sersic+nuc): M*= 7.89 Re(kpc)= 1.00 n= 0.86 fnuc= 0.010 g-r= 0.661 |
|
|
|
|
|
|
|
|
|
|
|
|
r_ND_final |
| Qflags: fds_is_nuc= 1.0 FCC181 main |
|
|
|
|
|
|
|
|
|
|
|
| FDS22_0084
GAL# 124 FDS DWARF CAT r_mag= 15.76 re(")= 9.61 class=l | Decomp (sersic+nuc): M*= 7.97 Re(kpc)= 1.05 n= 1.39 fnuc= 0.009 g-r= 0.364 |
|
|
|
|
|
|
|
|
|
|
|
|
r_BD_final |
| Qflags: fds_is_nuc= 0.0 main |
|
|
|
|
|
|
|
|
|
|
|
| FDS15_0245
GAL# 125 FDS DWARF CAT r_mag= 16.75 re(")= 16.09 class=e | Decomp (sersic+nuc): M*= 7.84 Re(kpc)= 1.45 n= 1.35 fnuc= 0.002 g-r= 0.613 |
|
|
|
|
|
|
|
|
|
|
|
|
r_ND_final |
| Qflags: star fds_is_nuc= 1.0 main |
|
|
|
|
|
|
|
|
|
|
|
| FDS4_0337
GAL# 126 FDS DWARF CAT r_mag= 16.41 re(")= 11.97 class=e | Decomp (sersic+nuc): M*= 7.89 Re(kpc)= 1.16 n= 1.11 fnuc= 0.000 g-r= 0.506 |
|
|
|
|
|
|
|
|
|
|
|
|
r_D_final |
| Qflags: fds_is_nuc= 0.0 FCC292 main |
|
|
|
|
|
|
|
|
|
|
|
| FDS28_0055
GAL# 127 FDS DWARF CAT r_mag= 16.01 re(")= 5.14 class=l | Decomp (sersic+nuc): M*= 7.90 Re(kpc)= 0.55 n= 1.50 fnuc= 0.003 g-r= 0.382 |
|
|
|
|
|
|
|
|
|
|
|
|
r_D_final |
| Qflags: fds_is_nuc= 0.0 main |
|
|
|
|
|
|
|
|
|
|
|
| FDS1_0145
GAL# 128 FDS DWARF CAT r_mag= 16.69 re(")= 15.03 class=e | Decomp (sersic+nuc): M*= 7.87 Re(kpc)= 1.43 n= 1.06 fnuc= 0.000 g-r= 0.584 |
|
|
|
|
|
|
|
|
|
|
|
|
r_D_final |
| Qflags: fds_is_nuc= 0.0 FCC313 main |
|
|
|
|
|
|
|
|
|
|
|
| FDS11_0289
GAL# 129 FDS DWARF CAT r_mag= 16.61 re(")= 14.36 class=e* | Decomp (sersic+nuc): M*= 7.85 Re(kpc)= 1.40 n= 1.10 fnuc= 0.005 g-r= 0.662 |
|
|
|
|
|
|
|
|
|
|
|
|
r_ND_final |
| Qflags: background fds_is_nuc= 1.0 FCC160 main |
|
|
|
|
|
|
|
|
|
|
|
| FDS15_0209
GAL# 130 FDS DWARF CAT r_mag= 16.39 re(")= 11.50 class=l | Decomp (sersic+nuc): M*= 7.80 Re(kpc)= 1.13 n= 1.33 fnuc= 0.006 g-r= 0.454 |
|
|
|
|
|
|
|
|
|
|
|
|
r_D_final |
| Qflags: offcen fds_is_nuc= 2.0 main |
|
|
|
|
|
|
|
|
|
|
|
| FDS20_0212
GAL# 131 FDS DWARF CAT r_mag= 16.57 re(")= 15.65 class=e | Decomp (sersic+nuc): M*= 7.81 Re(kpc)= 1.39 n= 1.11 fnuc= 0.000 g-r= 0.640 |
|
|
|
|
|
|
|
|
|
|
|
|
r_D_final |
| Qflags: star obscured fds_is_nuc= 0.0 FCC86 main |
|
|
|
|
|
|
|
|
|
|
|
| FDS21_0333
GAL# 132 FDS DWARF CAT r_mag= 16.80 re(")= 11.87 class=e* | Decomp (sersic+nuc): M*= 7.78 Re(kpc)= 1.08 n= 0.89 fnuc= 0.011 g-r= 0.625 |
|
|
|
|
|
|
|
|
|
|
|
|
r_ND_final |
| Qflags: fds_is_nuc= 1.0 FCC56 main |
|
|
|
|
|
|
|
|
|
|
|
| FDS18_0045
GAL# 133 FDS DWARF CAT r_mag= 16.35 re(")= 11.13 class=e | Decomp (sersic+nuc): M*= 7.93 Re(kpc)= 1.07 n= 0.95 fnuc= 0.002 g-r= 0.597 |
|
|
|
|
|
|
|
|
|
|
|
|
r_ND_final |
| Qflags: fds_is_nuc= 1.0 FCC107 main |
|
|
|
|
|
|
|
|
|
|
|
| FDS6_0003
GAL# 134 FDS DWARF CAT r_mag= 17.06 re(")= 11.01 class=e | Decomp (sersic+nuc): M*= 7.64 Re(kpc)= 0.93 n= 0.93 fnuc= 0.000 g-r= 0.593 |
|
|
|
|
|
|
|
|
|
|
|
|
r_D_final |
| Qflags: fds_is_nuc= 0.0 FCC262 main |
|
|
|
|
|
|
|
|
|
|
|
| FDS26_0277
GAL# 135 FDS DWARF CAT r_mag= 17.17 re(")= 9.55 class=e* | Decomp (sersic+nuc): M*= 7.69 Re(kpc)= 0.92 n= 0.84 fnuc= 0.025 g-r= 0.620 |
|
|
|
|
|
|
|
|
|
|
|
|
r_ND_final |
| Qflags: fds_is_nuc= 1.0 main |
|
|
|
|
|
|
|
|
|
|
|
| FDS16_0257
GAL# 136 FDS DWARF CAT r_mag= 16.52 re(")= 16.50 class=e | Decomp (sersic+nuc): M*= 7.80 Re(kpc)= 1.38 n= 1.00 fnuc= 0.000 g-r= 0.578 |
|
|
|
|
|
|
|
|
|
|
|
|
r_D_final |
| Qflags: fds_is_nuc= 0.0 FCC156 main |
|
|
|
|
|
|
|
|
|
|
|
| FDS21_0055a
GAL# 137 FDS DWARF CAT r_mag= 17.79 re(")= 10.66 class=e | Decomp (sersic+nuc): M*= 7.35 Re(kpc)= 0.93 n= 0.83 fnuc= 0.000 g-r= 0.503 |
|
|
|
|
|
|
|
|
|
|
|
|
r_D_final |
| Qflags: star fds_is_nuc= 0.0 FCC51 main |
|
|
|
|
|
|
|
|
|
|
|
| FDS16_0253
GAL# 138 FDS DWARF CAT r_mag= 16.60 re(")= 13.94 class=e* | Decomp (sersic+nuc): M*= 7.81 Re(kpc)= 1.33 n= 1.18 fnuc= 0.017 g-r= 0.646 |
|
|
|
|
|
|
|
|
|
|
|
|
r_ND_final |
| Qflags: star fds_is_nuc= 1.0 FCC133 main |
|
|
|
|
|
|
|
|
|
|
|
| FDS12_0383
GAL# 139 FDS DWARF CAT r_mag= 19.85 re(")= 10.80 class=e | Decomp (sersic+nuc): M*= 7.10 Re(kpc)= 1.05 n= 0.86 fnuc= 0.005 g-r= 0.521 |
|
|
|
|
|
|
|
|
|
|
|
|
r_D_final |
| Qflags: snr fds_is_nuc= 0.0 main |
|
|
|
|
|
|
|
|
|
|
|
| FDS12_0349
GAL# 140 FDS DWARF CAT r_mag= 17.08 re(")= 16.84 class=e | Decomp (sersic+nuc): M*= 7.71 Re(kpc)= 1.55 n= 1.15 fnuc= 0.000 g-r= 0.626 |
|
|
|
|
|
|
|
|
|
|
|
|
r_D_final |
| Qflags: star background skyplane fds_is_nuc= 0.0 FCC180 main |
|
|
|
|
|
|
|
|
|
|
|
| FDS25_0080
GAL# 141 FDS DWARF CAT r_mag= 17.09 re(")= 7.74 class=e | Decomp (sersic+nuc): M*= 7.75 Re(kpc)= 0.77 n= 1.05 fnuc= 0.000 g-r= 0.600 |
|
|
|
|
|
|
|
|
|
|
|
|
r_D_final |
| Qflags: fds_is_nuc= 0.0 FCC40 main |
|
|
|
|
|
|
|
|
|
|
|
| FDS6_0176
GAL# 142 FDS DWARF CAT r_mag= 15.49 re(")= 30.72 class=l | Decomp (sersic+nuc): M*= 7.77 Re(kpc)= 2.92 n= 0.58 fnuc= 0.001 g-r= 0.168 |
|
|
|
|
|
|
|
|
|
|
|
|
r_D_final |
| Qflags: fds_is_nuc= 0.0 302 main |
|
|
|
|
|
|
|
|
|
|
|
| FDS20_0253
GAL# 143 FDS DWARF CAT r_mag= 16.70 re(")= 11.92 class=e | Decomp (sersic+nuc): M*= 7.72 Re(kpc)= 0.91 n= 1.08 fnuc= 0.000 g-r= 0.532 |
|
|
|
|
|
|
|
|
|
|
|
|
r_D_final |
| Qflags: star fds_is_nuc= 0.0 FCC65 main |
|
|
|
|
|
|
|
|
|
|
|
| FDS6_0030
GAL# 144 FDS DWARF CAT r_mag= 17.02 re(")= 10.54 class=e* | Decomp (sersic+nuc): M*= 7.71 Re(kpc)= 1.13 n= 0.89 fnuc= 0.044 g-r= 0.586 |
|
|
|
|
|
|
|
|
|
|
|
|
r_ND_final |
| Qflags: fds_is_nuc= 1.0 FCC293 main |
|
|
|
|
|
|
|
|
|
|
|
| FDS6_0082
GAL# 145 FDS DWARF CAT r_mag= 16.79 re(")= 13.12 class=e* | Decomp (sersic+nuc): M*= 7.72 Re(kpc)= 1.32 n= 0.98 fnuc= 0.045 g-r= 0.584 |
|
|
|
|
|
|
|
|
|
|
|
|
r_ND_final |
| Qflags: fds_is_nuc= 1.0 FCC254 main |
|
|
|
|
|
|
|
|
|
|
|
| FDS25_0146
GAL# 146 FDS DWARF CAT r_mag= 16.80 re(")= 9.26 class=e | Decomp (sersic+nuc): M*= 7.73 Re(kpc)= 0.89 n= 0.91 fnuc= 0.000 g-r= 0.524 |
|
|
|
|
|
|
|
|
|
|
|
|
r_D_final |
| Qflags: fds_is_nuc= 0.0 FCC38 main |
|
|
|
|
|
|
|
|
|
|
|
| FDS7_0183
GAL# 147 FDS DWARF CAT r_mag= 18.73 re(")= 12.57 class=e | Decomp (sersic+nuc): M*= 6.72 Re(kpc)= 1.18 n= 1.02 fnuc= 0.009 g-r= 0.744 |
|
|
|
|
|
|
|
|
|
|
|
|
r_ND_final |
| Qflags: fds_is_nuc= 1.0 main |
|
|
|
|
|
|
|
|
|
|
|
| FDS10_0023
GAL# 148 FDS DWARF CAT r_mag= 16.69 re(")= 9.50 class=e | Decomp (sersic+nuc): M*= 7.83 Re(kpc)= 0.91 n= 1.40 fnuc= 0.000 g-r= 0.596 |
|
|
|
|
|
|
|
|
|
|
|
|
r_D_final |
| Qflags: fds_is_nuc= 0.0 FCC200 main |
|
|
|
|
|
|
|
|
|
|
|
| FDS16_0109
GAL# 149 FDS DWARF CAT r_mag= 16.37 re(")= 15.34 class=e* | Decomp (sersic+nuc): M*= 7.94 Re(kpc)= 1.74 n= 1.26 fnuc= 0.050 g-r= 0.733 |
|
|
|
|
|
|
|
|
|
|
|
|
r_ND_final |
| Qflags: star background uncertain skyplane fds_is_nuc= 1.0 FCC101 main |
|
|
|
|
|
|
|
|
|
|
|
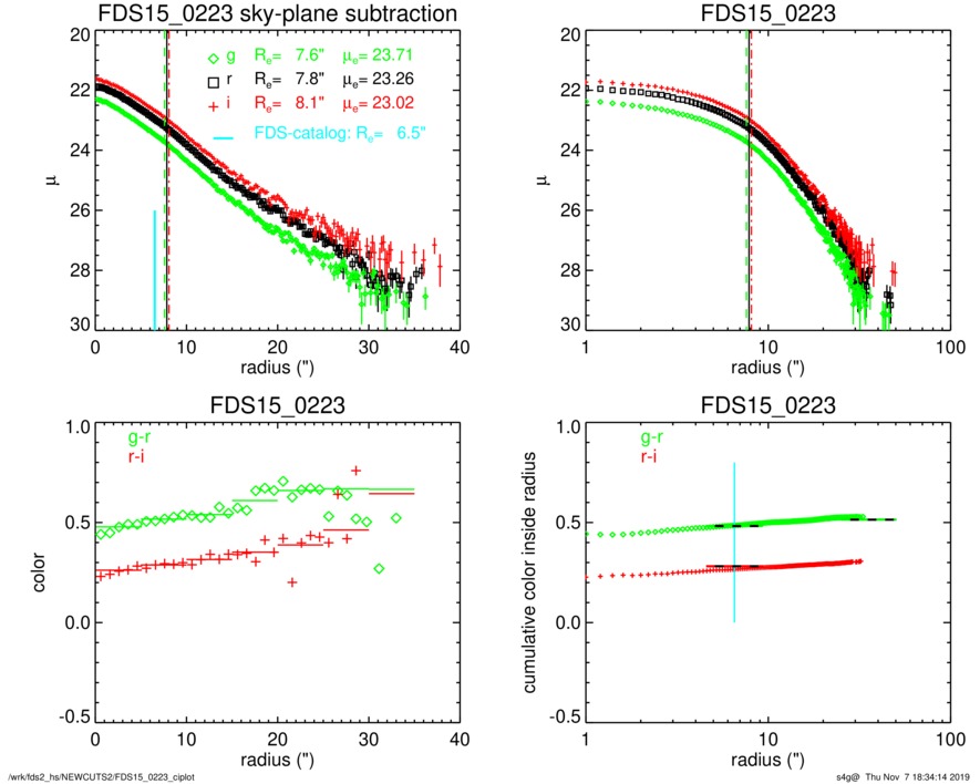
| FDS15_0223
GAL# 150 FDS DWARF CAT r_mag= 16.86 re(")= 7.84 class=e | Decomp (sersic+nuc): M*= 7.67 Re(kpc)= 0.68 n= 0.90 fnuc= 0.000 g-r= 0.498 |
|
|
|
|
|
|
|
|
|
|
|
|
r_D_final |
| Qflags: fds_is_nuc= 0.0 FCC134 main |
|
|
|
|
|
|
|
|
|
|
|
| FDS11_0294
GAL# 151 FDS DWARF CAT r_mag= 17.18 re(")= 19.26 class=e* | Decomp (sersic+nuc): M*= 7.69 Re(kpc)= 2.33 n= 1.45 fnuc= 0.036 g-r= 0.685 |
|
|
|
|
|
|
|
|
|
|
|
|
r_ND_final |
| Qflags: fds_is_nuc= 1.0 FCC171 main |
|
|
|
|
|
|
|
|
|
|
|
| FDS18_0058
GAL# 152 FDS DWARF CAT r_mag= 17.05 re(")= 23.82 class=e | Decomp (sersic+nuc): M*= 7.62 Re(kpc)= 2.10 n= 0.92 fnuc= 0.000 g-r= 0.684 |
|
|
|
|
|
|
|
|
|
|
|
|
r_D_final |
| Qflags: star fds_is_nuc= 0.0 FCC117 main |
|
|
|
|
|
|
|
|
|
|
|
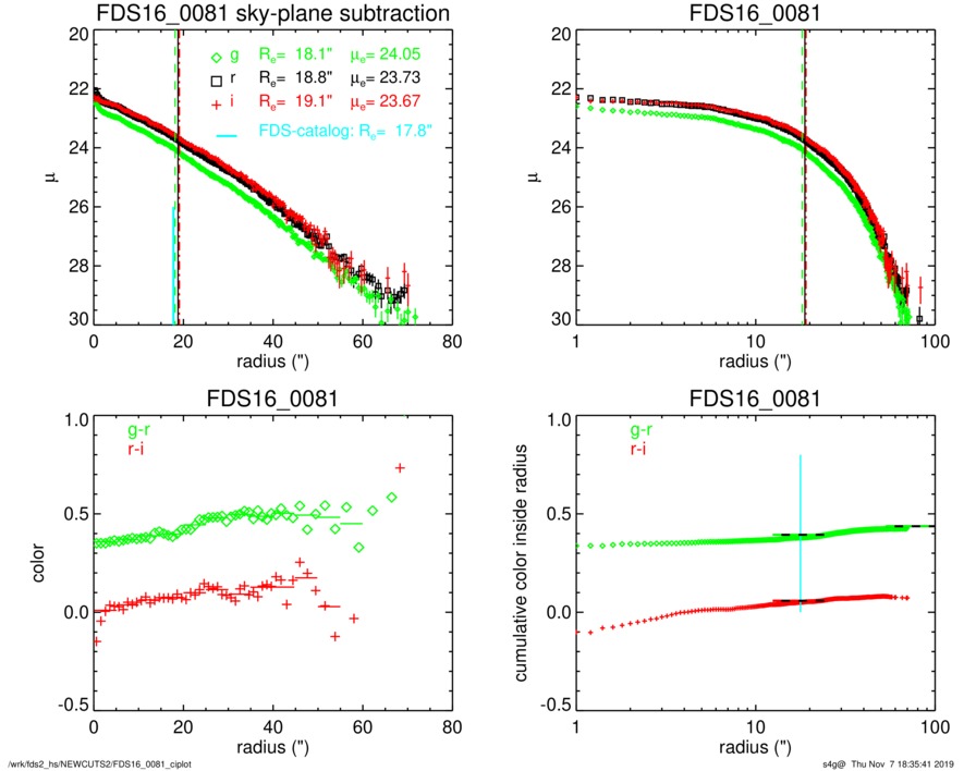
| FDS16_0081
GAL# 153 FDS DWARF CAT r_mag= 16.08 re(")= 18.80 class=l | Decomp (sersic+nuc): M*= 7.66 Re(kpc)= 1.87 n= 0.83 fnuc= 0.002 g-r= 0.398 |
|
|
|
|
|
|
|
|
|
|
|
|
r_D_final |
| Qflags: star fds_is_nuc= 2.0 115 main |
|
|
|
|
|
|
|
|
|
|
|
| FDS11_0049
GAL# 154 FDS DWARF CAT r_mag= 16.79 re(")= 14.78 class=e* | Decomp (sersic+nuc): M*= 7.75 Re(kpc)= 1.31 n= 1.02 fnuc= 0.004 g-r= 0.620 |
|
|
|
|
|
|
|
|
|
|
|
|
r_ND_final |
| Qflags: star fds_is_nuc= 1.0 FCC196 main |
|
|
|
|
|
|
|
|
|
|
|
| FDS12_0406
GAL# 155 FDS DWARF CAT r_mag= 16.86 re(")= 7.88 class=e* | Decomp (sersic+nuc): M*= 7.70 Re(kpc)= 0.69 n= 0.94 fnuc= 0.023 g-r= 0.588 |
|
|
|
|
|
|
|
|
|
|
|
|
r_ND_final |
| Qflags: fds_is_nuc= 1.0 FCC221 main |
|
|
|
|
|
|
|
|
|
|
|
| FDS11_0010
GAL# 156 FDS DWARF CAT r_mag= 16.78 re(")= 14.78 class=e | Decomp (sersic+nuc): M*= 7.78 Re(kpc)= 1.39 n= 0.86 fnuc= 0.004 g-r= 0.666 |
|
|
|
|
|
|
|
|
|
|
|
|
r_ND_final |
| Qflags: offcen fds_is_nuc= 1.0 FCC165 main |
|
|
|
|
|
|
|
|
|
|
|
| FDS15_0292
GAL# 157 FDS DWARF CAT r_mag= 16.95 re(")= 9.74 class=e* | Decomp (sersic+nuc): M*= 7.67 Re(kpc)= 0.92 n= 0.82 fnuc= 0.010 g-r= 0.606 |
|
|
|
|
|
|
|
|
|
|
|
|
r_ND_final |
| Qflags: star fds_is_nuc= 1.0 FCC118 main |
|
|
|
|
|
|
|
|
|
|
|
| FDS31_0135
GAL# 158 FDS DWARF CAT r_mag= 17.31 re(")= 7.14 class=e | Decomp (sersic+nuc): M*= 7.62 Re(kpc)= 0.66 n= 0.83 fnuc= 0.017 g-r= 0.594 |
|
|
|
|
|
|
|
|
|
|
|
|
r_ND_final |
| Qflags: fds_is_nuc= 1.0 FCC61 main |
|
|
|
|
|
|
|
|
|
|
|
| FDS9_0271
GAL# 159 FDS DWARF CAT r_mag= 17.03 re(")= 11.46 class=e | Decomp (sersic+nuc): M*= 7.70 Re(kpc)= 1.05 n= 1.22 fnuc= 0.000 g-r= 0.645 |
|
|
|
|
|
|
|
|
|
|
|
|
r_D_final |
| Qflags: star fds_is_nuc= 0.0 FCC237 main |
|
|
|
|
|
|
|
|
|
|
|
| FDS17_0242
GAL# 160 FDS DWARF CAT r_mag= 17.73 re(")= 12.79 class=e | Decomp (sersic+nuc): M*= 7.41 Re(kpc)= 1.21 n= 0.77 fnuc= 0.000 g-r= 0.629 |
|
|
|
|
|
|
|
|
|
|
|
|
r_D_final |
| Qflags: star fds_is_nuc= 0.0 FCC98 main |
|
|
|
|
|
|
|
|
|
|
|
| FDS13_0165
GAL# 161 FDS DWARF CAT r_mag= 17.06 re(")= 15.21 class=e | Decomp (sersic+nuc): M*= 7.63 Re(kpc)= 1.42 n= 0.81 fnuc= 0.000 g-r= 0.667 |
|
|
|
|
|
|
|
|
|
|
|
|
r_D_final |
| Qflags: fds_is_nuc= 0.0 FCC242 main |
|
|
|
|
|
|
|
|
|
|
|
| FDS6_0024
GAL# 162 FDS DWARF CAT r_mag= 17.20 re(")= 11.07 class=e | Decomp (sersic+nuc): M*= 7.55 Re(kpc)= 0.97 n= 1.15 fnuc= 0.000 g-r= 0.590 |
|
|
|
|
|
|
|
|
|
|
|
|
r_D_final |
| Qflags: fds_is_nuc= 0.0 FCC281 main |
|
|
|
|
|
|
|
|
|
|
|
| FDS13_0058
GAL# 163 FDS DWARF CAT r_mag= 16.27 re(")= 8.30 class=l | Decomp (sersic+nuc): M*= 7.69 Re(kpc)= 0.78 n= 1.18 fnuc= 0.027 g-r= 0.325 |
|
|
|
|
|
|
|
|
|
|
|
|
r_D_final |
| Qflags: offcen fds_is_nuc= 2.0 FCCB1436 main |
|
|
|
|
|
|
|
|
|
|
|
| FDS5_0306
GAL# 164 FDS DWARF CAT r_mag= 17.10 re(")= 7.21 class=e | Decomp (sersic+nuc): M*= 7.65 Re(kpc)= 0.53 n= 1.19 fnuc= 0.000 g-r= 0.620 |
|
|
|
|
|
|
|
|
|
|
|
|
r_DD_final |
| Qflags: star fds_is_nuc= 0.0 main |
|
|
|
|
|
|
|
|
|
|
|
| FDS16_0138
GAL# 165 FDS DWARF CAT r_mag= 17.51 re(")= 7.73 class=e | Decomp (sersic+nuc): M*= 7.45 Re(kpc)= 0.66 n= 1.21 fnuc= 0.000 g-r= 0.687 |
|
|
|
|
|
|
|
|
|
|
|
|
r_D_final |
| Qflags: star obscured fds_is_nuc= 0.0 main |
|
|
|
|
|
|
|
|
|
|
|
| FDS1_0083
GAL# 166 FDS DWARF CAT r_mag= 17.38 re(")= 7.69 class=e | Decomp (sersic+nuc): M*= 7.59 Re(kpc)= 0.67 n= 0.94 fnuc= 0.000 g-r= 0.601 |
|
|
|
|
|
|
|
|
|
|
|
|
r_D_final |
| Qflags: fds_is_nuc= 0.0 FCCB1973 main |
|
|
|
|
|
|
|
|
|
|
|
| FDS22_0120
GAL# 167 FDS DWARF CAT r_mag= 17.43 re(")= 9.14 class=e | Decomp (sersic+nuc): M*= 7.50 Re(kpc)= 0.77 n= 0.91 fnuc= 0.000 g-r= 0.592 |
|
|
|
|
|
|
|
|
|
|
|
|
r_D_final |
| Qflags: fds_is_nuc= 0.0 FCC58 main |
|
|
|
|
|
|
|
|
|
|
|
| FDS10_0349
GAL# 168 FDS DWARF CAT r_mag= 17.59 re(")= 11.61 class=e | Decomp (sersic+nuc): M*= 7.42 Re(kpc)= 1.05 n= 1.11 fnuc= 0.003 g-r= 0.667 |
|
|
|
|
|
|
|
|
|
|
|
|
r_ND_final |
| Qflags: star obscured fds_is_nuc= 1.0 FCC231 main |
|
|
|
|
|
|
|
|
|
|
|
| FDS13_0378
GAL# 169 FDS DWARF CAT r_mag= 17.35 re(")= 10.29 class=e* | Decomp (sersic+nuc): M*= 7.58 Re(kpc)= 0.98 n= 0.84 fnuc= 0.014 g-r= 0.655 |
|
|
|
|
|
|
|
|
|
|
|
|
r_ND_final |
| Qflags: fds_is_nuc= 1.0 FCC166 main |
|
|
|
|
|
|
|
|
|
|
|
| FDS13_0357
GAL# 170 FDS DWARF CAT r_mag= 17.02 re(")= 14.46 class=e | Decomp (sersic+nuc): M*= 7.66 Re(kpc)= 1.19 n= 1.09 fnuc= 0.000 g-r= 0.631 |
|
|
|
|
|
|
|
|
|
|
|
|
r_D_final |
| Qflags: fds_is_nuc= 0.0 FCC198 main |
|
|
|
|
|
|
|
|
|
|
|
| FDS21_0129
GAL# 171 FDS DWARF CAT r_mag= 17.23 re(")= 5.15 class=e | Decomp (sersic+nuc): M*= 7.62 Re(kpc)= 0.43 n= 1.12 fnuc= 0.000 g-r= 0.603 |
|
|
|
|
|
|
|
|
|
|
|
|
r_D_final |
| Qflags: fds_is_nuc= 0.0 main |
|
|
|
|
|
|
|
|
|
|
|
| FDS27_0211
GAL# 172 FDS DWARF CAT r_mag= 17.53 re(")= 9.16 class=e | Decomp (sersic+nuc): M*= 7.55 Re(kpc)= 0.84 n= 0.85 fnuc= 0.000 g-r= 0.632 |
|
|
|
|
|
|
|
|
|
|
|
|
r_D_final |
| Qflags: fds_is_nuc= 0.0 main |
|
|
|
|
|
|
|
|
|
|
|
| FDS10_0359
GAL# 173 FDS DWARF CAT r_mag= 17.40 re(")= 8.86 class=e | Decomp (sersic+nuc): M*= 7.57 Re(kpc)= 0.82 n= 0.82 fnuc= 0.000 g-r= 0.590 |
|
|
|
|
|
|
|
|
|
|
|
|
r_D_final |
| Qflags: fds_is_nuc= 0.0 FCC173 main |
|
|
|
|
|
|
|
|
|
|
|
| FDS11_0475
GAL# 174 FDS DWARF CAT r_mag= 17.17 re(")= 22.42 class=e | Decomp (sersic+nuc): M*= 7.62 Re(kpc)= 2.13 n= 0.52 fnuc= 0.000 g-r= 0.588 |
|
|
|
|
|
|
|
|
|
|
|
|
r_D_final |
| Qflags: fds_is_nuc= 0.0 FCC226 main |
|
|
|
|
|
|
|
|
|
|
|
| FDS12_0399
GAL# 175 FDS DWARF CAT r_mag= 18.09 re(")= 10.12 class=e | Decomp (sersic+nuc): M*= 7.26 Re(kpc)= 1.00 n= 0.73 fnuc= 0.005 g-r= 0.766 |
|
|
|
|
|
|
|
|
|
|
|
|
r_ND_final |
| Qflags: star fds_is_nuc= 1.0 FCC246 main |
|
|
|
|
|
|
|
|
|
|
|
| FDS5_0200
GAL# 176 FDS DWARF CAT r_mag= 17.39 re(")= 6.56 class=e | Decomp (sersic+nuc): M*= 7.53 Re(kpc)= 0.61 n= 0.84 fnuc= 0.004 g-r= 0.631 |
|
|
|
|
|
|
|
|
|
|
|
|
r_D_final |
| Qflags: fds_is_nuc= 0.0 FCC286 main |
|
|
|
|
|
|
|
|
|
|
|
| FDS6_0134
GAL# 177 FDS DWARF CAT r_mag= 17.42 re(")= 6.96 class=e | Decomp (sersic+nuc): M*= 7.51 Re(kpc)= 0.62 n= 1.06 fnuc= 0.000 g-r= 0.572 |
|
|
|
|
|
|
|
|
|
|
|
|
r_D_final |
| Qflags: fds_is_nuc= 0.0 FCC257 main |
|
|
|
|
|
|
|
|
|
|
|
| FDS7_0486
GAL# 178 FDS DWARF CAT r_mag= 17.73 re(")= 22.72 class=e* | Decomp (sersic+nuc): M*= 7.56 Re(kpc)= 2.10 n= 1.19 fnuc= 0.020 g-r= 0.767 |
|
|
|
|
|
|
|
|
|
|
|
|
r_ND_final |
| Qflags: fds_is_nuc= 1.0 main |
|
|
|
|
|
|
|
|
|
|
|
| FDS12_0241
GAL# 179 FDS DWARF CAT r_mag= 16.86 re(")= 20.02 class=e | Decomp (sersic+nuc): M*= 7.66 Re(kpc)= 2.03 n= 0.78 fnuc= 0.000 g-r= 0.562 |
|
|
|
|
|
|
|
|
|
|
|
|
r_D_final |
| Qflags: fds_is_nuc= 0.0 FCC212 main |
|
|
|
|
|
|
|
|
|
|
|
| FDS15_0111
GAL# 180 FDS DWARF CAT r_mag= 17.62 re(")= 8.86 class=e | Decomp (sersic+nuc): M*= 7.50 Re(kpc)= 0.80 n= 0.75 fnuc= 0.000 g-r= 0.649 |
|
|
|
|
|
|
|
|
|
|
|
|
r_D_final |
| Qflags: star fds_is_nuc= 0.0 FCC155 main |
|
|
|
|
|
|
|
|
|
|
|
| FDS11_0027
GAL# 181 FDS DWARF CAT r_mag= 17.38 re(")= 8.93 class=e | Decomp (sersic+nuc): M*= 7.51 Re(kpc)= 0.79 n= 0.84 fnuc= 0.002 g-r= 0.599 |
|
|
|
|
|
|
|
|
|
|
|
|
r_D_final |
| Qflags: fds_is_nuc= 0.0 FCC244 main |
|
|
|
|
|
|
|
|
|
|
|
| FDS13_0044
GAL# 182 FDS DWARF CAT r_mag= 17.66 re(")= 10.09 class=e | Decomp (sersic+nuc): M*= 7.50 Re(kpc)= 1.01 n= 1.06 fnuc= 0.000 g-r= 0.680 |
|
|
|
|
|
|
|
|
|
|
|
|
r_D_final |
| Qflags: star fds_is_nuc= 0.0 FCCB1204 main |
|
|
|
|
|
|
|
|
|
|
|
| FDS28_0027
GAL# 183 FDS DWARF CAT r_mag= 16.12 re(")= 7.52 class=l | Decomp (sersic+nuc): M*= 7.40 Re(kpc)= 0.77 n= 0.62 fnuc= 0.008 g-r= 0.054 |
|
|
|
|
|
|
|
|
|
|
|
|
r_D_final |
| Qflags: fds_is_nuc= 0.0 main |
|
|
|
|
|
|
|
|
|
|
|
| FDS17_0283
GAL# 184 FDS DWARF CAT r_mag= 17.30 re(")= 12.53 class=e* | Decomp (sersic+nuc): M*= 7.66 Re(kpc)= 1.17 n= 1.15 fnuc= 0.005 g-r= 0.610 |
|
|
|
|
|
|
|
|
|
|
|
|
r_ND_final |
| Qflags: fds_is_nuc= 1.0 FCC151 main |
|
|
|
|
|
|
|
|
|
|
|
| FDS14_0271
GAL# 185 FDS DWARF CAT r_mag= 17.63 re(")= 9.51 class=e* | Decomp (sersic+nuc): M*= 7.45 Re(kpc)= 0.89 n= 0.99 fnuc= 0.008 g-r= 0.651 |
|
|
|
|
|
|
|
|
|
|
|
|
r_ND_final |
| Qflags: star fds_is_nuc= 1.0 FCC89 main |
|
|
|
|
|
|
|
|
|
|
|
| FDS20_0008
GAL# 186 FDS DWARF CAT r_mag= 17.14 re(")= 11.14 class=l | Decomp (sersic+nuc): M*= 7.34 Re(kpc)= 0.98 n= 0.82 fnuc= 0.000 g-r= 0.319 |
|
|
|
|
|
|
|
|
|
|
|
|
r_D_final |
| Qflags: star background fds_is_nuc= 0.0 FCC57 main |
|
|
|
|
|
|
|
|
|
|
|
| FDS7_0509
GAL# 187 FDS DWARF CAT r_mag= 17.17 re(")= 15.20 class=e | Decomp (sersic+nuc): M*= 7.57 Re(kpc)= 1.44 n= 0.83 fnuc= 0.000 g-r= 0.620 |
|
|
|
|
|
|
|
|
|
|
|
|
r_D_final |
| Qflags: star fds_is_nuc= 0.0 FCC297 main |
|
|
|
|
|
|
|
|
|
|
|
| FDS18_0111
GAL# 188 FDS DWARF CAT r_mag= 17.52 re(")= 8.80 class=e | Decomp (sersic+nuc): M*= 7.46 Re(kpc)= 0.84 n= 1.03 fnuc= 0.003 g-r= 0.579 |
|
|
|
|
|
|
|
|
|
|
|
|
r_ND_final |
| Qflags: fds_is_nuc= 1.0 main |
|
|
|
|
|
|
|
|
|
|
|
| FDS15_0462
GAL# 189 FDS DWARF CAT r_mag= 17.44 re(")= 12.28 class=e | Decomp (sersic+nuc): M*= 7.49 Re(kpc)= 1.11 n= 0.88 fnuc= 0.005 g-r= 0.556 |
|
|
|
|
|
|
|
|
|
|
|
|
r_ND_final |
| Qflags: fds_is_nuc= 1.0 FCC124 main |
|
|
|
|
|
|
|
|
|
|
|
| FDS13_0230
GAL# 190 FDS DWARF CAT r_mag= 17.91 re(")= 8.74 class=e | Decomp (sersic+nuc): M*= 7.40 Re(kpc)= 0.83 n= 0.93 fnuc= 0.000 g-r= 0.685 |
|
|
|
|
|
|
|
|
|
|
|
|
r_D_final |
| Qflags: fds_is_nuc= 0.0 FCC239 main |
|
|
|
|
|
|
|
|
|
|
|
| FDS6_0249
GAL# 191 FDS DWARF CAT r_mag= 17.20 re(")= 10.88 class=e | Decomp (sersic+nuc): M*= 7.65 Re(kpc)= 1.02 n= 1.36 fnuc= 0.000 g-r= 0.612 |
|
|
|
|
|
|
|
|
|
|
|
|
r_D_final |
| Qflags: offcen fds_is_nuc= 0.0 FCC287 main |
|
|
|
|
|
|
|
|
|
|
|
| FDS12_0586
GAL# 192 FDS DWARF CAT r_mag= 16.76 re(")= 21.07 class=e | Decomp (sersic+nuc): M*= 7.66 Re(kpc)= 2.05 n= 0.81 fnuc= 0.000 g-r= 0.575 |
|
|
|
|
|
|
|
|
|
|
|
|
r_D_final |
| Qflags: star fds_is_nuc= 0.0 FCC212 main |
|
|
|
|
|
|
|
|
|
|
|
| FDS4_0182
GAL# 193 FDS DWARF CAT r_mag= 17.62 re(")= 14.89 class=e | Decomp (sersic+nuc): M*= 7.42 Re(kpc)= 1.44 n= 0.68 fnuc= 0.001 g-r= 0.524 |
|
|
|
|
|
|
|
|
|
|
|
|
r_D_final |
| Qflags: fds_is_nuc= 0.0 FCC265 main |
|
|
|
|
|
|
|
|
|
|
|
| FDS6_0513
GAL# 194 FDS DWARF CAT r_mag= 17.14 re(")= 22.08 class=e | Decomp (sersic+nuc): M*= 7.62 Re(kpc)= 2.21 n= 0.72 fnuc= 0.000 g-r= 0.622 |
|
|
|
|
|
|
|
|
|
|
|
|
r_D_final |
| Qflags: fds_is_nuc= 0.0 FCC307 main |
|
|
|
|
|
|
|
|
|
|
|
| FDS27_0060
GAL# 195 FDS DWARF CAT r_mag= 17.47 re(")= 12.22 class=e | Decomp (sersic+nuc): M*= 7.50 Re(kpc)= 1.20 n= 0.77 fnuc= 0.004 g-r= 0.611 |
|
|
|
|
|
|
|
|
|
|
|
|
r_ND_final |
| Qflags: fds_is_nuc= 1.0 main |
|
|
|
|
|
|
|
|
|
|
|
| FDS16_0185a
GAL# 196 FDS DWARF CAT r_mag= 17.63 re(")= 12.81 class=e* | Decomp (sersic+nuc): M*= 7.44 Re(kpc)= 1.26 n= 0.83 fnuc= 0.010 g-r= 0.653 |
|
|
|
|
|
|
|
|
|
|
|
|
r_ND_final |
| Qflags: fds_is_nuc= 1.0 FCC157 main |
|
|
|
|
|
|
|
|
|
|
|
| FDS2_0321
GAL# 197 FDS DWARF CAT r_mag= 17.88 re(")= 9.51 class=e | Decomp (sersic+nuc): M*= 7.44 Re(kpc)= 0.87 n= 1.03 fnuc= 0.000 g-r= 0.653 |
|
|
|
|
|
|
|
|
|
|
|
|
r_D_final |
| Qflags: fds_is_nuc= 0.0 FCC334 main |
|
|
|
|
|
|
|
|
|
|
|
| FDS2_0282
GAL# 198 FDS DWARF CAT r_mag= 16.97 re(")= 6.09 class=l | Decomp (sersic+nuc): M*= 7.40 Re(kpc)= 0.60 n= 2.01 fnuc= 0.000 g-r= 0.315 |
|
|
|
|
|
|
|
|
|
|
|
|
r_barD_final |
| Qflags: fds_is_nuc= 0.0 main |
|
|
|
|
|
|
|
|
|
|
|
| FDS2_0433
GAL# 199 FDS DWARF CAT r_mag= 17.56 re(")= 10.68 class=e | Decomp (sersic+nuc): M*= 7.43 Re(kpc)= 1.05 n= 0.78 fnuc= 0.000 g-r= 0.534 |
|
|
|
|
|
|
|
|
|
|
|
|
r_D_final |
| Qflags: fds_is_nuc= 0.0 FCC325 main |
|
|
|
|
|
|
|
|
|
|
|