|
GAL# 1780 (prev) NGC5371 M*=11.01 SAB(s,nl)b (next) (index) (main) |
![]() |
![]() |
![]() |
| 1-COMP SERSIC NGC5371_b | ||
|---|---|---|
![]() |
![]() |
![]() |
| FINAL NGC5371_bd | ||
|---|---|---|
![]() |
![]() |
![]() |
| FINAL NGC5371_bd |
|---|
![]() |
|
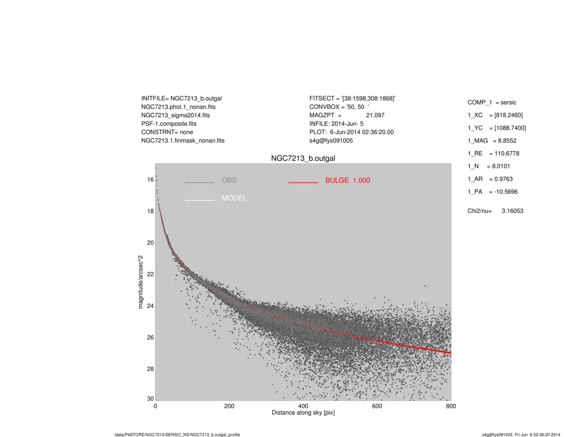
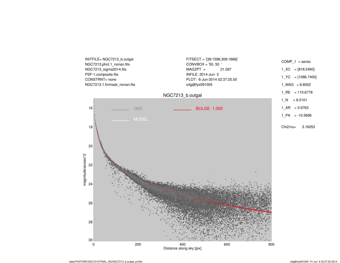
GAL# 1781 (prev) NGC7213 M*=11.02 (L)SA(r,l)0o / E1-2 (next) (index) (main) |
![]() |
![]() |
![]() |
| 1-COMP SERSIC NGC7213_b | ||
|---|---|---|
![]() |
![]() |
![]() |
| FINAL NGC7213_b | ||
|---|---|---|
![]() |
![]() |
![]() |
| FINAL NGC7213_b |
|---|
![]() |
|
GAL# 1782 (prev) NGC4643 M*=11.03 (L)SB(rs,bl,nl)0o+ (next) (index) (main) |
![]() |
![]() |
![]() |
| 1-COMP SERSIC NGC4643_b | ||
|---|---|---|
![]() |
![]() |
![]() |
| FINAL NGC4643_bdbarf | ||
|---|---|---|
![]() |
![]() |
![]() |
| FINAL NGC4643_bdbarf |
|---|
![]() |
|
GAL# 1783 (prev) NGC7184 M*=11.03 SB(r,nd)ab (next) (index) (main) |
![]() |
![]() |
![]() |
| 1-COMP SERSIC NGC7184_b | ||
|---|---|---|
![]() |
![]() |
![]() |
| FINAL NGC7184_bdbarf | ||
|---|---|---|
![]() |
![]() |
![]() |
| FINAL NGC7184_bdbarf |
|---|
![]() |
|
GAL# 1784 (prev) IC5267 M*=11.03 (RL)SA(r,l)0/a (next) (index) (main) |
![]() |
![]() |
![]() |
| 1-COMP SERSIC IC5267_b | ||
|---|---|---|
![]() |
![]() |
![]() |
| FINAL IC5267_bdd | ||
|---|---|---|
![]() |
![]() |
![]() |
| FINAL IC5267_bdd |
|---|
![]() |
|
GAL# 1785 (prev) NGC5236 M*=11.04 SAB(s,nr)c (next) (index) (main) |
![]() |
![]() |
![]() |
| 1-COMP SERSIC NGC5236_b | ||
|---|---|---|
![]() |
![]() |
![]() |
| FINAL NGC5236_bdbarf | ||
|---|---|---|
![]() |
![]() |
![]() |
| FINAL NGC5236_bdbarf |
|---|
![]() |
|
GAL# 1786 (prev) NGC4902 M*=11.05 SB(rs,bl)ab (next) (index) (main) |
![]() |
![]() |
![]() |
| 1-COMP SERSIC NGC4902_b | ||
|---|---|---|
![]() |
![]() |
![]() |
| FINAL NGC4902_bdbarf | ||
|---|---|---|
![]() |
![]() |
![]() |
| FINAL NGC4902_bdbarf |
|---|
![]() |
|
GAL# 1787 (prev) NGC0613 M*=11.09 SB(rs,bl,nr)b (next) (index) (main) |
![]() |
![]() |
![]() |
| 1-COMP SERSIC NGC0613_b | ||
|---|---|---|
![]() |
![]() |
![]() |
| FINAL NGC0613_bdbarf | ||
|---|---|---|
![]() |
![]() |
![]() |
| FINAL NGC0613_bdbarf |
|---|
![]() |
|
GAL# 1788 (prev) NGC4579 M*=11.10 (RL,R')SB(rs,bl)a (next) (index) (main) |
![]() |
![]() |
![]() |
| 1-COMP SERSIC NGC4579_b | ||
|---|---|---|
![]() |
![]() |
![]() |
| FINAL NGC4579_bdbarf | ||
|---|---|---|
![]() |
![]() |
![]() |
| FINAL NGC4579_bdbarf |
|---|
![]() |
|
GAL# 1789 (prev) NGC5005 M*=11.10 (R2')SABxa(rs)ab (next) (index) (main) |
![]() |
![]() |
![]() |
| 1-COMP SERSIC NGC5005_b | ||
|---|---|---|
![]() |
![]() |
![]() |
| FINAL NGC5005_bdbar | ||
|---|---|---|
![]() |
![]() |
![]() |
| FINAL NGC5005_bdbar |
|---|
![]() |
|
GAL# 1790 (prev) NGC3992 M*=11.10 SB(rs,bl,nb)ab (next) (index) (main) |
![]() |
![]() |
![]() |
| 1-COMP SERSIC NGC3992_b | ||
|---|---|---|
![]() |
![]() |
![]() |
| FINAL NGC3992_bdbarfn | ||
|---|---|---|
![]() |
![]() |
![]() |
| FINAL NGC3992_bdbarfn |
|---|
![]() |
|
GAL# 1791 (prev) NGC5101 M*=11.11 (R1R2')SB(rs,bl)0/a (next) (index) (main) |
![]() |
![]() |
![]() |
| 1-COMP SERSIC NGC5101_b | ||
|---|---|---|
![]() |
![]() |
![]() |
| FINAL NGC5101_bdbar | ||
|---|---|---|
![]() |
![]() |
![]() |
| FINAL NGC5101_bdbar |
|---|
![]() |
|
GAL# 1792 (prev) NGC5363 M*=11.11 E3 (next) (index) (main) |
![]() |
![]() |
![]() |
| 1-COMP SERSIC NGC5363_b | ||
|---|---|---|
![]() |
![]() |
![]() |
| FINAL NGC5363_b | ||
|---|---|---|
![]() |
![]() |
![]() |
| FINAL NGC5363_b |
|---|
![]() |
|
GAL# 1793 (prev) NGC5985 M*=11.11 SAB(rs)ab (next) (index) (main) |
![]() |
![]() |
![]() |
| 1-COMP SERSIC NGC5985_b | ||
|---|---|---|
![]() |
![]() |
![]() |
| FINAL NGC5985_bd | ||
|---|---|---|
![]() |
![]() |
![]() |
| FINAL NGC5985_bd |
|---|
![]() |
|
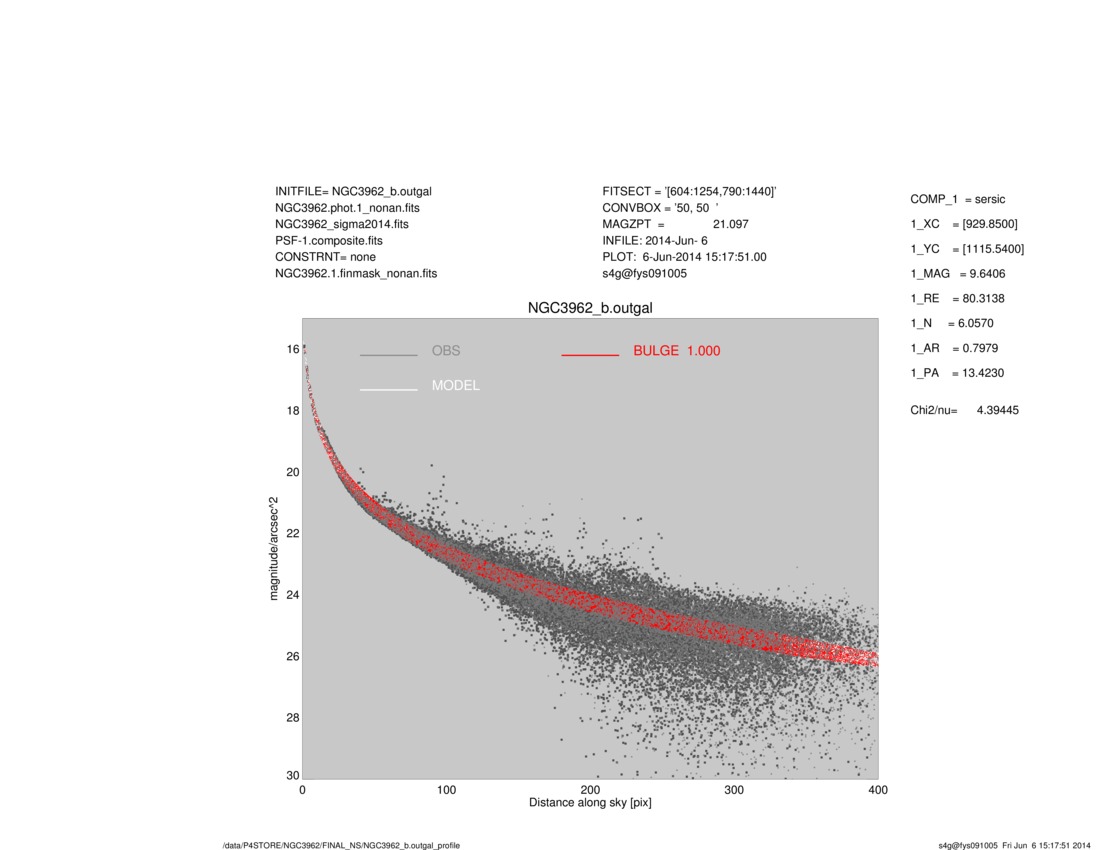
GAL# 1794 (prev) NGC3962 M*=11.12 E+3-4 (next) (index) (main) |
![]() |
![]() |
![]() |
| 1-COMP SERSIC NGC3962_b | ||
|---|---|---|
![]() |
![]() |
![]() |
| FINAL NGC3962_b | ||
|---|---|---|
![]() |
![]() |
![]() |
| FINAL NGC3962_b |
|---|
![]() |
|
GAL# 1795 (prev) NGC2655 M*=11.12 (L)SAB(s)0/a pec (next) (index) (main) |
![]() |
![]() |
![]() |
| 1-COMP SERSIC NGC2655_b | ||
|---|---|---|
![]() |
![]() |
![]() |
| FINAL NGC2655_bdbar | ||
|---|---|---|
![]() |
![]() |
![]() |
| FINAL NGC2655_bdbar |
|---|
![]() |
|
GAL# 1796 (prev) NGC1398 M*=11.13 (R'R)SB(rs,bl)a (next) (index) (main) |
![]() |
![]() |
![]() |
| 1-COMP SERSIC NGC1398_b | ||
|---|---|---|
![]() |
![]() |
![]() |
| FINAL NGC1398_bdbarf | ||
|---|---|---|
![]() |
![]() |
![]() |
| FINAL NGC1398_bdbarf |
|---|
![]() |
|
GAL# 1797 (prev) NGC1553 M*=11.14 SA(rl,nrl,nb)0+ / E(d)0 (next) (index) (main) |
![]() |
![]() |
![]() |
| 1-COMP SERSIC NGC1553_b | ||
|---|---|---|
![]() |
![]() |
![]() |
| FINAL NGC1553_bdd | ||
|---|---|---|
![]() |
![]() |
![]() |
| FINAL NGC1553_bdd |
|---|
![]() |
|
GAL# 1798 (prev) NGC2841 M*=11.14 (RL)SAB(rs,rl)a (next) (index) (main) |
![]() |
![]() |
![]() |
| 1-COMP SERSIC NGC2841_b | ||
|---|---|---|
![]() |
![]() |
![]() |
| FINAL NGC2841_bd | ||
|---|---|---|
![]() |
![]() |
![]() |
| FINAL NGC2841_bd |
|---|
![]() |
|
GAL# 1799 (prev) NGC1532 M*=11.14 SAB(rs,nd)ab sp pec (next) (index) (main) |
![]() |
![]() |
![]() |
| 1-COMP SERSIC NGC1532_b | ||
|---|---|---|
![]() |
![]() |
![]() |
| FINAL NGC1532_bd | ||
|---|---|---|
![]() |
![]() |
![]() |
| FINAL NGC1532_bd |
|---|
![]() |