|
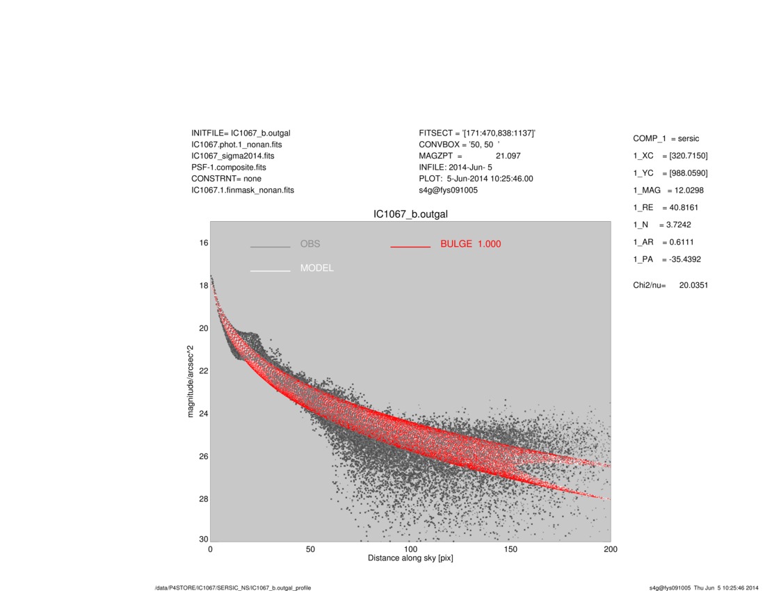
GAL# 0 (prev) IC1067 M*= 9.91 SB(r,bl)ab (next) (index) (main) |
![]() |
![]() |
![]() |
| 1-COMP SERSIC IC1067_b | ||
|---|---|---|
![]() |
![]() |
![]() |
| FINAL IC1067_bdbarfn | ||
|---|---|---|
![]() |
![]() |
![]() |
| FINAL IC1067_bdbarfn |
|---|
![]() |
|
GAL# 1 (prev) IC2051 M*=10.58 SB(rs,bl)b (next) (index) (main) |
![]() |
![]() |
![]() |
| 1-COMP SERSIC IC2051_b | ||
|---|---|---|
![]() |
![]() |
![]() |
| FINAL IC2051_bdbarf | ||
|---|---|---|
![]() |
![]() |
![]() |
| FINAL IC2051_bdbarf |
|---|
![]() |
|
GAL# 2 (prev) NGC0613 M*=11.09 SB(rs,bl,nr)b (next) (index) (main) |
![]() |
![]() |
![]() |
| 1-COMP SERSIC NGC0613_b | ||
|---|---|---|
![]() |
![]() |
![]() |
| FINAL NGC0613_bdbarf | ||
|---|---|---|
![]() |
![]() |
![]() |
| FINAL NGC0613_bdbarf |
|---|
![]() |
|
GAL# 3 (prev) NGC0936 M*=10.93 (L)SBa(rs,bl)0+ (next) (index) (main) |
![]() |
![]() |
![]() |
| 1-COMP SERSIC NGC0936_b | ||
|---|---|---|
![]() |
![]() |
![]() |
| FINAL NGC0936_bdbar | ||
|---|---|---|
![]() |
![]() |
![]() |
| FINAL NGC0936_bdbar |
|---|
![]() |
|
GAL# 4 (prev) NGC1015 M*=10.39 (R')SB(r,bl)0/a (next) (index) (main) |
![]() |
![]() |
![]() |
| 1-COMP SERSIC NGC1015_b | ||
|---|---|---|
![]() |
![]() |
![]() |
| FINAL NGC1015_bdbar | ||
|---|---|---|
![]() |
![]() |
![]() |
| FINAL NGC1015_bdbar |
|---|
![]() |
|
GAL# 5 (prev) NGC1022 M*=10.19 (RL)SAB(rs,bl,ns)0/a (next) (index) (main) |
![]() |
![]() |
![]() |
| 1-COMP SERSIC NGC1022_d | ||
|---|---|---|
![]() |
![]() |
![]() |
| FINAL NGC1022_bdbar | ||
|---|---|---|
![]() |
![]() |
![]() |
| FINAL NGC1022_bdbar |
|---|
![]() |
|
GAL# 6 (prev) NGC1079 M*=10.58 (RL)SABa(rs,bl)0+ (next) (index) (main) |
![]() |
![]() |
![]() |
| 1-COMP SERSIC NGC1079_b | ||
|---|---|---|
![]() |
![]() |
![]() |
| FINAL NGC1079_bdbarfn | ||
|---|---|---|
![]() |
![]() |
![]() |
| FINAL NGC1079_bdbarfn |
|---|
![]() |
|
GAL# 7 (prev) NGC1097 M*=11.24 (R')SB(rs,bl,nr)ab pec (next) (index) (main) |
![]() |
![]() |
![]() |
| 1-COMP SERSIC NGC1097_b | ||
|---|---|---|
![]() |
![]() |
![]() |
| FINAL NGC1097_ddbarf | ||
|---|---|---|
![]() |
![]() |
![]() |
| FINAL NGC1097_ddbarf |
|---|
![]() |
|
GAL# 8 (prev) NGC1201 (next) (index) (main) |
![]() |
![]() |
![]() |
|
GAL# 9 (prev) NGC1291 M*=10.76 (R)SAB(l,bl,nb)0+ (next) (index) (main) |
![]() |
![]() |
![]() |
| 1-COMP SERSIC NGC1291_b | ||
|---|---|---|
![]() |
![]() |
![]() |
| FINAL NGC1291_bdbar | ||
|---|---|---|
![]() |
![]() |
![]() |
| FINAL NGC1291_bdbar |
|---|
![]() |
|
GAL# 10 (prev) NGC1300 M*=10.58 (R')SB(s,bl,nrl)b (next) (index) (main) |
![]() |
![]() |
![]() |
| 1-COMP SERSIC NGC1300_b | ||
|---|---|---|
![]() |
![]() |
![]() |
| FINAL NGC1300_bdbarf | ||
|---|---|---|
![]() |
![]() |
![]() |
| FINAL NGC1300_bdbarf |
|---|
![]() |
|
GAL# 11 (prev) NGC1302 M*=10.56 (RL,RL)SAB(rl,bl)0+ (next) (index) (main) |
![]() |
![]() |
![]() |
| 1-COMP SERSIC NGC1302_b | ||
|---|---|---|
![]() |
![]() |
![]() |
| FINAL NGC1302_nbdbar | ||
|---|---|---|
![]() |
![]() |
![]() |
| FINAL NGC1302_nbdbar |
|---|
![]() |
|
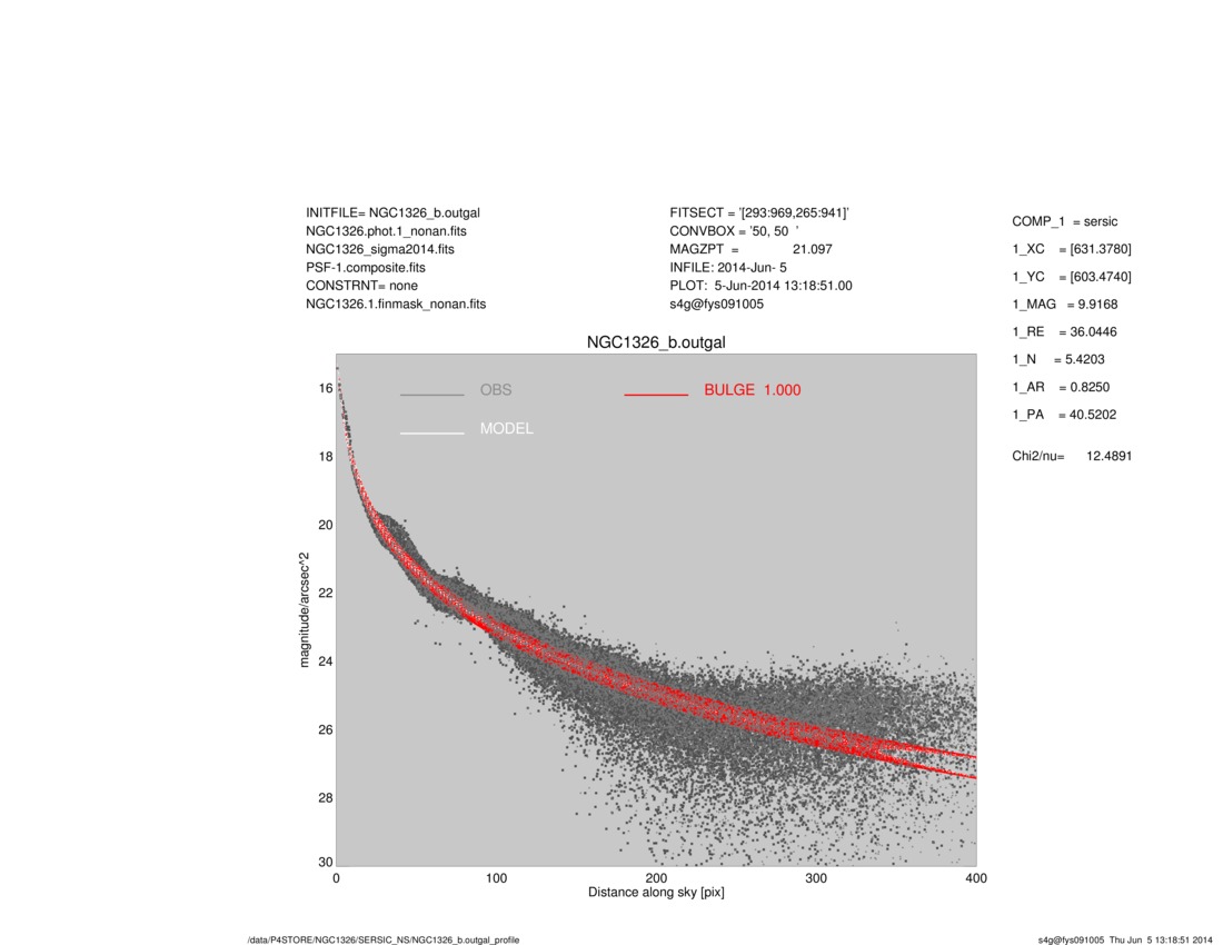
GAL# 12 (prev) NGC1326 M*=10.55 (R1)SABa(r,bl,nr)0+ (next) (index) (main) |
![]() |
![]() |
![]() |
| 1-COMP SERSIC NGC1326_b | ||
|---|---|---|
![]() |
![]() |
![]() |
| FINAL NGC1326_bdbar | ||
|---|---|---|
![]() |
![]() |
![]() |
| FINAL NGC1326_bdbar |
|---|
![]() |
|
GAL# 13 (prev) NGC1350 M*=10.82 (R)SABa(r,bl)0/a (next) (index) (main) |
![]() |
![]() |
![]() |
| 1-COMP SERSIC NGC1350_b | ||
|---|---|---|
![]() |
![]() |
![]() |
| FINAL NGC1350_bdbarfn | ||
|---|---|---|
![]() |
![]() |
![]() |
| FINAL NGC1350_bdbarfn |
|---|
![]() |
|
GAL# 14 (prev) NGC1398 M*=11.13 (R'R)SB(rs,bl)a (next) (index) (main) |
![]() |
![]() |
![]() |
| 1-COMP SERSIC NGC1398_b | ||
|---|---|---|
![]() |
![]() |
![]() |
| FINAL NGC1398_bdbarf | ||
|---|---|---|
![]() |
![]() |
![]() |
| FINAL NGC1398_bdbarf |
|---|
![]() |
|
GAL# 15 (prev) NGC1433 M*=10.30 (R1')SB(r,p,nrl,nb)a (next) (index) (main) |
![]() |
![]() |
![]() |
| 1-COMP SERSIC NGC1433_b | ||
|---|---|---|
![]() |
![]() |
![]() |
| FINAL NGC1433_bdbarf | ||
|---|---|---|
![]() |
![]() |
![]() |
| FINAL NGC1433_bdbarf |
|---|
![]() |
|
GAL# 16 (prev) NGC1440 (next) (index) (main) |
![]() |
![]() |
![]() |
|
GAL# 17 (prev) NGC1452 M*=10.40 (RL)SB(rs,bl)0/a (next) (index) (main) |
![]() |
![]() |
![]() |
| 1-COMP SERSIC NGC1452_b | ||
|---|---|---|
![]() |
![]() |
![]() |
| FINAL NGC1452_bdbarf | ||
|---|---|---|
![]() |
![]() |
![]() |
| FINAL NGC1452_bdbarf |
|---|
![]() |
|
GAL# 18 (prev) NGC1512 M*=10.33 (RL)SB(r,bl,nr)a (next) (index) (main) |
![]() |
![]() |
![]() |
| 1-COMP SERSIC NGC1512_b | ||
|---|---|---|
![]() |
![]() |
![]() |
| FINAL NGC1512_bdbarf | ||
|---|---|---|
![]() |
![]() |
![]() |
| FINAL NGC1512_bdbarf |
|---|
![]() |
|
GAL# 19 (prev) NGC1533 M*=10.57 (RL)SB(bl)0o (next) (index) (main) |
![]() |
![]() |
![]() |
| 1-COMP SERSIC NGC1533_b | ||
|---|---|---|
![]() |
![]() |
![]() |
| FINAL NGC1533_bdbar | ||
|---|---|---|
![]() |
![]() |
![]() |
| FINAL NGC1533_bdbar |
|---|
![]() |