|
GAL# 20 (prev) NGC1640 M*=10.18 (R')SBa(r,bl)ab (next) (index) (main) |
![]() |
![]() |
![]() |
| 1-COMP SERSIC NGC1640_b | ||
|---|---|---|
![]() |
![]() |
![]() |
| FINAL NGC1640_bdbarfn | ||
|---|---|---|
![]() |
![]() |
![]() |
| FINAL NGC1640_bdbarfn |
|---|
![]() |
|
GAL# 21 (prev) NGC2273 (next) (index) (main) |
![]() |
![]() |
![]() |
|
GAL# 22 (prev) NGC2293 (next) (index) (main) |
![]() |
![]() |
![]() |
|
GAL# 23 (prev) NGC2543 M*=10.42 SAB(s,bl)b (next) (index) (main) |
![]() |
![]() |
![]() |
| 1-COMP SERSIC NGC2543_b | ||
|---|---|---|
![]() |
![]() |
![]() |
| FINAL NGC2543_bdbarf | ||
|---|---|---|
![]() |
![]() |
![]() |
| FINAL NGC2543_bdbarf |
|---|
![]() |
|
GAL# 24 (prev) NGC2787 M*=10.23 (L)SBa(r,bl)0o (next) (index) (main) |
![]() |
![]() |
![]() |
| 1-COMP SERSIC NGC2787_b | ||
|---|---|---|
![]() |
![]() |
![]() |
| FINAL NGC2787_bdbarf | ||
|---|---|---|
![]() |
![]() |
![]() |
| FINAL NGC2787_bdbarf |
|---|
![]() |
|
GAL# 25 (prev) NGC2859 M*=10.88 (R)SABa(rl,bl,nl,nb)0+ (next) (index) (main) |
![]() |
![]() |
![]() |
| 1-COMP SERSIC NGC2859_b | ||
|---|---|---|
![]() |
![]() |
![]() |
| FINAL NGC2859_bddbarf | ||
|---|---|---|
![]() |
![]() |
![]() |
| FINAL NGC2859_bddbarf |
|---|
![]() |
|
GAL# 26 (prev) NGC2950 (next) (index) (main) |
![]() |
![]() |
![]() |
|
GAL# 27 (prev) NGC2968 M*=10.10 (L)SB(s,bl)0+ (next) (index) (main) |
![]() |
![]() |
![]() |
| 1-COMP SERSIC NGC2968_b | ||
|---|---|---|
![]() |
![]() |
![]() |
| FINAL NGC2968_bdbar | ||
|---|---|---|
![]() |
![]() |
![]() |
| FINAL NGC2968_bdbar |
|---|
![]() |
|
GAL# 28 (prev) NGC2983 (next) (index) (main) |
![]() |
![]() |
![]() |
|
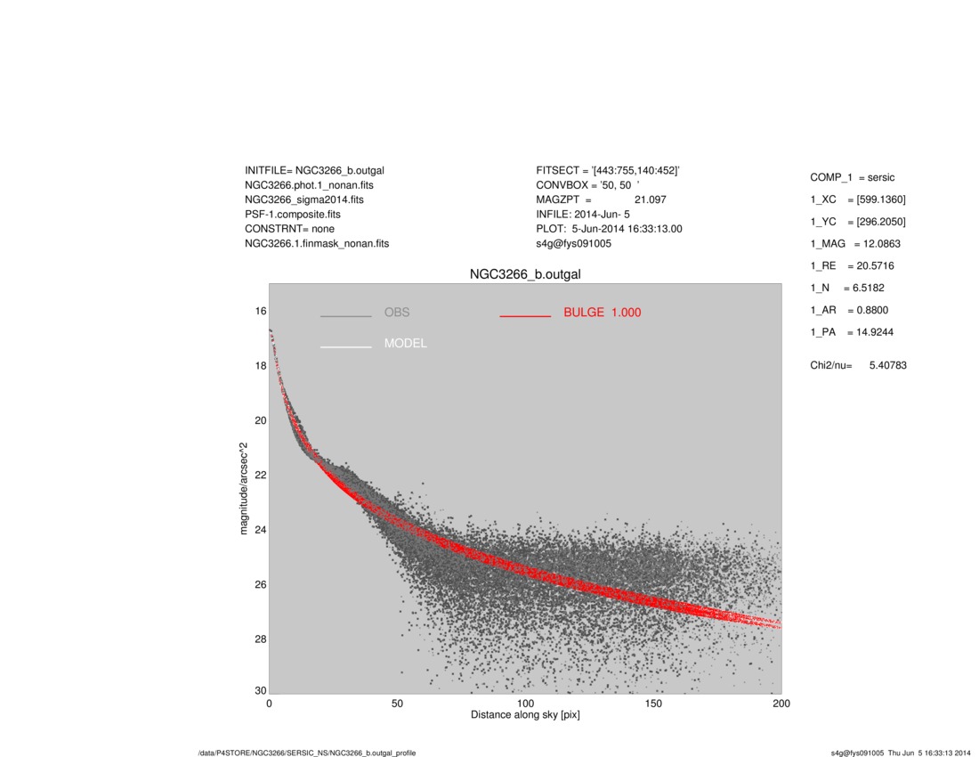
GAL# 29 (prev) NGC3266 M*=10.11 (RL)SB(bl)0o (next) (index) (main) |
![]() |
![]() |
![]() |
| 1-COMP SERSIC NGC3266_b | ||
|---|---|---|
![]() |
![]() |
![]() |
| FINAL NGC3266_bdbar | ||
|---|---|---|
![]() |
![]() |
![]() |
| FINAL NGC3266_bdbar |
|---|
![]() |
|
GAL# 30 (prev) NGC3351 M*=10.49 (R')SB(r,bl,nr)a (next) (index) (main) |
![]() |
![]() |
![]() |
| 1-COMP SERSIC NGC3351_b | ||
|---|---|---|
![]() |
![]() |
![]() |
| FINAL NGC3351_bdbarf | ||
|---|---|---|
![]() |
![]() |
![]() |
| FINAL NGC3351_bdbarf |
|---|
![]() |
|
GAL# 31 (prev) NGC3368 M*=10.73 (RL)SAB(rs,bl,nl)0+ (next) (index) (main) |
![]() |
![]() |
![]() |
| 1-COMP SERSIC NGC3368_b | ||
|---|---|---|
![]() |
![]() |
![]() |
|
GAL# 32 (prev) NGC3380 M*= 9.96 (RL)SAB(rs,bl)0/a (next) (index) (main) |
![]() |
![]() |
![]() |
| 1-COMP SERSIC NGC3380_b | ||
|---|---|---|
![]() |
![]() |
![]() |
| FINAL NGC3380_bdbarn | ||
|---|---|---|
![]() |
![]() |
![]() |
| FINAL NGC3380_bdbarn |
|---|
![]() |
|
GAL# 33 (prev) NGC3384 M*=10.49 (L)SAB(bl)0- (next) (index) (main) |
![]() |
![]() |
![]() |
| 1-COMP SERSIC NGC3384_b | ||
|---|---|---|
![]() |
![]() |
![]() |
| FINAL NGC3384_bdbar | ||
|---|---|---|
![]() |
![]() |
![]() |
| FINAL NGC3384_bdbar |
|---|
![]() |
|
GAL# 34 (prev) NGC3489 M*=10.14 (R)SAB(r,bl)0o: (next) (index) (main) |
![]() |
![]() |
![]() |
| 1-COMP SERSIC NGC3489_b | ||
|---|---|---|
![]() |
![]() |
![]() |
| FINAL NGC3489_bdbar | ||
|---|---|---|
![]() |
![]() |
![]() |
| FINAL NGC3489_bdbar |
|---|
![]() |
|
GAL# 35 (prev) NGC3637 M*=10.52 (RL)SBa(rl,bl)0o+ (next) (index) (main) |
![]() |
![]() |
![]() |
| 1-COMP SERSIC NGC3637_b | ||
|---|---|---|
![]() |
![]() |
![]() |
| FINAL NGC3637_bdbarfn | ||
|---|---|---|
![]() |
![]() |
![]() |
| FINAL NGC3637_bdbarfn |
|---|
![]() |
|
GAL# 36 (prev) NGC3941 M*=10.49 (R)SBa(bl)0o (next) (index) (main) |
![]() |
![]() |
![]() |
| 1-COMP SERSIC NGC3941_b | ||
|---|---|---|
![]() |
![]() |
![]() |
| FINAL NGC3941_bdbarn | ||
|---|---|---|
![]() |
![]() |
![]() |
| FINAL NGC3941_bdbarn |
|---|
![]() |
|
GAL# 37 (prev) NGC3945 (next) (index) (main) |
![]() |
![]() |
![]() |
|
GAL# 38 (prev) NGC3953 M*=10.99 SB(r,bl)b (next) (index) (main) |
![]() |
![]() |
![]() |
| 1-COMP SERSIC NGC3953_b | ||
|---|---|---|
![]() |
![]() |
![]() |
| FINAL NGC3953_bdbar | ||
|---|---|---|
![]() |
![]() |
![]() |
| FINAL NGC3953_bdbar |
|---|
![]() |
|
GAL# 39 (prev) NGC3992 M*=11.10 SB(rs,bl,nb)ab (next) (index) (main) |
![]() |
![]() |
![]() |
| 1-COMP SERSIC NGC3992_b | ||
|---|---|---|
![]() |
![]() |
![]() |
| FINAL NGC3992_bdbarfn | ||
|---|---|---|
![]() |
![]() |
![]() |
| FINAL NGC3992_bdbarfn |
|---|
![]() |